网站首页  词典首页


请输入您要查询的字词:

 

字词 希克斯需求函数
类别 中英文字词句释义及详细解析
释义

希克斯需求函数


又称补偿需求函数(Compensated Demand Function),表示在保持特定效用水平条件下,最低支出的商品购买量同价格之间的依存关系。

价格变化对商品需求量的影响由替代效应和收入效应两部分组成。如果对消费者因价格变化引起的实际收入变动给予补偿,使其保持在原有的效用水平上,就可以将替代效应分离出来单独分析。

在补偿的条件下,消费者的最优行为是选择在保持原有效用水平条件下,使其支出极小化的商品束。

因此,希克斯需求函数可由支出极小化一阶条件导出,其一般形式是:

hi=hi(p,u) i=1,2,…,n

其中,为价格向量,u代表效用

希克斯需求函数也可以由霍特林定理从支出函数导出。它与马歇尔需求函数的关系是:

希克斯需求函数具有下列性质:

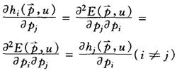
(1)对称性,即:

表明在效用水平不变时,消费者对商品i和商品j的交叉替代效应是等同的。

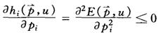
(2)单调性,即:

这是由于支出函数关于价格向量是凹函数,表明自身价格的补偿效应是非正的,从而替代效应的变化方向与价格的变化方向相反。

〖参〗支出函数

马歇尔需求函数

随便看

 

离鸟网收录3541549条中英文词条,其功能与新华字典、现代汉语词典、牛津高阶英汉词典等各类中英文词典类似,基本涵盖了全部常用中英文字词句的读音、释义及用法,是语言学习和写作的有利工具。

 

Copyright © 2004-2024 vtrois.com All Rights Reserved
更新时间:2026/4/19 9:23:58