网站首页  词典首页


请输入您要查询的字词:

 

字词 平晒池降水化盐和雨前、雨中、雨后措施
类别 中英文字词句释义及详细解析
释义

平晒池降水化盐和雨前、雨中、雨后措施


降水化盐的多少,不能简单地根据降水量大小和氯化钠溶解度进行计算,还必须考虑水、卤混合程度以及氯化钠溶解速度等因素;而水、卤混合程度及氯化钠溶解速度,既与雨前结晶池卤水浓度和深度有关,又与雨中、雨后采取的措施和行动的快慢有关。各种不同情况下降水溶化盐量的计算式如2-6-7。

式中 X——溶化氯化钠量(t)

V——降水而未溶盐时的卤水体积(m3)

S1——降水中未溶盐时的卤水相对密度

S2——溶盐落池卤水的平均相对密度

0.355——溶解1t氯化钠溶液体积增大值(m3/t)

例一:结晶池面积3000m2,雨前池内卤水28°Bé,卤深10cm,经降水35mm,雨后水、卤全部落池,在15℃,平均浓度24°Bé时,降水化盐的计算方法为:

V:3000m2×(0.10m+0.035m)=405m3

S1:28°Bé卤水相对密度为1.241,雨后如不溶盐,其稀释后卤水相对密度应为:

S2:落池卤水24°Bé,相应的相对密度为:=1.1995

使用上述公式,根据降水前后结晶池卤水的浓度差别,计算出溶盐数量如表2-6-33和表2-6-34。

表2-6-33 降雨溶盐情况(雨前池内卤水28°Bé)

表2-6-34 降雨溶盐情况(雨前池内卤水27.5°Be)

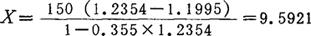
例二、按例一条件,雨后池内卤水24°Bé,卤水不全部落池,而留存卤深5cm继续溶盐至27.5°Bé时达到饱和,在不考虑溶盐过程中蒸发因素的情况下,尚需化盐量的计算方法为:

V:3000m2×0.05m=150m3

S1:24°Bé时的相对密度为1.1995

S2:饱和时27.5°Bé的相对密度为=1.2354

根据表列各项数据,在观察分析相互关系之后,工艺上明确以下几点要求:

1.在我国北方盐区的旺产季节,结晶池盐碴厚,卤水深,在相同降水量下,雨前卤水越深,盐碴溶化越少。从表2-6-34看出:降水量35mm,雨前池内卤水27.5°Bé,雨后降至21°Bé时,雨前卤深5cm者化盐13.916t,卤深8cm者化盐3.895t,卤深10cm者尚未化盐。说明实行深卤结晶,或雨前采取蒙卤措施,可以减少化盐损失。

2.不论降水量多大和雨前池内卤水多深,雨后落池卤水浓度越高,池内盐碴溶化损失越大。因此,雨中,特别是大雨时,应及时开溢流口排除液面淡水,雨后迅速采取“挑轻换重”、“落卤保盐”等措施。从表2-6-33看出:降水35mm,雨前卤深10cm,雨后落池卤水每升高1°Bé,每公亩约多化盐0.24t左右。

3.每次大雨之后,往往后备饱和卤水遭到稀释,没有“挑轻换重”的条件,在此情况下可以按照前面例二的办法,将池内化盐而尚未达到饱和的卤水大部分排出,返到调节池加工复晒;小部分留在结晶池内继续化盐,达到饱和,除混后,恢复结晶。这样做可以少化盐,返到调节池的卤水加工达到饱和重新灌入结晶池,迅速恢复正常生产秩序。

随便看

 

离鸟网收录3541549条中英文词条,其功能与新华字典、现代汉语词典、牛津高阶英汉词典等各类中英文词典类似,基本涵盖了全部常用中英文字词句的读音、释义及用法,是语言学习和写作的有利工具。

 

Copyright © 2004-2024 vtrois.com All Rights Reserved
更新时间:2026/4/20 6:59:33