网站首页  词典首页


请输入您要查询的字词:

 

字词 工程成本管理
类别 中英文字词句释义及详细解析
释义

工程成本管理


(一)工程成本与生产费用

生产费用和工程成本的区别是:生产费用是就本期发生的支出而言的;而工程成本是指一定工程生产上的耗费,还包括以前支出的应由本期负担的待摊费用,以及尚未支出的应由本期工程负担的预提费用,有些如更新固定资产的支出费用、科研试验费、施工机构迁移费、临时设施费等虽然也是为了生产而产生的,但按现行制度规定都不计入工程成本。

(二)预算成本、计划成本和实际成本

(1)预算成本,指建筑企业按施工图规定的工程实物量和预算定额及有关取费标准计算的成本。独立费用中的远程工程增加费、冬雨季施工增加费、夜间施工增加费、流动施工津贴、施工机械进退场费、预算外费用包干费也属于预算成本范围。

(2)计划成本,指建筑企业在预算成本的基础上,根据上级下达的降低成本指标以及技术组织措施计划和管理费用计划而得到的成本,是企业的目标成本。工程计划成本为工程预算成本减去计划成本降低额后的数据。

(3)实际成本,指建筑企业按现行建筑安装企业成本支出范围,在施工过程中为完成一定的建筑安装工程所耗费并由本期工程负担的全部支出。用它来与预算成本和计划成本作对比,可以考核企业的经营成果和管理水平。

三者的关系是:工程计划成本+计划成本降低额=工程预算成本=工程实际成本+实际成本降低额。

(三)工程成本预测方法

(1)利用产值成本率指标预测企业成本。这个方法的特点,是根据历史资料,计算确定企业总成本与总产值的比率,即以产值成本率指标和未来产值来预测企业成本水平。其公式如下:

建筑企业成本=本期预计产值×产值成本率(1-压缩率%)

(如果工资、拆旧、材料等因素有变化,应调整基本的产值成本率指标后进行计算)

(2)利用最高最低点预测企业成本。在一定生产规模条件下,产值变动只引起费用成比例的增长,固定费用总额相对不变。因而一定时期内最高最低产值下成本的差额,就是由变动费用增减造成的。其公式如下:

预计企业总成本=固定费用+变动费用率×预计产值

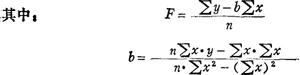
(3)利用最小二乘法预测企业成本。用最小二乘法也就是利用变动费用和固定费用与产值变异的相互联系来预测企业成本,所不同的是计算变动费用率的方法与上述方法不同。其公式如下:

C=F+bE

式中 C——企业成本预测数;

E——产值预计数;

b——变动费用率;

F——固定费用;

x——历年成本;

y——历年产值;

n——年数。

(4)按生产费用要素法预测企业成本。建筑企业成本费用按费用要素划分,一般可分为材料费、工资、折旧及大修理、动力及燃料等项目。

折旧及大修理费按本期预计的应计折旧固定资产平均总值和折旧率及大修理基金提成率确定。

工资按工资计划支出数或预计产值和百元产值工资含量系数确定。

材料费、动力及燃料费按历史资料算测的百元产值占用费的材料费、动力及燃料费和本期预计产值计算确定。

将上述生产费用要素相加即为本期成本,其公式如下:

企业成本=预计产值×百元产值材料费动力燃料费+折旧大修费+工资

(5)用施工组织措施法预测工程成本。在预测某一工程成本水平时,可根据施工组织措施中确定的降低成本的施工方案、施工工艺、进行技术革新、新材料、新技术的采用推广、合理的施工调度等措施。并同往年同类工程项目的成本水平进行分析测定。

如往年同类结构、同类规模的工程预算成本为1000万元,实际成本为900万元,成本降低为100万元,但采用新技术、新工艺或先进的经营管理方法后,预计能节约费用100万元,这样预计工程成本为800万元,成本降低率为20%。

(6)用投标灵活性预测成本。随着招投标工作的开展,工程造价就要在国家预算价格的基础上浮动。在这种情况下,建筑企业既要做到不赔钱,又要在投标中争取主动权,就必须做好成本预测。

这里以下列数据绘制产量成本盈亏图(图17-12)。

图17-12 产值成本盈亏图

4B为总成本费用线,S部分为保本点以上的盈利区。该企业保本产值为536万元,如果在达到保本产值之后,又参加一个工程项目的投标,这个工程预算成本为364万元,如果按规定的预算价格得标,该企业可盈利200万元。即预计成本为700万元,成本降低额为200万元。如果竞争激烈,这个企业可有200万元的报价灵活性。如果削价200万元,那么企业全年不亏不盈;如果削价100万元,那么仍可得到100万元的利润。

(7)根据时间成本规律预测工程成本。时间在工程施工中体现为工期,项目工期与工程成本之间有依存关系。企业延长施工工期,单位成本就上升,缩短工期,单位成本就下降。当然缩短工期超过一定的限度,成本费用反而随之要增加。

(四)工程成本的控制方法

有了成本计划,还要采取必要的控制手段,成本控制是成本管理的重要一环。其具体办法为:

(1)加强工资成本的控制。要坚持按劳分配原则,提高出勤率、工时利用率,做好定员工作,使生产工人和管理人员分别与生产、管理任务相适应;加强施工调度减少窝工、停工损失;认真编制基金计划、控制不合理用工;加强工资稽查、杜绝不合理的工资支出。

(2)加强材料成本控制。材料在建安工程成本中所占的比重较大,控制材料消耗十分重要。要严格控制材料用量,实行限额合理发料、盘点核算制度;要加强对周转材料和低值易耗品的充分合理利用;要就地取材、择优采购、合理运输、减少供料环节,减少采购保管员、健全计量手段等。

(3)加强动力成本控制,合理核实施工设备,提高设备利用率和完好率;合理选型和调度;正确计算固定资产折旧和大修理资金;节约电、煤、水、油等能源。

(4)加强管理费成本控制。管理费应实行归口管理,明确各项费用开支标准,严格专控手续,严格按国家规定、计划开支。

(五)成本管理的基础工作

(1)加强定额管理。严格执行国家和主管机关制定的劳动定额和建安工程预算定额,不得擅自提高工料消耗定额和费用标准。

(2)健全物资的计量、收发领退和盘点制度。

(3)健全物资内部计划价格制度。

(4)健全原始记录,做好各种台帐。

随便看

 

离鸟网收录3541549条中英文词条,其功能与新华字典、现代汉语词典、牛津高阶英汉词典等各类中英文词典类似,基本涵盖了全部常用中英文字词句的读音、释义及用法,是语言学习和写作的有利工具。

 

Copyright © 2004-2024 vtrois.com All Rights Reserved
更新时间:2026/4/20 15:19:46