网站首页  词典首页


请输入您要查询的字词:

 

字词 声波法
类别 中英文字词句释义及详细解析
释义

声波法


固体中的机械波是声波。由于其作用力的量级所引起的变形在线性范围,符合虎克定律,也可称其为弹性波。声波检测和浅层地震、面波勘探同属弹性波“动测”技术。

声波检测(Sound Wave Detecting)所使用的波动频率从几百赫到50千赫(现场原位测试)及50到500千赫(岩石及砼样品测试),覆盖了声频到超声频,但在检测声学学科领域中称其为“声波检测”。其测试原理与浅层地震相同,但使用频率及测时精度均高于浅层地震勘探。

应提及的是,这里所阐述的声波检测包含被动声波检测,即不需要振源的地声检测技术。

12.3.1 基本原理

声波检测技术中有三个声学参量,即声速(俗称波速)、声波波幅及频率,可对介质的物性做出评价。当前应用最多的是声速,其次为波幅,频率参量也日渐加入应用。

声波可以评价岩体(及混凝土)的性状,更可提供物理力学参数,但固体的声速和介质的几何尺寸有关。无限体(大块的岩体)、一维杆(防滑桩)、二维板(挡土墙)的声速表达式中的动弹性力学参数不尽相同,边界条件不一样,有必要对它们分别讨论。

12.3.1.1 无限(无界)固体介质中的声速

无限体指的是介质的尺寸远比波长λ(1)大,理论及实验证明,当介质与声波传播方向相垂直的尺寸D>(2~5)λ,此时的介质可认为是无限体。

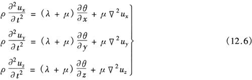
声速是介质质点弹性振动的传递(传播)速度。由弹性理论可知,在无限固体介质中由应力引起弹性应变过程的波动方程为:

式中:θ为体积膨胀率,表示在声波扰动下体积相对变化;ux、uy、uz分别为x、y、z方向的位移;λ、μ为拉梅常数;▽2为拉普拉斯算子,;ρ为介质密度。将12.6式中的第一式对x求导,第二式对y求导,第三式对z求导,然后相加,可得:

式中:E为弹性模量;σ为泊松比,两者都是介质的弹性常数,它们与拉梅常数λ、μ之间有一定互换关系。将(12.8)式代入(12.7)式,可有:

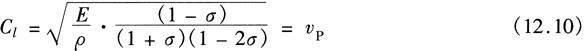
显然,(12.9)式中的Cl具有速度的量纲,代表介质内由质点振动传递过程引起的体积膨胀率的传播速度,也就是纵波的传播速度,人们常用vp表示。即:

纵波的质点振动传播的物理过程可用图12-6a表示。可见,质点的振动和传播方向是一致的。

图12-6 纵波及横波质点传播过程

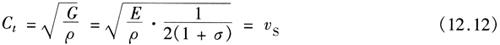
从三维角度看,质点的振动还可以与传播方向相垂直,这种波动称之为切变波或横波,它不引起固体微元的体积变化,故从12.6式中令θ=0可求得:

式中:Ct代表横波传播速度,人们常用vs表示。

式中:G为剪切模量。横波的质点振动传播的物理过程可用图12.6b表示。

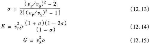
(1)声速与弹性力学参数:由(12.10)及(12.12)式可见,只要测取岩体的纵波及横波声速vp及vs,并已知岩体密度ρ的情况下,便可以获取岩体的动弹性模量E、剪切模量G及泊松比σ,对岩体的动力学特征做出评价。故动弹性力学参数可由下列公式计算:

(12.14)及(12.15)式中vp及vs以m/s计,ρ以kg/m3计,E、G的单位为Pa。

(2)用vp/vs评价岩体质量:泊松比σ反映的是岩体弹性性能,即在应力作用下产生纵向(应力方向)相对变形量与横向(应力垂向方向)相对变形量之比的倒数,反映的是岩体的“软”、“硬”程度。由于泊松比与纵、横声速之比有着密切的关系,所以常用纵、横波速度之比来反映岩体的物理性状。纵、横波速度比vp/vs与泊松比σ的关系如表12-5。

