网站首页  词典首页


请输入您要查询的字词:

 

字词 多功能电能表的定义、功能及技术要求
类别 中英文字词句释义及详细解析
释义

多功能电能表的定义、功能及技术要求


1.多功能电能表的定义

凡是由测量单元和数据处理单元等组成,除计量有功(无功)电能外,还具有分时、测量需量等两种以上功能,并能显示、储存和输出数据的电能表,都可称为多功能电能表。

2.多功能电能表的功能

(1)基本功能:

①电能计量功能:计量多时段的单向或双向有功电能、单向或双向或四象限无功电能,并储存其数据;至少能储存上1个月或上一个抄表周期的数据,数据转存分界时间为每月月末24时(月初零时)或其他抄表目的任意时刻。

②最大需量测量:在指定的时间区间内(一般为1个月),测量单向或双向最大需量、分时段最大需量及其出现的日期和时间并储存其数据;至少储存上一个月或上一个抄表周期的数据,数据转存分界时问为每月月末24时(月初零时)或其他抄表日的任意时刻。转存的同时,当月的最大需量值应自动复零;对非指定的抄表日,抄表时数据不转存,最大需量也不复零;需量周期可在5、10、15、30、60min中选择,滑差(窗)式需量周期的滑差时间可在1、2、3、5min中选择。需量周期应为滑差(窗)时间的整数倍5倍及以上;最大需量值除每月月末24时(月初零时)或其他指定时刻能自动复零外,应有手动(或抄表器)复零,但最大需量复零装置必须有防止非授权人操作的措施;应提供需量检测措施,如需量周期结束指示等。

③费率和时段:具有日历、计时和闰年自动切换等功能。日历和时间的改变应有防止非授权人操作的措施;24h内至少具有可以任意编程的4种费率和8个时段。

④事件记录:至少记录上月一个月的最大需量复零次数以及上次复零的时间和日期;至少记录上月一个月的编程总次数以及上次改编程序的日期和时间;辅助电源失电后,所有数据都不应丢失,且保存时间应不小于180天。

⑤脉冲输出:应有电量脉冲输出,输出方式可采用光学电子线路输出、继电器触点输出、电子开关元件输出等。

⑥外接或内置编程器预置内容:当前日期和时间(年、月、日、时、分、秒);编程密码,其位数应不少于6位;电能表编号和用户号码;常数;脉冲宽度的选择;按月设定用电结算日(月末抄表日);有功、无功电量起始读数;费率和时段;最大需量测量方式和需量周期及滑差(窗)时间;最大需量复零方式和自动复位的日期;显示方式和显示周期;电池工作时间或天数;需要时可预置电流、电压互感器额定变比;需要时可预置季节、节假日等的起始和结束日期。

⑦显示:测量值显示位数:不小于6位(含1~3位小数),并可通过编程选定;计量单位:kW(kvar),kWh(kvarh);能显示各种费率、电能量、需量及其方向、电量脉冲输出、需量周期结束等识别符号;有自检功能的报警信息码。

⑧死机:工作时不允许发生死机。

(2)多功能电能的扩展功能:

①有电气隔离的数据通信接口电路,能实现本地或远程数据信息采集和交换。通信规约应符合有关标准规定。

②记录并显示每月月末24时(月初零时)的平均功率因数或分时段的功率因数。

③日负荷曲线记录,数据保存容量1~36天。

④有失压记录和失压计时功能。

⑤计量视在电能、铁损和铜损的功能。

⑥需量超值

⑦能按不同季度预置不同时段及费率。

⑧能预置周休及节假日对时段及费率的要求。

⑨有负荷监控功能。

⑩辅助电源失电后,应有失电次数及其日期记录。

⑾表牌上有条码编号。

3.多功能电能表的技术要求

对于多功能电能表的技术检定是多方面的,且由专责人员进行。这里仅介绍一般要求。

(1)环境条件:

