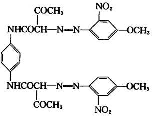
【结构式】:

【释文】:
制法 由3-硝基-4-氨基苯甲醚经重氮化,与双乙酰乙酰对苯二胺偶合而得。
性质 黄光橙色粉末。分子量634.56。细度(60目筛余物)≤5.0%。水分≤1.5%,水溶物≤1.5%。在聚氯乙烯中的牢度性能:耐晒性(0.1%浓度)6级,耐热性(0.2%浓度)5级,耐迁移性(0.2%浓度)4~5级。
用途 本品主要作为塑料用着色剂,特别适用于聚氯乙烯的着色,色光鲜艳,着色性能好,并具有优良的耐热性、耐晒性和耐迁移性。本品也适用于橡胶、油漆和油墨的着色。
国内生产厂 上海染化十二厂