表12-5 纵横波速度比vp/vs与泊松比σ的关系

显然,vp/vs值越大,岩体越“软”。通过大量的统计,vp/vs的量值与岩体的完整程度如表12-6。

表12-6 vp/vs的量值与岩体的完整程度

(3)声速岩体完整性指数:评价岩体的质量也可以只用纵波声速。例如“工程岩体分级标准”(GB50218-94)规定,可以用岩体的纵波波速vpm与岩石的纵波声速vpr按(12.6)式测算出岩体完整性指数Kv

显然岩体包含的裂隙、节理比小体积的岩石要少,故Ky<1。可见,它反映的是岩体的完整程度。由完整性指数,可对岩体的工程力学性质进行分类,如表12-7。

表12-7 工程兵某部的岩体分类研究

(4)声速与岩性:不同岩性由于其结构、矿物组合、成因、地质年代等因素的不同,声速是不同的。又由于节理、裂隙等结构因素,它们的声速并不固定,而分布在一定范围。表12-8是常见到的几种有代表性岩体的纵波声速统计值。

表12-8 常见岩体的纵波声速统计值

(5)声速与岩体风化:同一种岩性风化程度的不同其声速有着明显的区别(表12-9)。以长江三峡三斗坪坝岩体风化程度与纵波声速为例,说明用纵波声速划分岩体风化的可行性。

表12-9 风化岩石纵波声速值(波速单位km/s)

(6)声速与岩体的裂隙:众所周知,岩体裂隙无论是原生的还是后期因地应力作用产生的次生裂隙,裂隙的出现便是岩体风化的开始。所以,有必要论述声速与岩体裂隙及风化相关的机理。

声学理论中的“惠更斯原理”对这一机理做出了合理的解释。惠更斯原理指出:弹性介质中,在某一时刻t,声波波前上的所有点,均可视为该时刻开始振动的新的点振源,各点振源产生新的球面波,这些球面波在t+△t后波前的包络的叠加组合,形成新的波前,如此循环不已。故当波动的前方有裂隙存在时,在裂隙尖端所产生的新的点振源将可绕过裂隙继续传播,形成波的“绕射”。绕射的过程声线“拉”长,声时(声波传播的耗时)加长,使视声速降低,故声速不仅可对岩体的风化程度加以划分,对岩体中存在的裂隙有着极为敏感的反映,特别是张裂隙。

(7)声速与岩体结构的关系:岩体的结构可分为四类:整体块状结构、层状结构、碎裂结构、散体结构。声波在整体块状结构中的传播速度最快。后三类结构中,由于岩体的节理裂隙发育程度不相同,声波在这种非均质介质中传播,将会在不同的波阻抗界面产生波的反射、折射、波形转换等,使声线拉长,从而使声速随结构的复杂而降低。但在声波的传播中还有一个原理,即“费玛原理”。费玛原理指出:声波从一个点向另一个点传播,会沿着最短、最佳、最不费时的路径传播。这就决定了随着岩体结构的不同,声波的传播走时是会有一定规律的,其关系如表12-10。

表12-10 声速与岩体结构

注:表中括号内的数据为最小值。

(8)声速与地应力:裂隙对声速的影响称之为“裂隙效应”。岩体受到外界应力作用时,其变形首先是裂隙的压密,由此可使声速提高。但当应力超过强度极限,岩体又会出现新的裂隙而使声速下降。图12-7是四块岩石试块(砂岩)应力与声速关系的实测曲线。

图12-7 岩石应力与超声波波速的关系

P-压力方向;F-发射换能器;S-接收换能器

根据上述原理,对岩体做应力释放处理测取应力释放前后的声速,然后再对取得的岩心加压测量其声速,可推测出地应力的量值及方向。

12.3.1.2 有限固体介质中的声速

(1)一维杆的声速:固体介质的尺寸和波长满足下列关系称为一维杆。即:

式中:λ为波长,D是一维杆直径,L是一维杆的长度。这时杆轴线方向的纵波声速存在下列关系:

