网站首页  词典首页


请输入您要查询的字词:

 

字词 奢侈商品
类别 中英文字词句释义及详细解析
释义

奢侈商品


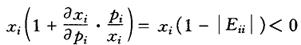
其需求的价格弹性(|Eii|)在数值上大于1的商品。奢侈商品的需求量xi对其价格变动反应敏感,在其他条件不变时,当其价格变动率为1%时,其需求量按相反方向的变动率大于1。如果商品i为奢侈商品,即:

|Eii|>1

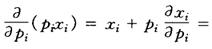
则奢侈商品i的支出与其价格pi按反方向变动,这是因为:

〖参〗必需商品

随便看

 

离鸟网收录3541549条中英文词条,其功能与新华字典、现代汉语词典、牛津高阶英汉词典等各类中英文词典类似,基本涵盖了全部常用中英文字词句的读音、释义及用法,是语言学习和写作的有利工具。

 

Copyright © 2004-2024 vtrois.com All Rights Reserved
更新时间:2026/4/21 11:02:44