
位于东经124°0′~125°2′、北纬47°18′~48°02′之间。
“富裕”一名是“乌裕”的谐音,来自乌裕尔河。
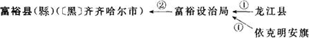
①1929年由龙江县析置富裕设治局,包括依克明安旗的部分地区。②1933年6月改富裕设治局为富裕县。
1912年隶黑龙江省。1932年隶伪满黑龙江省。1934年隶伪满龙江省。1945年光复后隶嫩江省。1949年复隶黑龙江省。
富裕设治局 见784页“富裕县”。
富阳县 见604页“桐庐县”、783页“富阳市”。
富顺县 见265页“自贡市”、784页“富顺县”。
富甯县 见783页“富宁县”。