显然,vpB与无限体的纵波声速相差,见(12.10式),当σ=0.2~0.25,vp=(1.05~1.1)vpBo

(2)二维板的声速:当固体二维板在x及y方向的尺寸远大于z方向尺寸,且z方向的尺寸Lz<λ时,二维板在x及y方向的纵波声速如下:

而横波声速不依赖几何尺寸。

讨论一维杆及二维板的纵波声速,目的在于对滑坡体治理时可能采用抗滑桩及挡土墙等工程治理措施,其施工质量的检测大多会采用声波透射法及声波反射法。对于正常声速的取值及动弹性力学参数的测算,分别应使用(12.8式)及(12.9式)。抗滑桩使用混凝土的情况较多,一维杆使用反射波法对混凝土优劣的声速划分与用声波透射法不同,见表12-11。其不同的原因是反射波使用的声波频率在1kHz左右(λ=4m左右)属一维杆的纵波声速,而声波透射法使用30kHz左右的频率(λ=0.13m左右)属无限体的声速。

表12-11 测桩混凝土声速分级

12.3.1.3 声波的反射、折射及波型转换

声波在固体介质中的反射、折射及波型转换是岩体及砼声学检测的重要理论依据。

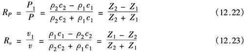
(1)垂直入射时的反射及透射:当固体介质不连续时,如存在波阻抗界面(波阻抗的定义是介质密度ρ与声速c的乘积,即Z=ρc),如图12-8,如声波传播的声线与x=n的界面相垂直,则为垂直入射。在该界面处,质点振动振速v及振动产生的声压P具有声压连续及振速连续,如下:

P+P1=P2 (12.20)

v+v1=v2 (12.21)

式中:P、v为入射声速的声压及振速;P1、v1为反射声压与振速;P2、v2为透过的声压及振速。将波阻抗Z=ρc关系代入上式可求出:

(12.22)式中的Rp为声压反射系数,(12.23)式中的Rv为振速反射系数。它们从不同角度说明声波反射的同一物理现象,声压反射系数说明了反射时质点振动的应力关系。同理可推导出声压透过系数。

图12-8 声波(平面波)的入射、反射及透射示意图

垂直反射比较简单,不产生波型转换。

(2)斜入射时的反射、折射及波型转换:如果在波阻抗界面处入射声波不是垂直入射,将产生反射、折射及波型转换,其规律见图12-9及图12-10。

图12-9 声波斜入射时的反射示意图

注:c1=vρ1,c2=vρ2

(a)纵波斜入射;(b)横波斜入射

图12-10 声波斜入射时的折射

注:c1=vρ1,c2=vρ2

(a)vρ1<vρ2,α<α1;(b)vρ1<vρ2,α=αⅠ;(c)vρ1<vρ2,α=αⅡ

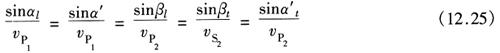
反射、折射规律遵循Snell定律,如(12.25)式:

式中:αl、α′l、α′t、βl、βt的含意见图12-9及图12-10。由(12.25)式可得到一个重要的入射角,称为第一临界角αi

该式说明:当纵波入射角等于第一临界角时,在比第一层介质声速高的第二层介质中的折射角等于90°,即折射波在第二层介质表面滑行。

(3)斜入射时的反射及折射系数:图12-9(a)纵波斜入射的反射系数Rp(如式12.27),而图12-10(a)中声波的透过系数RT(如式12.28):

(12.27)式及(12.28)式中的Z1=ρ1c1,Z22c2,分别为上下层介质的波阻抗。

(4)声波的绕射及散射:用惠更斯原理可解释声波的绕射,前文已述及,不再赘述。

声波在介质中传播,如介质中含有随机分布的不同波阻抗的颗粒,而这些颗粒的几何尺寸r<λ(λ为波长),这时声波将被这些颗粒反射而散射开来,使声波不能全部向前传播形成声能的损失,这种现象称为散射。

