网站首页  词典首页


请输入您要查询的字词:

 

字词 导线和电缆截面的选择
类别 中英文字词句释义及详细解析
释义

导线和电缆截面的选择


导线、电缆截面的选择必须满足安全、可靠的要求。通常按发热条件,经济电流密度来选择,按电压损耗条件及机械强度来校验。

1.按发热条件选择导线和电缆的截面

导线和电缆在通过正常最大负荷电流即计算电流时产生的发热温度,不应超过其正常运行时的最高允许温度。

(1)三相系统相线截面的选择

选导线的允许载流量应大于或等于导线的计算电流,即

Iyx≥I30 (6-43)

式中 Iyx——导线允许载流量(A);

I30——导线的计算电流(A)。

(2)中性线(N线)截面的选择

三相四线制供电系统中的中性线,要通过不平衡电流和零序电流,因此中性线所允许的载流量不应小于三相系统的最大不平衡电流,同时应考虑谐波电流的影响。

一般三相负荷基本平衡的低压线路的中性线截面应大于或等于相线截面的50%,即:

A0≥0.5Aφ (6-44)

式中 A0——中性线截面(mm2);

Aφ——相线截面(mm2)。

对于三次谐波电流相当突出的三相四线线路,由于各相的三次谐波电流都要通过中性线,故中线截面应大于或等于相线截面,即:

A0≥Aφ (6-45)

对于由三相四线分出的两相三线线路和单相双线线路中的中性线,由于其中性线的电流与相线电流容量相等,故其中性线截面应等于相线截面,即:

A0=Aφ (6-46)

(3)保护线(PE线)截面的选择

保护线要考虑三相系统发生单相短路故障时,单相短路电流通过时的短路热稳定度。

当Aφ≤16mm2时:

APE≥Aφ (6-47)

当16mm2<Aφ≤35mm2时:

APE≥16mm2 (6-48)

当Aφ>35mm2时:

APE≥0.5Aφ (6-49)

(4)保护中性线(PEN线)截面的选择

PEN线截面的选择应同时满足中性线和保护线选择的条件,取其中的最大截面。

[例6-8] 有一条采用BLX型铝芯橡皮线明敷的220/380V的TN-S线路,计算电流为68A,当地最热月平均最高气温30℃。试按发热条件选择此线路的导线截面。

[解] 以TN-S线路为含有N线和PE线的三相五线制供电线路,因此要选择相线,中性线及保护线的截面。

①相线截面的选择。查表1-27得知环境温度为30℃时明敷的BLX型截面为16mm2的铝芯橡皮绝缘导线的Iyx=79A>I30=68A,满足发热条件。所以选相线截面Aφ=16mm2

②N线的选择。按A0≥0.5Aφ条件,选择A0=10mm2

③PE线的选择。由于Aφ=16mm2,故选APE=Aφ=16mm2

2.按经济电流密度选择导线和电缆的截面

35kV及以上的高压线路及35kV以下的长距离、大电流线路,如较长的电源进线,其导线(含电缆)截面宜按经济电流密度选择。工厂内的10kV以下线路通常不按经济电流密度选择。

根据供电线路的计算电流,按经济电流密度计算出导线的经济截面,其运算关系为:

式中 Ajj——导线的经济截面(mm2);

I30——计算电流(A);

Jij——经济电流密度(A/mm2)。

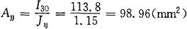
[例6-9] 有一条LJ型铝绞线架设的5km长的10kV架空线路,计算负荷为1380kW,cosφ=0.7,Tmax=4500h,试选择其经济截面,并检验其发热条件和机械强度。

[解] 经济截面的选择

由我国规定的导线和电缆经济密度(表1-30)可查得:Tmax=3000~5000h时,

Jij=1.15A/mm2,故

选择准截面为95mm2,即LJ-95型铝绞线。

①校验发热条件。查表1-24得LJ-95型铝绞线的载流量(户外25℃时),Iyx=325A>I30=113.8A,因此满足发热条件。

②校验机械强度。查表1-31得10kV架空铝绞线的最小截面Amin=35mm2<A=95mm2,因此所选的LJ-95型铝绞线也满足机械强度要求。

上述计算均为铝线,如折为铜线可按算出的铝线截面按国标降一级使用。

3.母线的选择

母线也称汇流排,即汇集和分配电能的硬导线。设置母线可以方便地把电源进线和多路引出线通过开关电器连接在一起,以保证供电的可靠性和灵活性。

(1)一般汇流母线的选择

对一般汇流母线按持续工作电流选择母线的截面,即所选母线允许的载流量应大于或等于母线的计算电流,即

Iyx≥I30 (6-51)

式中 Iyx——汇流母线允许的载流量(A);

I30——母线上的计算电流(A)。

(2)年平均负荷和传输容量较大的母线的选择

对年平均负荷和传输容量较大的母线,宜按经济电流密度选择其截面,即

式中 Ajj——母线的经济截面(mm2);

I30——母线上的计算电流(A);

Jij——经济电流密度(A/mm2)。

(3)母线动稳定校验

σyx≥σc (6-53)

式中 σyx——母线最大允许应力(Pa),硬铝母线(LMY)σyx=70MPa,硬铜母线(TMY)σyx=140MPa;

σc——母线短路时,三相短路冲击电流产生的最大计算应力(Pa)。

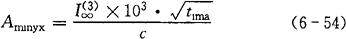
(4)母线热稳定度校验

常用最小允许截面校验母线的热稳定度。

式中 Aminyx——最小允许截面(mm2);——三相短路稳态电流(A);

tima——假想时间(s);

c——导体的热稳定系数(),铝母线,铜母线

当母线实际截面大于或等于最小允许截面时,能满足热稳定的要求,即

A≥Aminyx (6-55)

式中 A——母线的实际截面(mm2)。

随便看

 

离鸟网收录3541549条中英文词条,其功能与新华字典、现代汉语词典、牛津高阶英汉词典等各类中英文词典类似,基本涵盖了全部常用中英文字词句的读音、释义及用法,是语言学习和写作的有利工具。

 

Copyright © 2004-2024 vtrois.com All Rights Reserved
更新时间:2026/4/20 0:46:39