网站首页  词典首页


请输入您要查询的字词:

 

字词 多因素计算式
类别 中英文字词句释义及详细解析
释义

多因素计算式


(一)彭曼公式

彭曼(H.L.Penman)根据能量守恒原理,联解热量平衡和湍流交换方程所作蒸发计算式,曾为世界气象组织所推荐,原式为:

式中 E——自由水面最大可能蒸发量(mm/d)

⊿——平均气温(Ta)时饱和水汽压(ea)的斜率

H0——净辐射交换,净辐射值以E的单位表示,59cal/cm2=1mm蒸发量

r——干湿球温度表方程(鲍恩比率方程)中常数r=0.486

Ea——湿度风速关系值

Ea=0.35(ea-ed)(1+0.01w2)

ed为平均气温Ta时实际水汽压(mm)

w2为2m高处日平均风速(哩/日)

(二)彭曼公式结合我国条件的订正式

为结合我国条件,中国科学院地理研究所洪嘉琏采用官厅和三门峡观测资料,对彭曼式进行订正,得出下式:

式中 Q——不同纬度天文辐射〔cal/(cm2·d)〕,1cal=4.1868J

——日照百分率

L——水的蒸发潜热(cal/g)

w10——10米高风速(m/s)

a、b——见下表

其余代号与2-4-37式同。

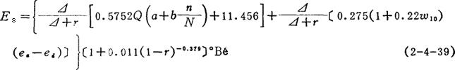
(三)按彭曼公式作出的卤水蒸发计算式

轻工业部制盐研究所与中国科学院地理所岳城综合试验站协作,以E601型蒸发器代表大水面蒸发进行不同浓度卤水蒸发测定,结合2-4-37、2-4-38两式,作成下列北方海盐区卤水蒸发计算式:

式中 r——相对湿度(取小数)

°Bé——卤水波美比重

(其他代号同2-4-37、2-4-38两式)

随便看

 

离鸟网收录3541549条中英文词条,其功能与新华字典、现代汉语词典、牛津高阶英汉词典等各类中英文词典类似,基本涵盖了全部常用中英文字词句的读音、释义及用法,是语言学习和写作的有利工具。

 

Copyright © 2004-2024 vtrois.com All Rights Reserved
更新时间:2026/4/19 3:42:34