12.3.1.4 声波的波幅及声波的衰减

声波的传播是质点振动的传递过程,单位时间传递的距离就是“声速”,而质点在振动传递过程中其振动的幅度便是声波的“波幅”。声波波幅会随着质点振动相互碰撞,在将动能转换成热能的过程中,质点振动的能量耗损使其振动幅度渐减,称之为声波的衰减。声波的衰减显然随介质材质、结构及声波频率的不同而各异,同一种介质,声波频率高衰减快。

在声波检测技术的应用中,目前还没有用声波的衰减评价被测介质特性,而是通过测量声波波幅的变化检测诸如岩体内裂隙的发育情况、风化特征以及混凝土内部的各种缺陷等。

声波的波幅A与传播距离有下列关系:

两式中:Am为发射点的声波波幅;α为声波衰减系数,l为传播距离。(12.29)式适用平面波,(12.30)式适用球面波。

12.3.1.5 声波的频率

由富氏变换可知,声波检测发射的脉冲波是由多个不同频率的正弦波组成。在岩体中随着传播距离加大,或由于岩体裂隙的发育程度、风化程度的不同,接收到的脉冲波的高频信号衰减快,使接收信号的主频(能量最丰富的频率)降低。故接收到的声波信号的频率特性,可反映出岩体的物理性状。

12.3.1.6 声发射现象与凯萨效应

当岩体受到外力作用,例如地下残余应力、人为或自然界对岩体产生扰动引发的应力集中等,超过岩体的强度时,岩体内部将被破坏。这种破坏往往要经历一个过程,开始时局部产生微破裂,出现一些新的裂隙,当外应力增加,这种破裂的数量(次数)增加,新生的裂隙增加并延伸,外应力增加到一定程度后,最终造成整块岩体破损坍塌。在上述岩体受力破坏的过程中,每产生一次破裂,能量被释放并转换成一次脉冲波动,形成一组声脉冲,称为“声发射”。每出现一次声发射,即为一次声发射“事件”。

声发射现象产生的脉冲声波的频谱甚为丰富,据国外文献及国内有关单位研究,其频率的上限到兆赫,下限到千赫。因此,可以在距离声发射点几十米以外接收到声发射信号,一般接收仪器接收到的是主频数千赫以下的声发射脉冲波组。由所接收到声发射事件的次数、单位时间内事件数,及声发射信号的波幅强度等动力学特征,可对岩体是否失稳进行预报。

岩体声发射现象,还有一个特殊效应系由凯萨氏发现,定名为“凯萨效应”。从岩体上取下一块完整的岩石试样,放在材料试验机上缓缓施加压力,在所加压力未超过它历史上所受到应力之前,是不会发生声发射的。由此,从加压后开始出现声发射现象之前的一级压力,即为该岩体历史上所受到的最大应力。

12.3.2 观测方法

声波检测(主动式)的全过程,可用图12-11加以说明。当今声波检测仪均已数字化,现以数字化声波检测仪的发射、接收、数据采集及信号处理过程说明声波检测的观测原理。

图12-11 声波检测(主动式)原理框图

(1)声波的发射:传统的声波仪用压电型换能器的逆压电效应将电脉冲信号转换成机械振动,向岩体辐射声波,其透射距离在10m以内(频率20~50kHz)。为加大穿透距离,声波仪也可以用电火花、锤击等单次瞬态激励振源向岩体发射声波(频率约3kHz以下)。

(2)声波的接收:传统的声波仪多使用压电型接收换能器的压电效应,将经岩体传播后的声波信号转换成电信号,这些信号携带了岩体的物理力学及地质信息。

(3)放大及数据采集:见图12-11,由接收换能器送出的信号先经接收放大系统加以适当的放大,再经A/D转换数据采集系统对放大后的信号由A/D转换器将模拟信号转换成二进制数字信号,并按采样的时间顺序存储在随机存储寄存器(RAM),再将这些离散的二进制数字信号送入微电脑,最终接收换能器接收到的声波信号波形显示在电脑显示屏上。目前最高档的声波检测仪,在将波形显示在屏幕上的同时,可将接收信号的首波波幅及首波的到达时间(即声时)自动加以判读,同时加以显示。接收到的波形、波幅、声时等可存入电脑的硬盘或软盘,用作下一步的分析处理。上述声波信息可在专用的数据与信息处理软件的支持下,对被测介质作出评价。

