网站首页  词典首页


请输入您要查询的字词:

 

字词 平板玻璃折算标准箱及系数表
类别 中英文字词句释义及详细解析
释义

平板玻璃折算标准箱及系数表


折合重量箱

重量箱是指厚度2毫米的平板玻璃1标准箱的重量,其他厚度玻璃折合重量箱计算公式:

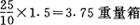
〔计算例〕 厚3毫米的平板玻璃25平方米,折合重量箱为:

各种厚度的平玻璃折合重量箱的折算系数如下表:

表7-34 平板玻璃折合重量箱及系数表

随便看

 

离鸟网收录3541549条中英文词条,其功能与新华字典、现代汉语词典、牛津高阶英汉词典等各类中英文词典类似,基本涵盖了全部常用中英文字词句的读音、释义及用法,是语言学习和写作的有利工具。

 

Copyright © 2004-2024 vtrois.com All Rights Reserved
更新时间:2026/4/17 23:14:59