网站首页  词典首页


请输入您要查询的字词:

 

字词 常用数学公式
类别 中英文字词句释义及详细解析
释义

常用数学公式


1.展开式

(x+a)(x+b)=x2+(a+b)x+ab

(a+b)2=a2±2ab+b2

(a+b)3=a3+3a2b+3ab2±b3

(a+b+c)2=a2+b2+c2+2ab+2bc+2ca

(a+b+c)3=a3+b3+c3+3a2b+3ab2+3b2c+3bc2+3a2c+3ac2+6abc

a2-b2=(a-b)(a+b)

a3+b3+c3-3abc=(a+b+c)(a2+b2+c2-ab-bc-ca)

a4+a2b2+b4=(a2+ab+b2)(a2-ab+b2)

(ax+b)(cx+d)=acx2+(ad+bc)x+bd

2.二次方程式

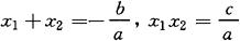
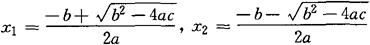
ax2+bx+c=0,a、b、c是实数,且a≠0

则该方程的根为

且根与系数的关系为

判别式为:

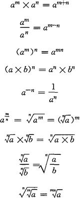
3.指数定则

m、n为正整数,a、b为正实数,则

a0=1

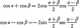
4.对数定则

x、y、a、b、c为正实数,则

5.级数定则

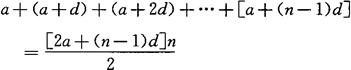
等差级数

等比级数

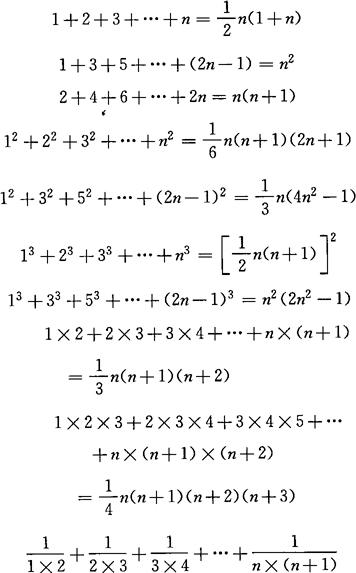
某些数列的前n项和

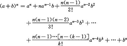
6.二项式定理

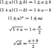
7.近似计算

时,

8.三角函数(表1-1)

表1-1 三角函数表

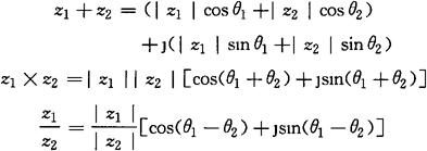
9.复数

复数的三种表示式及其相互关系

代数式:z=a+bj

三角式:z=|z|(cosθ+jsinθ)

指数式:

其中 a=|z|cosθ,b=|z|sinθ

复数的运算

10.函数和坐标图

直线方程:y=ax+b

圆方程:(x-a)2+(y-b)2=r2

椭圆方程:

双曲线方程:

抛物线方程:y2=4ax

随便看

 

离鸟网收录3541549条中英文词条,其功能与新华字典、现代汉语词典、牛津高阶英汉词典等各类中英文词典类似,基本涵盖了全部常用中英文字词句的读音、释义及用法,是语言学习和写作的有利工具。

 

Copyright © 2004-2024 vtrois.com All Rights Reserved
更新时间:2026/4/17 17:38:03