网站首页  词典首页


请输入您要查询的字词:

 

字词 完全信息条件下的消费者选择
类别 中英文字词句释义及详细解析
释义

完全信息条件下的消费者选择


又称完全信息条件下的消费者行为(Consumer Behavior under Perfect Information),是在完全信息和消费者收入、商品价格及其效用函数等初始条件既定的前提下,消费者如何选择满足约束条件的最佳商品组合的行为理论。

在完全信息条件下,消费者对各有关变量在选择前和选择后的结果都是确定的。如收入、价格甚至商品质量等信息都是确定的。

实际上,在这种信息环境里,有关商品的所有信息都反映到价格里了,消费者均衡可以通过市场机制得到实现。在完全信息环境里,消费者均衡问题实际上可以归结为技术性的优化问题,可用优化理论解决。下面先以两种商品的情形说明之。两种商品、只有预算约束的优化问题的数学模型可表述为:

maxU=U(x1,x2) (1)

s.t.p1x1+p2x2=m (2)

其中U代表效用函数,m是收入,x1和x2是商品1和商品2的消费量或需求量,p1和p2分别是商品1和商品2的价格。

构造拉格朗日函数:

L(x1,x2,λ)=U(x1,x2)+λ(m-p1x1-p2x2) (3)

其中λ是拉格朗日乘子。效用极大化的必要条件(或一阶条件)是:

其中,

由(4)和(5)得:

U1/p1=U2/p2=λ (7)

这表示最后支付一个货币单位购买商品1所得的效用等于购买商品2所获得的效用。

由(7)还可得:

U1/U2=MRS12=p1/p2 (8)

这表明当消费者均衡时,商品1替代商品2的边际替代率等于其价格之比p1/p2。由(8)可知,最佳商品组合是预算线与无差异曲线族中的某条无差异曲线相切的切点E所代表的商品组合(如图所示)。(7)和(8)就是效用极大化的必要条件(或一阶条件)。

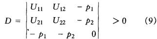
效用极大化的充分条件(二阶条件)是加边海塞(Hessian)行列式大于0,对于两种商品的情形,即:

其中,D是加边海塞三阶行列式,

根据一阶条件和效用函数严格准凹性假设能够保证二阶条件(9)成立。

这是因为由(4)和(5)可将D写成:

上述过程可推广到n种商品的情形,其最优化问题的数学模型可表述为:

其中,是需求量列向量,是价格行向量。拉格朗日函数是:

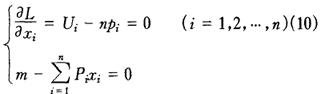
一阶条件是:

条件(10)也可写成:

U1/P1=U2/P2=…=Un/Pn

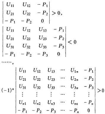
二阶条件是在最佳商品组合

(x1*,x2*,…,xn*)

处各阶加边海塞行列式的符号是正负交错的:

效用函数严格准凹性和一阶条件能够保证上述二阶条件成立。

〖参〗信息不对称条件下的消费者选择

随便看

 

离鸟网收录3541549条中英文词条,其功能与新华字典、现代汉语词典、牛津高阶英汉词典等各类中英文词典类似,基本涵盖了全部常用中英文字词句的读音、释义及用法,是语言学习和写作的有利工具。

 

Copyright © 2004-2024 vtrois.com All Rights Reserved
更新时间:2026/4/20 1:49:20