①参比温度及参比湿度:参比度温度为23℃。参比湿度为40%~60%。

②温度范围:机电式多功能电能表和电子式多功能电能表温度范围见表7-22。

表7-22 多功能电能表的温度范围要求

③相对湿度:多功能电能表的相对湿度要求:年平均<75%;30天(一年内这些天是以自然方式分布)为95%;在其他天偶然出现为85%。

(2)电气参量规定值:其参比频率为50Hz(或60Hz)。参比电压及基本电流见表7-23。

表7-23 多功能电能表的电气参量规定值

(3)电气性能:机电式和电子式多功能电能表参比条件、误差限、潜动、起动及影响量引起的误差改变量等应符合GB/T 15282(机电式)及IEC687、IEC1036和IEC1268(电子式)中有关规定。

①功率消耗:机电式和电子式多功能电能表在参比电压、参比温度和参比频率下,其每一电压线路、每一电流线路的有功功率和视在功率消耗不应超过表7-24、表7-25所列值。

表7-24 机电式多功能电能表电压线路功率消耗

表7-25 多功能电能表功率消耗

②多功能电能表电能示值误差:机电式多功能电能表计度器总电能示值误差在参比条件下,数据处理单元的显示总电能示值E与测量单元的计度器总电能示值E0的相差值应不大于

0.01%E0±1×10-(a+1) (7-1)

在现场运行条件下应不大于

0.05%E0±1×10-(a+1) (7-2)

式中:a为计度器的小数位数(以两者位数少者为准)。

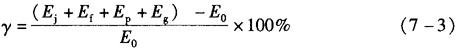
③计度器示值组合误差:在参比电压及电流变化范围从0.1Ib~Imax、cosφ=0.5~1(或sinφ=0.5~1)条件下,各费率计度器示值的组合误差应不大于±0.1%,组合误差计算公式为

式中:Ei——计度器尖时段的电能示值;

Ef——计度器峰时段的电能示值;

Ep——计度器平时段的电能示值;

Eg——计度器谷时段的电能示值;

E0——测量单元计度器的总电能示值。

以上电能示值单位均为kWh或kvarh

④需量示值误差:多功能电能表在参比电压、参比频率、参比温度和cosφ=1的条件下,在0.05Ib~Imax范围内,需量示值的相对误差应不大于

±(0.5+0.05Pn/Pn)% (7-4)

式中:Pm——在参比电压下,cosφ=1及I=Imax时的计算功率;

Pn——实测功率。

上述误差不包括测量单元误差。

⑤绝缘性能:多功能电能表应能经受规程规定的冲击电压和交流电压试验。试验时不应出现电弧放电或击穿,并应保持数据及程序不改变,准确正常工作(包括时钟)。

(4)气候影响:电子式多功能电能表气候影响符合IEC 687、IEC 1036和IEC 1268有关要求。

(5)电磁兼容(EMC):

①电磁骚扰的抗扰度:仪表的设计应能保证传导的和辐射的电磁骚扰(骚扰内容为静电放电、高频电磁场、电快速瞬变脉冲群、浪涌)以及静电放电不使仪表损坏或对仪表无实质性影响。

②无线电干扰抑制:多功能电能表不应产生能干扰其他设备的传导和辐射的噪声。

(6)电压影响:

①电子式多功能电能表的电压影响,除应符合IEC 687、IEC 1036和IEC 1268有关要求外,还应符合③和④要求。

②机电式多功能表在电压改变的允许极限范围内,程序不应紊乱,内存不应丢失,且各项数据的显示应正常。电压范围:当工作范围在0.9~1.1Un(Un为参比电压)时,极限工作范围为0.7~1.2Un

③电压逐渐变化时。在电压缓慢升、降过程中,多功能电能表不应发生死机或数据丢失等异常情况。

④当多功能电能表电压线路全部断电后,直流备用电源应能保持所有数据和维持内部时钟正常运行不小于180天。

⑤电池工作寿命应大于5年。电池的更换和维护应方便。

⑥辅助电源断电、恢复,应在内存储器中有记录。

(7)温升:多功能电能表在室温不超过40℃的条件下,电流线路通以额定最大电流,电压线路包括辅助电源线路加115%的参比电压,用电阻法和温度计法测量各部件的温升,其外壳表面温升应不超过25K,线圈温升应不超过60K,且各部件不应损坏,工作正常,绝缘性能仍应符合标准的要求。

