网站首页  词典首页


请输入您要查询的字词:

 

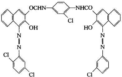
字词 大分子红BR(坚固红HLG,3403大分子红BR)
类别 中英文字词句释义及详细解析
释义

大分子红BR(坚固红HLG,3403大分子红BR)


【结构式】:

【释文】:

制法 2,5-二氯苯胺经重氮化后与2,3-酸偶合,所得产物经酸化及用氯化亚砜酰氯化后,与邻氯对苯二胺缩合而得。

性质 红色粉末。分子量828.93。细度(60目筛余物)≤5.0%。水分≤1.5%。水溶物≤1.5%。

用途 本品可作为塑料和橡胶的着色剂,主要用于塑料制品。着色力高,色光艳美,耐光性、耐热性和耐溶剂性优良。在聚氯乙烯中的牢度性能为:耐日晒(0.1%浓度)7~8级,耐热(0.2%浓度)5级,耐迁移(0.2%浓度)5级。本品还可用于油漆、油墨和合成纤维原浆的着色。

国内生产厂 上海染化十二厂

国外生产厂

随便看

 

离鸟网收录3541549条中英文词条,其功能与新华字典、现代汉语词典、牛津高阶英汉词典等各类中英文词典类似,基本涵盖了全部常用中英文字词句的读音、释义及用法,是语言学习和写作的有利工具。

 

Copyright © 2004-2024 vtrois.com All Rights Reserved
更新时间:2026/4/21 3:17:16