网站首页  词典首页


请输入您要查询的字词:

 

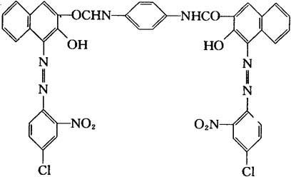
字词 大分子棕5R(永固棕5R)
类别 中英文字词句释义及详细解析
释义

大分子棕5R(永固棕5R)


【结构式】:

【释文】:

制法 由红色基3GL重氮化后与2,3-酸偶合,所得产物经酸化、酰氯化后再与邻氯对苯二胺缩合而得。

性质 棕色粉末。细度(60目筛余物)≤5.0%。水分≤1.5%。水溶物≤1.5%。在聚氯乙烯中的牢度性能:耐晒性(0.1%)7~8级,耐热性(0.2%)5级,耐迁移性(0.2%)5级。

用途 本品可作为塑料和橡胶的着色剂,着色力强,色光鲜艳,耐热稳定在180℃。耐晒和耐迁移性能优良。适用于聚氯乙烯、聚碳酸酯、聚四氟乙烯、橡胶等的着色。

国内生产厂 上海染化十二厂

国外生产厂

随便看

 

离鸟网收录3541549条中英文词条,其功能与新华字典、现代汉语词典、牛津高阶英汉词典等各类中英文词典类似,基本涵盖了全部常用中英文字词句的读音、释义及用法,是语言学习和写作的有利工具。

 

Copyright © 2004-2024 vtrois.com All Rights Reserved
更新时间:2026/4/20 18:12:53