网站首页  词典首页


请输入您要查询的字词:

 

字词 大分子黄2GL(1156大分子黄2GL)
类别 中英文字词句释义及详细解析
释义

大分子黄2GL(1156大分子黄2GL)


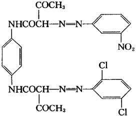
【结构式】:

【释文】:

制法 由间硝基苯胺和2.5-二氯苯胺经重氮化,与双乙酰乙酰对苯二胺偶合而得。

性质 黄色粉末。分子量598.40。细度(60目筛余物)≤5%。水分≤1.5%。水溶物≤1.5%。在聚氯乙烯中的牢度性能:耐晒性(0.1%)6级,耐热性(0.2%)5级,耐迁移性(0.2%)4级。

用途 本品主要用于塑料的着色,特别适用于聚氯乙烯,色光鲜艳。耐热性、耐光性和耐迁移性优良。本品也可用于橡胶、涂料和油墨的着色。

国内生产厂 上海染化十二厂

随便看

 

离鸟网收录3541549条中英文词条,其功能与新华字典、现代汉语词典、牛津高阶英汉词典等各类中英文词典类似,基本涵盖了全部常用中英文字词句的读音、释义及用法,是语言学习和写作的有利工具。

 

Copyright © 2004-2024 vtrois.com All Rights Reserved
更新时间:2026/4/21 8:04:05