(4)被动式声波检测:岩体中的声发射信号、滑坡体蠕动产生的摩擦声信号统称为“地声信号”。对这些信号的接收过程与图12-11基本相同,只不过没有声波发射系统,但接收是多通道的(三个以上),故称之为被动式声波检测。另一个重要的不同点是,它需要计时系统,记录出现地声的时刻,同时需对地声脉冲信号的主频、波幅量化处理后存储记录,统计出地声事件出现的频度。被动式声波检测仪必须长时间连续工作,提供不间断的观测记录。地声监测是地质灾害的勘查手段之一,对于研究地质灾害发展规律十分重要。

12.3.3 检测方法

由检测对象及检测目的的不同,声波检测有多种方法。

12.3.3.1 透射法

发射的声波经被测介质传播透过后,由接收换能器接收的测试方法为透射法。

(1)表面测试:工程场地的岩体、混凝土,如需检测内部结构特性、缺陷及力学性能,而目标体又有外露的测试面,可采用对测法,如图12-12(a);只有一个检测面时,可采用平面测试法,如图12-12(b)。

图12-12 表面测试原理图

I-声波检测仪;T-发射换能器;R-接收换能器;M-检测介质

表面测试多用于地下洞室、隧道、边坡、大型桥墩等如图12-13。

图12-13 声波表面测试示意图

1~3-隧道及洞室;4-桥墩类

>发射点;接收点

(2)跨孔测试:在两个相距一定距离的钻孔中,分别放入发射振源和接收换能器,如图12-14。具体方法有同步提升测试法,图12-14(a);斜测法,如图12-14(b);及扇面测试法,如图12-14(c)。

图12-14 声波跨孔测试示意图

T-发射振源;R-接收换能器;H-钻孔

跨孔测试用于孔间岩体破碎带、岩溶、滑坡的滑带(床)的测试;扇面测试用于声波层析成像(CT)测试。此外,跨孔测试还用于防滑桩、挡土墙等地质灾害防治工程的工程质量检测。

如图12-15,在钻孔地面旁敲击,孔中用三分量检波器(或压电换能器)接收。横敲木板可测取地层横波声速,直接敲地面测取纵波声速。地面-孔中测井可用于测取地层动力学参数,划分地层,对滑坡体进行检测,掌握滑床(带)部位、物理性状等。

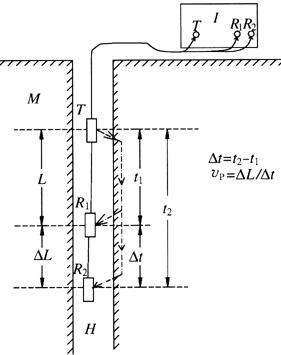
12.3.3.2 折射法——单孔一发双收声测井

图12-15 声波地面-孔中测试示意图

I-声波仪;R-三分量检波器;B-帖壁气囊;M岩体;H-钻孔;W-激振木板;P-压力;F-正向激振;F′-反向激振

如图12-16,发射换能器T近似点振源,故总有一条声线满足第一临界角,这时进入岩体的声波折射角为90°,射波沿孔壁滑行,以后又被相距L的R1及相距为L+△L的R2接收,其声时分别为t1及t2。声速vp为:

图12-16 单孔一发双收声波测井原理

I-声波仪;T-发射换能器;R1、R2-接收换能器;M-岩体;H-钻孔

单孔一发双收声波测井用于岩体风化壳划分及强度评价,深部地层的构造、软弱结构面、破碎带埋深及发育的勘查。

一发双收声波测井必须注意的问题是,接收换能器R1在接收到沿孔壁滑行折射波的同时,还能接收到由井液中直接传播的声波,因此必须保证滑行波的走时t1小于井液中传播的声时tw,才能保证正确的测试。由于岩体的声速大于井液的声速,所以,只要加大发射换能器T与接收换能器R1之间的距离L(L称源距)即可达此目的。通过计算可求得最小的源距Lmin有下列关系:

