网站首页  词典首页


请输入您要查询的字词:

 

字词 小麦叶锈病测报调查方法
类别 中英文字词句释义及详细解析
释义

小麦叶锈病测报调查方法


小麦叶锈病(Puccinia recondita Rob.et Desm.)分布于世界各地,以欧洲中南部和东北部常发生流行。在我国麦区均有发生,以在河北、河南、山东、山西、贵州、四川、云南等省发生为重。小麦叶锈病一般只侵染小麦。

1 主要影响因子

1.1 菌源量

华北、西北、西南、黄淮等地冬小麦秋苗感染叶锈病的菌源主要来自当地自生麦苗上的病菌,从高寒麦区吹来的叶锈病菌夏孢子是次要来源。播种越早,发病越早、越重。西南及淮河以南地区冬季可继续侵染,淮河以北病菌在冬小麦地上部分冻死的地区,病菌都可以越冬。以上麦区春季流行与否决定于越冬菌量和降雨的多少。华北平原北部麦区春季发病与秋苗病情无明显相关。

1.2 气候条件

降雨是小麦叶锈病发生与流行的首要因子。锈菌夏孢子的萌发和侵入,都要求有水滴或水膜,因此,结露、降雾、下雨都有利锈病的发生,以结露最为有利。各麦区春季流行程度均与雨量成正相关。如豫南麦区流行强度与3、4月份的雨量和雨日有关,而以4月份的降雨关系最大;华北等北方麦区则与4、5月份降雨关系密切。

小麦叶锈病侵入最适温度为15~20℃,10℃时为其侵染快慢的基点。春季,气温在5℃以下时,病情增长十分缓慢,而当气温上升到10℃以后,病叶率迅速增加。

锈菌夏孢子萌发阶段不需要光照,而侵入则需要光照。弱光条件下潜育期较强光照条件下可延长1倍。

1.3 品种布局和抗病性

品种存在抗性差异。大面积连片种植同一抗原基因的品种,抗性易丧失,病害易大面积流行。

2 调查项目和方法

2.1 系统调查

2.1.1 调查时间 在小麦叶锈菌非越冬区,由春季发现病叶后开始定点调查;在潜育越冬区和秋季至春季叶锈病能持续发展为害的地区,由秋苗发病后开始定点调查。

2.1.2 调查田块 选取发病条件较好、发病较早的代表性感病品种麦田作为系统观测田,每块田面积应大于2×667m2。若当地普遍种植抗病品种,难以选定系统观测田,则应预先在发病条件较好、观察方便的地块播种感病品种,建立观测圃,用于系统调查。

2.1.3 调查方法 在系统观测田或观测圃内标定3个调查点(调查点需有病叶),每点2m行长(条播田)或1m2(撒播田),每10天调查1次,至小麦成熟期或叶锈病病情停止增长为止。发病初期,需检查点内全部叶片发病情况,当病叶率达5%以上时,每点查200个叶片。记录结果并汇入小麦叶锈病病情系统调查表(表4-104)。

表4-104 小麦叶锈病病情系统调查表

2.2 大田普查

2.2.1 调查时间 分别在小麦秋苗期、拔节期和乳熟期进行3次普查;小麦叶锈病菌冬季繁殖区在秋苗发病盛期调查。同一地区各年调查时间应大致相同。

2.2.2 调查田块 依据小麦栽培区划和常年秋苗发病情况选定若干代表性区域,在各代表性区域内选感病品种的早播和适期播种麦田调查。调查田块数量根据秋苗发病程度确定,一般不少于10块地。

2.2.3 调查方法 若叶锈病处于点片发生期,随机5点取样,每点检查67m2,记录单片病叶数。另外,每块田还需选取1m行长(条播田)或0.5m2(撒播田)代表性样点,计数叶片数目用以估算叶片密度(片/hm2)。

若全田普遍发病,随机5点取样,每点2m行长或1m2,随机检查100个叶片的发病情况(乳熟期调查旗叶或旗下一叶)。记录调查结果并汇入表4-105。

表4-105 小麦叶锈病病情普查表

3 预测预报方法

主要根据本地区病害流行关键因素,如品种布局、病情,结合当地天气预报等进行综合分析,预测发生程度和时期。

3.1 冬前预测

如秋苗发病普遍,感病品种种植面积大,冬季气温偏高,气象预报第二年3~5月份多雨,病害即有偏重流行的可能。

3.2 早春预测

主要根据越冬菌源有无和数量、春雨的多少及早春气温的高低三因素综合分析。华北地区如越冬菌源量(或邻区叶锈病发生重)大,春季雨量大,雨露日数多,入春后气温回升快,病害则有偏重流行可能。西南地区一般春雨较多,如冬前发病较重,早春气温高,病害就会流行。

4 测报调查参考资料

4.1 术语解释

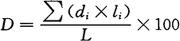
4.1.1 严重度 严重度指病叶上病斑菌丝层覆盖叶片面积占叶片总面积的比率,用分级法表示,设8级,分别用1%、5%、10%、20%、40%、60%、80%、100%表示。对处于等级之间的病情则取其接近值,虽已发病但严重度低于1%,按1%记。对群体叶片,需按下面公式计算病叶平均严重度。平均严重度的使用,在病害初发期可严格计数计算;当病害处于盛发期,且需调查点数繁多时,某点的平均严重度则根据目测估计给出。

式中:

D——病叶平均严重度(%);

di——各严重度级值;

li——各级病叶数;

L——调查总病叶数。

4.1.2 病情指数 用以表示病害发生的平均水平。用下列公式进行计算:

I=F×D×100

式中:

I——病情指数;

F——病叶率;

D——病叶平均严重度。

4.2 测报资料收集、汇报和汇总

收集小麦播种期和各期播种的小麦面积、灌溉麦田面积及其他必要的栽培管理资料;主要品种栽培面积、生育期、苗情和抗锈性以及当地气象台(站)主要气象要素的预测值和实测值。

全国区域性测报站每年定时填写小麦叶锈病模式报表报上级测报部门。

对小麦叶锈病发生期和发生量进行统计汇总,记载小麦种植和叶锈病发生、防治情况,总结发生特点,进行原因分析。

4.3 发生程度分级标准

小麦叶锈病的发生程度以当地发病盛期平均病情指数确定,划分为5级,各级指标见表4-106。

表4-106 小麦叶锈病发生程度分级指标

4.4 防治指标

一般在小麦抽穗前后,田间病叶率达5%~10%或病情指数达15时进行防治。

随便看

 

离鸟网收录3541549条中英文词条,其功能与新华字典、现代汉语词典、牛津高阶英汉词典等各类中英文词典类似,基本涵盖了全部常用中英文字词句的读音、释义及用法,是语言学习和写作的有利工具。

 

Copyright © 2004-2024 vtrois.com All Rights Reserved
更新时间:2026/4/21 17:49:07