网站首页  词典首页


请输入您要查询的字词:

 

字词 平均储蓄倾向
类别 中英文字词句释义及详细解析
释义

平均储蓄倾向


英国经济学家凯恩斯(J.M.Keynes)的国民收入决定理论中的一个概念。指一定量收入中储蓄所占比例,即平均每单位收入中的储蓄额。计算公式为:

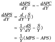
式中.APS表示平均储蓄倾向,S和Y分别表示储蓄和收入。APS的几何描述是储蓄曲线上对应点与原点连线的斜率。在二部门经济中,由于

Y=C+S

则有:

APS=1-APC

如果边际消费倾向MPC<APC,则有

从而

即APS随收入增加而递增,由此可推出:MPS>APS。这是因为

同理,若MPC>APC,则有

若MPC=APC,则有

〖参〗储蓄倾向

边际储蓄倾向

随便看

 

离鸟网收录3541549条中英文词条,其功能与新华字典、现代汉语词典、牛津高阶英汉词典等各类中英文词典类似,基本涵盖了全部常用中英文字词句的读音、释义及用法,是语言学习和写作的有利工具。

 

Copyright © 2004-2024 vtrois.com All Rights Reserved
更新时间:2026/4/18 15:05:48