网站首页  词典首页


请输入您要查询的字词:

 

字词 导线测量的内业计算
类别 中英文字词句释义及详细解析
释义

导线测量的内业计算


导线测量外业结束后,就要进行导线内业计算,其目的就是根据已知的起始数据和外业观测成果,通过误差调整,计算出各导线点的平面坐标。

计算之前,首先要对外业观测成果进行全面检查和整理,观测数据有无遗漏,记录计算是否正确,成果是否符合限差要求;然后绘制导线略图,并把各项数据标注在略图上,如图5-10所示。

图5-10 闭合导线略图

1.闭合导线计算

闭合导线是由折线组成的多边形,必须满足多边形内角和条件及坐标条件,即从起算点开始,逐点推算各待定导线点的坐标,最后推回到起算点,由于是同一个点,故推算出的坐标应该等于该点的已知坐标。

现以图5-10所示的图根闭合导线为例,介绍闭合导线计算步骤,可参见表5-6。

表5-6 闭合导线坐标计算表

(1)在表中填入已知数据

将导线略图中的点号、观测角、边长、起始点坐标、起始边方位角填入表5-6中。

(2)计算、调整角度闭合差

由平面几何知识可知,n边形闭合导线的内角和的理论值应为:

∑β=(n-2)×180°

在实际观测中,由于误差的存在,使实测的内角和∑β不等于理论值∑β,两者之差称为闭合导线的角度闭合差fβ。即

如图5-11所示的闭合导线,其角度闭合差fβ=360°00′38″-360°00′00″=+38″。根据图根导线测量的限差要求,其闭合差的容许值为:

式中 fβ容——容许角度闭合差(″);

n——闭合导线的内角个数。

若fβ>fβ容,则说明角度闭合差超限,应返工重测;若fβ<fβ容,则说明所测角度满足精度要求,可将角度闭合差进行调整。每个角度的改正数用Vβ表示,则有

式中 fβ——角度闭合差(″);

n——闭合导线的内角个数。

角度闭合差的调整原则是:将fβ反符号平均分配到各观测角中,如果不能均分,则将余数分配给短边的夹角。调整后的内角和应等于理论值∑β

(3)计算各边的坐标方位角

从图5-10中可以看出,推算方位角的路线方向为:北A→AB→BC→CD→DA→A北,根据起始边的已知坐标方位角及调整后的各内角值,按下列公式计算各边坐标方位角。

α+180°±β

在计算时要注意以下几点:

1)上式中±β,若β是左角,则取+β;若β是右角,则取-β。

2)计算出来的α,若大于360°,应减去360°;若小于0°,则加上360°,即保证坐标方位角在0°~360°的取值范围内。

3)起始边的坐标方位角最后推算出来,其推算值应与已知值相等,否则推算过程有错。

(4)坐标增量闭合差的计算与调整

如图5-11所示,根据已推算出的坐标方位角和相应边的边长,按下式计算坐标增量,即

图5-11 闭合导线理论闭合差

根据闭合导线的定义,闭合导线纵、横坐标增量之和的理论值应为零,即

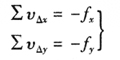
实际上,测量边长的误差和角度闭合差调整后的残余误差,使纵、横坐标增量的代数和不能等于零,则产生了纵、横坐标增量闭合差,即

由于坐标增量闭合差的存在,使导线不能闭合,如图5-12所示,AA′这段距离fD称勾导线全长闭合差。按几何关系得

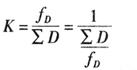
顾及导线愈长,误差累积愈大,因此衡量导线的精度通常用导线全长相对闭合差来表示,即

式中 ∑D——导线边长总和(m)。

图5-12 闭合导线坐标闭合差

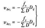
对于不同等级的导线全长相对闭合差的容许值K可查阅导线测量的相关规定。若K≤K,则说明导线测量结果满足精度要求,可进行调整。坐标增量闭合差的调整原则是:将fx、fy反符号按与边长成正比的方法分配到各坐标增量上去,将计算凑整残余的不符值分配在长边的坐标增量上,则坐标增量的改正数为:

式中 v△xi——第i边的纵坐标增量(m);——第i边的横坐标增量(m);

∑D——导线边长总和(m)。

为作计算校核,坐标增量改正数之和应满足下式,即

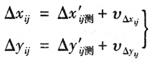
改正后的坐标增量为

(5)导线点坐标计算

根据起始点的已知坐标和改正后的坐标增量,即可按下列公式依次计算各导线点的坐标,即

用上式最后推算出起始点的坐标,推算值应与已知值相等,以此检核整个计算过程是否有错。

2.附合导线计算

附合导线的坐标计算步骤与闭合导线相同。由于两者布置形式不同,从而使角度闭合差和坐标增量闭合差的计算方法也有所不同。

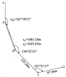
如图5-13所示,附合导线中B、C为已知控制点,AB、CD为已知方向,B、C之间布设一附合导线。图中观测角为左角。

图5-13 附合导线略图

(1)角度闭合差计算

由于附合导线两端方向已知,则由起始边的坐标方位角和测定的导线各转折角,就可推算出导线终边的坐标方位角。但测角带有误差,致使导线终边坐标方位角的推算值α′不等于已知终边坐标方位角α,其差值即为附合导线的角度闭合差fβ,即

式中 α′——附合导线的起算边方位角(°);

α——附合导线的终边方位角(°);

fβ——方位角闭合差(″);

n——附合导线的折角个数。

如图5-13的附合导线,已知起算边AB的方位角αAB=161°18′31″,终边CD的方位角αCD=63°42′59″,五个观测角的总和∑β=802°24′02″,则

fβ=161°18′31″+802°24′02″-5×180°-63°42′59″=-26″

附合导线方位角闭合差容许值的计算和调整与闭合导线相同。

(2)坐标增量闭合差计算

附合导线各边坐标增量代数和的理论值,应等于终、始两已知点的坐标之差。若不等,其差值为坐标增量闭合差,即

由于推算的各边坐标增量代数和与理论值不符,二者之差即为附合导线纵、横坐标增量闭合差。

附合导线全长闭合差、全长相对闭合差和容许相对闭合差的计算,以及坐标增量闭合差的调整,与闭合导线相同。附合导线的计算过程,可参见表5-7。

表5-7 附合导线坐标计算表

3.支导线计算

由于电磁波测距仪和全站仪的发展和普及,测距和测角精度大大提高,在测区内已有控制点的数量不能满足测图或施工放样的需要时,可用支导线的方法来代替交会法来加密控制点。

由于支导线既不回到原起始点上,又不附合到另一个已知点上,故支导线没有检核限制条件,也就不需要计算角度闭合差和坐标增量闭合差,只要根据已知边的坐标方位角和已知点的坐标,由外业测定的转折角和转折边长,直接计算出各边方位角及各边坐标增量,最后推算出待定导线点的坐标。

如图5-14所示,为一支导线,所有的起算数据都已标在图中,其计算过程见表5-8。

图5-14 支导线略图

表5-8 支导线计算表

随便看

 

离鸟网收录3541549条中英文词条,其功能与新华字典、现代汉语词典、牛津高阶英汉词典等各类中英文词典类似,基本涵盖了全部常用中英文字词句的读音、释义及用法,是语言学习和写作的有利工具。

 

Copyright © 2004-2024 vtrois.com All Rights Reserved
更新时间:2026/4/19 7:10:02