英国经济学家凯恩斯(J.M.Keynes)提出的概念。指一定量收入中消费额所占的比例,即平均每单位收入中的消费额。计算公式为:

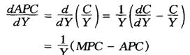
式中,APC表示平均消费倾向,C和Y分别表示消费和收入。根据消费函数,C是收入Y的函数,所以APC也是Y的函数。APC曲线的形状,取决于边际消费倾向(MPC)和平均消费倾向(APC)差额的大小,即:

若MPC>APC,则
,APC曲线向右上方倾斜;若MPC<APC,则
,APC曲线向右下方倾斜;若MPC=APC,则
=0,APC曲线与横轴平行。APC的几何描述为消费曲线上的相应点与原点连线的斜率。
〖参〗消费倾向
边际消费倾向