(8)机械要求:

①机电式多功能电能表应符合国标的要求,电子式多功能电能表应符合IEC 1036、IEC 687和IEC 1268有关要求,同时两者还应满足②~⑤的要求。

②时段设置、手动复零等均应在表盖不打开情况下操作;改编程序、预置数据等,要有防止非授权人进行任何操作的措施。

③开关、操作键、按钮等应灵活可靠,无卡死或接触不良情况,各部件应紧固无松动,电池不应受振而脱开,更换电池要方便。

④对表壳的机械要求如下:表壳应紧封,应能保护表内各部件不受脏物、昆虫等侵害和不受机械损伤;表盖与底座应能封印,只有在拆开封印后,才能打开表盖,触及表内部件;表盖应有透明窗口,供观察工作状态和读取显示数据;金属底座上应设有直径不小于5mm的接地端钮,并标有接地符号。

⑤对端钮、端钮盒及端钮盒盖的机械要求如下:对不允许非授权人员操作的所有端钮应集中装在具有足够机械强度和良好绝缘性能的端钮盒内;端钮盒应有单独的盒盖,能与表壳分开封印:应有相应的弱电输出接口;端钮盒盖应标明端钮与外电路的连接线路图;在接入最大引线后与交流接线螺钉间的最小距离应不小于3mm。

⑥冲击影响及振动影响要求:多功能电能表在非工作状态,无包装条件下,冲击影响应能承受半正弦脉冲波的加速度试验。振动影响应能承受三个互相垂直的轴线上依次进行的振动试验。试验后不应有破裂、变形及内部各零件松脱、损坏。通电后程序仍应正常,且内存不丢失。机电式多功能测量单元准确度起动和潜动等不考核。

(9)抗运输环境性能:多功能电能表在运输包装条件下,按标准的规定进行试验后,在室温条件下放置24h以上,应不发生误计、漏计或超差等不正常情况。

(10)可靠性要求:在正常工作条件下,多功能电能表平均无故障工作时间(MTBF)不少于50000h。

4.DTSD545/DSSD535(F)三相电子式多功能电能表

DTSD545/DSSD535(F)三相电子式多功能电能表具有较高的准确度和可靠性。仪表可设置二个时区,四种费率,八个日时段,并具有红外和485通讯功能,可实现远距离抄表。

(1)主要功能:

①复费率功能:具有四种费率、二个时区分时计量功能。每个时区可设计十二个时段。

②电能计量功能:分时计量有功正向及反向电能,计量无功总电能和四象限电能,可选记录12个月的有功总电量和分时电量,可选分时计量无功正向及反向电能。

③需量计量功能:实现有功正、反向4费率需量和总需量滑差式计算。

④事件记录功能:编程、需量清零。

⑤断相及断电记录功能:具有断相、上下电检测和记录。

⑥其他功能:具有停电显示抄表。

⑦通讯接口:具有红外和RS-485通记功能,适应DL/T645规约。RS-485采用抗雷击485芯片。

⑧大屏幕汉化LCD显示各种参数设置情况和测量数据。

(2)扩展功能:

①光敏触发:在停电状况下,光(可见光变化和红外)可唤醒LCD显示。红外唤醒功能实现了停电状态下非触手动抄表。

②停电抄表:停电期间,可用掌上机进行停电抄表。

③液晶带背光显示功能:在光变化(手电筒、家用遥控器、打火机)或红外抄表编程点亮背光,点亮时间为30秒钟。

④时钟温度补偿:时钟精度进行温度补偿,保证宽温度范围(-10℃~+50℃)情况下时钟的准确。

(3)三相电子式多功能表的技术指标及规格表7-26。

表7-26 三相电子式多功能表的规格及技术指标

随便看

 

离鸟网收录3541549条中英文词条,其功能与新华字典、现代汉语词典、牛津高阶英汉词典等各类中英文词典类似,基本涵盖了全部常用中英文字词句的读音、释义及用法,是语言学习和写作的有利工具。

 

Copyright © 2004-2024 vtrois.com All Rights Reserved
更新时间:2026/4/19 20:42:12