网站首页  词典首页


请输入您要查询的字词:

 

字词 常用着色剂的测定
类别 中英文字词句释义及详细解析
释义

常用着色剂的测定


(1)仪器分析天平(感量1mg)、100ml量筒,直径45cm平底皿、滤瓶、120目筛子、排笔、坩埚、50ml磨口塞量筒、干燥器、恒温烘箱、50ml移液管、比重瓶、滴定管、坩埚钳、称量瓶、100ml圆锥烧瓶、秒表。

(2)试剂 HCl(相对密度1.19)

0.1%淀粉溶液

Na2S2O3溶液

KI(CP级)

(3)测试步骤

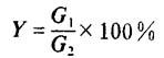
①水分测定 称取5g试样,置于干燥恒重之平底皿中,在105~110℃恒温箱中,干燥3h,然后取出,在干燥器中冷却后称重。

计算:

式中 Y——水分百分含量

G1——样品失重(g)

G2——样品重(g)

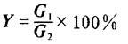
②细度测定 称取约2g试样在120目筛子上(荧光增白剂为80目筛),进行过筛如不易通过时可用排笔轻刷,将筛子内的残余物置于已知重量的称量瓶中称量。

计算:

式中 Y——不通过120目筛的试样的百分率

G1——残渣重(g)

G2——样品重(g)

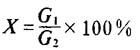
③水溶性盐 称取约2g试样,置于100m1的烧杯中,加40m1蒸馏水搅拌10min,经二层滤纸过滤,于干燥恒重的蒸发皿中,弃去最初10m1,然后在水浴上蒸发至干,并在100~105℃恒温烘箱内干燥至恒重。

计算:

式中 X——水溶性盐的百分含量

G1——样品重

G2——蒸发皿中所增加之重量

④耐热性

a.测定步骤

取100g捏和料在温度为150~160℃的条件下辊压10~15min,辊压成25×125×0.4mm的薄片。

平放在清洁钢片上置于有空气流动的烘箱内,在180±1℃加热10min或17±1℃加热30min。

与未经加热的色片比较。

b.评级

耐热性分5级。1级最劣,5级最好。将热处理后的试样冷却后,与原料一起参考国家标准GB250-64作染色牢度和退色评定。

捏和配方

注意:不透明料需加2份钛白粉。

⑤耐光性

a.设备

人工耐光试验仪,光源为玻璃夹套水箱循环冷却之氙气钨丝灯。试样绕光源每分钟一转,每转一圈试样自动翻身一次。

b.试样

10×80×0.4mm。

c.试验步骤

将试样放在试验架上,在人工耐光试验仪内曝晒。温度为40~47℃,曝晒时间分20h和80h两档,试验过程中,用黑纸局部遮光的方法,可在同一试片的两个部位上晒出两个痕迹。由于试样每转一次,要自动翻身一次,所以实际是半转曝光,半转无光,总的试验时间要延长一倍。试验时与标准羊毛试样作平行试验。

d.评级

耐光性分8级,1级最劣8级最好,与平行试验中的标准羊毛试样相对比评定。如介于6级和7级之间,则可评为6~7级,可参考国家标准GB730-65日晒牢度蓝色标准。

⑥耐迁移性

a.设备

油压机。

b.试样

为45×45×0.4mm。将试样平放在白色硬聚氯乙烯片上(硬片厚度为0.5mm),然后放入油压机上下压板的衬板中。温度控制在145±5℃,压力控制在0.2MPa,热压30min,然后趁热将试样与白色底板剥开一部分,观察硬片上沾色程度。

c.评级

分5级;1级最劣,严重沾色。5级最好,不沾色。将按上述条件试验后的样品,参考国际标准ISO/R183-1961(E)《塑料着色剂析出的测定方法》来试验,唯其评级标准分为无迁移,中等迁移和严重迁移三级。

白色板配方:

⑦体积电阻率

用硫酸钠溶液滴定之。

1ml硫代硫酸钠相当于0.0333gCrO3

⑧汽油中比体积

称取试样1g(精确到0.1g)置于带磨口塞的量筒中,然后将汽油注入,盖紧用力摇动3min,使样品沉于底部,然后把量筒放在平桌上,15min后读数试样在汽油中的体积。

⑨挥发物含量

称取试样约2g置于灼烧恒重的瓷坩埚中,然后将此坩埚放入较大的坩埚中(以便夹取),再放于800℃的高温炉内灼烧15min,取出坩埚(不要打开盖子)稍冷后置于保温干燥器中,冷却后称重。

计算:

式中 W1——灼烧前试样和坩埚重(g)

W2——灼烧后试样和坩埚重(g)

W——试样重(g)

⑩TiO2含量测定

TiO2含量的测定参照HG-790-76。

⑾相对密度测定

相对密度的测定,参照GB1033-70

⑿熔点的测定

熔点测定相同于硬脂酸钙。

随便看

 

离鸟网收录3541549条中英文词条,其功能与新华字典、现代汉语词典、牛津高阶英汉词典等各类中英文词典类似,基本涵盖了全部常用中英文字词句的读音、释义及用法,是语言学习和写作的有利工具。

 

Copyright © 2004-2024 vtrois.com All Rights Reserved
更新时间:2026/4/20 17:27:55