网站首页  词典首页


请输入您要查询的字词:

 

字词 工业产品质量指标体系
类别 中英文字词句释义及详细解析
释义

工业产品质量指标体系


指全面地反映工业企业产品的质量水平、状况、变化趋势,反映企业生产技术、管理水平和体现社会经济效益的一组相对指标。为了对我国工业产品质量状况进行科学的统计、分析、评价,适应我国社会主义市场经济发展和进一步改革的需要,国家技术监督局、国家统计局、国务院生产办公室联合颁发了(技监局管发〔1991〕368号)“关于印发《全国工业产品质量指标体系总体方案》的通知”,从1991年起分期分批将原来对占全国工业总产值60%以上的75个重点工业城市的统计、考核质量稳定提高率、优质产品产值率、质量计划完成率主要三项质量指标,改为评价、考核企业的产品质量等级品率(G)、质量损失率(F)、产品销售率(S)、新产品产值率(N)四项指标。其中,前二项为主导指标,后二项为辅助指标。各行业可结合生产的特点,适当增补指标。

质量指标体系的总体构成及计算公式如下:

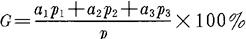
(1)产品质量等级品率(G)。产品质量等级品率(G)是产品质量技术水平和企业质量保证能力的综合反映。它将我国工业产品的实物质量原则上按照国际先进水平、国际一般水平和国内一般水平3个档次,相应地划分成优等品、一等品和合格品三个等级,分别给以一定的加权系数,求得各等级品产值之和,与报告期工业总产值之比,其计算公式为:

a1,a2,a3分别为优等品,一等品,合格品的加权系数。各行业可制定适合本行业特点的加权系数。为进行横向比较,全国暂定为:

a1=1.5,a2=1.0,a3=0.5

式中: p1——报告期全部优等品产值(万元,不变价)

p2——报告期全部一等品产值(万元,不变价)

p3——报告期全部一等品产值(万元,不变价)

p——报告期工业总产值(万元,不变价)

(2)质量损失率(F)。质量损失率(F)是从经济的角度评价企业质量管理职能的有效性和资源消耗状况的重要指标。统计质量损失率的目的是要求企业逐步做到以最经济的手段生产出用户需要的产品。该指标与企业现场管理水平,开展降低不良品损失活动有密切关系。其计算公式为:

式中: Ci——报告期内部损失成本(万元,现行价)

Ce——报告期外部损失成本(万元,现行价)

Dc——工业总产值(万元,现行价)

(3)产品销售率(S)。产品销售率(S)是指企业对外销售产品、自制半成品、工作性企业所取得的实际货币收入,与报告期生产产品的总价值之比。它表明企业实际劳动消耗在多大程度上得到社会的承认,反映企业生产的产品在市场的需求情况,促使企业生产适销对路的产品。其计算公式为:

式中: I——报告期销售收入(万元,现行价)

Pm——报告期产品产值(万元,现行价)

(4)新产品产值率(N)。新产品产值率(N)是反映新产品在整个产品中的构成情况和在工业总产值中所占比重的指标,其计算公式为:

式中: Pn——报告期新产品产值(万元,不变价)

P——报告期工业总产值(万元,不变价)

新产品统计跟踪年限从新产品批量生产之日算起,民用消费类新产品一般定为1至3年,生产资料类新产品一般定为2至4年。

随便看

 

离鸟网收录3541549条中英文词条,其功能与新华字典、现代汉语词典、牛津高阶英汉词典等各类中英文词典类似,基本涵盖了全部常用中英文字词句的读音、释义及用法,是语言学习和写作的有利工具。

 

Copyright © 2004-2024 vtrois.com All Rights Reserved
更新时间:2026/4/20 4:04:34