(12.32)式中D为钻孔直径;α为换能器外径;Cw为井液声速;Cm为岩体纵波声速的最低值。

(12.31)式说明,当一发双收换能器的直径及源距确定后,所能适用的钻孔孔径也就被限制在一定范围之内。用其在钻孔中进行测试之前,应按(12.31)式核算一下是否适应孔径。

12.3.3.3 反射法

图12-17是桩(或混凝土挡土墙)反射波测试示意图。用手锤或力棒敲击桩顶产生入射波T,在桩底(或有缺陷F)产生反射波R(R′)。接收传感器Tr先后接收到直达波D、缺陷反射R′及桩底反射波R,即可由检测仪器I将它们依次记录。由记录的波形可判断桩是否完整,或有无缺陷,以及桩身混凝土声速,并由声速推断混凝土质量(强度等级)、缺陷的位置。

图12-17 桩(墙)反射波测试

I-仪器;H-手锤;Tr-传感器;P-桩(墙);F-缺陷;E-地层;T-入射波;R-桩底反射波;R′-缺陷反射波;D-直达波

上述桩的反射波法,实际是一维杆的“零”偏移距反射波法(也就是浅层地震所谓的最小偏移距反射法)。按此原理,还可以对地下连续墙、挡土墙进行墙体的完整性及深度检测。依此类推,也可以对地下隧道开挖面前方的岩体破碎带、溶洞等不良地质体进行“零”偏移距反射波法测试,目前已取得较好的实测结果。

12.3.3.4 岩石样品的声波测试

(1)岩石样品(试件)声波测试的目的。岩石样品多由钻探取芯或工程现场取样获取。测试岩石样品的目的是:获取无结构面的完整岩石声速,作为评价岩体完整性的基础数据;研究声速与应力间的关系;利用凯萨效应掌握历史上曾受到过的地应力的最大值;提供岩石动弹性力学参数Ed、Gd、σ等。

(2)岩样的几何尺寸与测试频率的选择。岩石样品几何尺寸较小,按有关规程规定,其尺寸应为5×5×5(cm)、5×5×10(cm)、Φ7×5及Φ7×10(cm)。为了获取无限体的声速,必须采用高频换能器测取纵波、横波声速vp、vs。频率的选取原则是D≥(2~5)λ如2.1.1(B)节中的要求。因此,声波换能器的频率应在200~1000kHz,仪器的测量声传播时间的分辨率,应达到0.1μs。

(3)岩石样品的加工要求,见原地质矿产部《岩石物理力学性质试验规程》(1986年12月颁布)。

12.3.3.5 多种声波检测方法总汇

因检测目的的不同,声波检测有着多种测试方法,各种方法又随探测距离各异,出现多种发射振源及不同接收方式。各种声波检测方法的总汇如表12-12。

表12-12 多种声波检测方法总汇

12.3.4 信号处理

我国的声波检测仪已普遍实现数字化并领先于国际水平。数字化的实现,加速了信号处理技术的提高。目前已在多个方面应用了信号处理技术,并开发出了相应的处理软件。

(1)为研究应用声波信号的频率特性,傅氏变换频谱分析技术普遍用于声波检测,并备有相应软件供用户使用;

(2)高、低、通数字滤波软件,用于滤除不同的干扰信号;

(3)积分处理对接收信号进行积分运算,将振动加速度信号转换成振动速度型信号及消除接收信号(直达波及反射波)的余振;

(4)多点平滑滤波将数字序列中的第i点信号(i=0、1、2、3、……N)与相邻的i+n个信号幅度相加除以i+n的值作为i点的波幅,目的是消除噪音使波形光滑;

(5)叠加处理将n次(n任选)发射、接收到数字信号序列逐点相加,使波幅增强,以提高信噪比,消除随机噪音。

上述信号处理软件,多已装入仪器,可以方便地调用。

12.3.5 数据处理

数据处理的目的是用测取的声学参量,以及由它们衍生出的物理量评价岩体的结构、物理力学性能及混凝土结构强度、完整性等。

(1)声速计算:

