网站首页  词典首页


请输入您要查询的字词:

 

字词 常用计算式
类别 中英文字词句释义及详细解析
释义

常用计算式


(一)最大下泵深度的确定

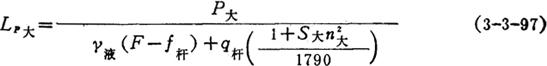
1.由悬点最大允许载荷P限制的最大下泵深度LP

式中 S——悬点最大冲程长度(m)

n——悬点的最大冲程次数(次/min)

γ——抽取液体密度(kg/m3)

F——泵柱塞的全断面面积(m2)

f——抽油杆柱的断面面积(m2)

q——每米抽油杆在空气中的重量(kg/m)

LP大——由悬点最大允许载荷P大所限制的最大下泵深度(m)

P——悬点最大允许载荷(kg)

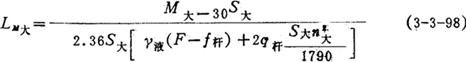
2.曲柄轴最大允许扭矩M大所限制的最大下泵深度LM大

式中 M——曲柄最大允许扭矩(N·m)

其他符号及单位同前式。

3.由抽油杆柱最上端的最大允许相当应力限制的最大下泵深度Lσ大:

式中 σ当大——抽油杆柱最上端的最大允许相当应力(kPa)

据试验资料碳钢抽油杆σ当大=10kPa

合金钢抽油杆(NiMo钢除外)σ当大=120kPa

喷丸处理或高频淬火处理碳钢抽油杆σ当大=110kPa

其他符号和单位同前式。

(二)泵的最大排量Q大的计算

Q=1440·F·S·n·η (3-3-100)

式中 F——泵柱塞的全断面面积(m2)

S——泵柱塞的有效冲程长度(m)

n——泵的最大冲程次数(次/min)

η——抽油泵的容积效率或充满系数,一般取0.85。

S——悬点的最大冲程长度(m)

λ——单级抽油杆柱和油管柱静变形之和(m)

λ——由惯性载荷影响使柱塞冲程长度的增加值(m)

P′——在泵柱塞全断面积上的液柱重量(kg)

L——下泵深度(m)

E——钢材的弹性模数,一般取2.1×106kg/cm2

f——油管本体的断面面积(m2)

注:对于多级抽油杆柱的静变形入的计算应将上式括号中第一项进行修正。

(三)驴头(光杆)负荷的计算

1.抽油杆重量

(1)上冲程

P=qL (3-3-101)

式中 P——抽油杆柱在空气中的重量(kg)

q——每米抽油杆在空气中的重量(kg/m)

L——抽油杆柱长度(m)

(2)下冲程

P′=q′×L (3-3-102)

式中 P′——抽油杆柱在液体中的重量(kg)

q′——每米抽油杆柱在液体中的重量(kg/m)

L——抽油杆柱长度(m)

2.活塞以上液柱的重量

(1)上冲程

P=(F-f)Lγ (3-3-103)

式中 P——活塞以上环形液柱的总重量(kg)

f——抽油杆的截面积(m2)

γ——液体重度(kg/m3)

F——活塞截面积(m2)

(2)下冲程

P′=FLγ (3-3-104)

式中 P′——截面与活塞截面积相等的液注重(kg)

3.动负荷 包括惯性负荷和振动负荷;但一般下泵深度不大的井,振动负荷较小,可以忽略不计。惯性负荷最大值计算式为:

式中 P——惯性负荷最大值(kg)

P——抽油杆柱在空气中的重量(kg)

S——冲程(m)

n——冲数(次/min)

4.驴头(光杆)最大负荷计算:

式中 代号意义同前。

上式的数值,当nL<2×104时,即可从已知冲次及冲程,由图3-3-150中找出其相应值。

图3-3-150计算图

例:下泵深度900m、冲次12次/min、冲程2.4m时,因nL=12×900=1.08×104<2×104

故可从图纵座标上n=12次/min处,向右作水平线,与S2.4m的直线相交于a点,再从a点向下作垂线至横座标轴,即可找出=0.24

(四)所需电动机功率的计算

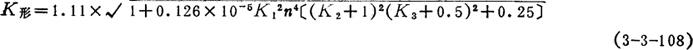
1.实用计算式:

N=N+N

=1.9×10-4·K·K·Q·L+N0·n (3-3-107)

式中 N——抽油机所用电动机功率(kW)

N——抽油机工作时和工作载荷下电动机功率(kW)

N——抽油机空转时电动机损失功率(kW)

K——考虑抽油杆和油管变形对抽油机工作载荷(即平均平方功率)影响的修正系数。此数值取决于抽油泵柱塞有效冲程长S对驴头,悬点冲程长度S0的比值,可从表3-3-90查得。

表3-3-90 修正系数(K变)

K形——抽油机曲柄轴上扭矩变化曲线形状影响的修正系数。等于抽油机一个工作循环中曲柄轴上的平均平方扭矩对平均扭矩的比值。各种平衡方式的K值不同:

游梁平衡(μ=1):

曲柄平衡(μ=0),则:

复合平衡时(μ=0.4),则

式中

α——游梁前臂长(m)

b——游梁后臂长(m)

c——游梁平衡重放置位置到游梁回转中心距(m)

f——抽油杆的断面面积(m2)

f——抽油泵的全断面面积(m2)

Q——泵的实际排量(m3)

L——下泵深度(或液体举升高度)(m)

N0——抽油机空转时,每冲程次数电动机所损失的功率(kW·min/次),可从表3-3-91中查得。

表3-3-91 抽油机空转时,每冲程次数电动机损失的功率

n——抽油机的实际冲程次数(次/min)

2.电动机功率近似计算经验公式:

N=0.15×10-3×QHγψ (3-3-111)

式中 N——电动机功率(kW)

Q——深井泵的理论排量(m3/日)

H——动液面深度(m)

γ——液体相对密度

ψ——考虑到抽油机平衡程度的系数,一般为1.2~3.4(平衡程度较好的取最小值,反之取大值)

(五)曲柄平衡半径的计算

1.曲柄平衡半径 复合平衡和曲柄平衡的新系列游梁式抽油机的曲柄平衡半径计算式:

式中 R——曲柄平衡半径(cm)

R——曲柄平衡半径最大值(cm)

M平大——曲柄轴平衡扭矩最大值(t·m)

M平小——曲柄轴平衡扭矩最小值(t·m)

M——平衡扭矩(t·m)

2.旋转平衡时曲柄平衡半径的近似计算

式中 R——平衡半径(平衡重的重心距曲柄轴的中心的半径)(cm)

S——冲程(m)

P——理论平衡重(kg)

——抽油机游梁前后臂长度之比值(表3-3-92)

表3-3-92 国产旧型号各种抽油机平衡计算系数表

k——修正值,依抽油机型号而不同(见表3-3-92)

3.混合平衡时曲柄半径近似计算

(1)旋转平衡重全部加上时

(2)只加一半平衡重时,其平衡半径为:

R′=αR-k′(cm)

符号代表意义同前。

随便看

 

离鸟网收录3541549条中英文词条,其功能与新华字典、现代汉语词典、牛津高阶英汉词典等各类中英文词典类似,基本涵盖了全部常用中英文字词句的读音、释义及用法,是语言学习和写作的有利工具。

 

Copyright © 2004-2024 vtrois.com All Rights Reserved
更新时间:2026/4/21 17:47:54