其含义与(12.10)式及(12.12)式相同。

(2)岩体完整性指数(Kv):

式中:vpm为岩体纵波声速[km/s],vpr为岩石试件纵波声速[km/s]。根据《工程岩体分级标准》(GB50218-94),Kv定性划分岩体完整程度的对应关系如表12-13。

表12-13 Kv定性划分岩石完整程度的对应关系表

(3)准岩体抗压强度(Fm):

式中:Fr为岩石试样的单轴抗压强度。

(4)岩体风化系数(I):

式中:vp为完整岩体的纵波声速;vpm0为风化岩体的纵波声速。

(5)动弹性力学参数:当测取了岩体及混凝土的纵波及横波声速,可求得下列动弹性力学参数

(12.36)至(12.38)式中:vp、vs为纵、横波声速;ρ为密度。

12.3.6 仪器设备

(1)水文地质工程地质专用声波测井仪见表12-14。

表12-14 水文地质工程地质专用声波测井仪一览表

(2)典型超声波(声波)检测仪见表12-15。

表12-15 典型超声波(声波)检测仪

(3)电火花振源:为加大声波穿透距离,可使用大功率电火花振源。其原理是:在高压储能电容上充4~8kV电压,然后通过电缆及放电电极在水中瞬间放电,使水高热气化,产生激励脉冲声波。其特点是:能量可控、一致性好、能量大。便携式电火花振源的能量可达300~700J(焦尔),湘潭市无线电厂生产,型号XW5512A。

(4)发射与接收换能器:由于声波测试方法的不同,需要有多种换能器,满足不同的测试要求。现有定型生产的各类换能器,表12-16所示给出了它们的名称及主要技术性能、外形尺寸、耦合方法及适应的测试方法。

表12-16 定型生产的各类换能器

注:圆管型换能器内可加装20dB以上的前置放大器,使其成为宽带接收换能器。

【参考文献】:

北京大学数学力学系.1973.地震勘探数字技术,北京:科学出版社

董万里.1978.岩石动弹性性质的超声测试,岩体工程地质力学问题,中国科学院研究所编,北京:科学出版社

工程岩体分级标准(GB50218-94).1995.国家技术监督局、建设部联合发布

谷德振.1979.岩体工程地质力学基础,北京:科学出版社

理学报,第31卷,第6期

林宗元.1994.岩土工程试验手册,辽宁科学技术出版社

刘云祯等.1996.瞬态面波法的数据采集处理系统应用及实例,物探与化探

唐大荣.1988.Mini-Sosie浅层高分辨率反射波技术在西安市地裂缝研究中应用,地球物理学报,第31卷,第6期

唐大荣.1990.用浅层地震反射法探测河北省山前平原活动断层依据及效果,物探与化探,第14卷,第2期

唐大荣.1994.地面岩溶塌陷的高分辨地震勘查,物探与化探,第18卷,第1期

王兴泰.1996.工程与环境物探新方法新技术,北京:地质出版社

王振东.1988.浅层地震勘探应用技术,北京:地质出版社

吴庆曾.1996.小应变动力验桩纵横谈,工程物探

吴庆曾.1998.声波检测的发射与接收,中国地质灾害与防治学报,第9卷增刊(ISSN1003-8035)

吴庆曾.2000.论基桩完整性检测技术,物探与化探

岩石物理力学性质试验规程.1986.地质矿产部

杨成林等.1993.瑞雷波勘探.北京:地质出版社

Wu Oingzeng.1992.Sonic Reflection for lnspecting The lntegrity of Foundation Pile,14th lnternational Congress on Acoustics

随便看

 

离鸟网收录3541549条中英文词条,其功能与新华字典、现代汉语词典、牛津高阶英汉词典等各类中英文词典类似,基本涵盖了全部常用中英文字词句的读音、释义及用法,是语言学习和写作的有利工具。

 

Copyright © 2004-2024 vtrois.com All Rights Reserved
更新时间:2026/4/20 3:26:51