网站首页  词典首页


请输入您要查询的字词:

 

字词 增白剂VBL
类别 中英文字词句释义及详细解析
释义

增白剂VBL


别名 荧光增白剂VBL、荧光增白剂BSL

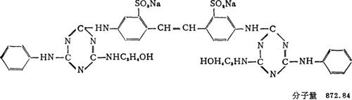
结构式

性能 带有青光微紫色荧光的淡黄色粉末。可溶于80倍量以上软水中,开始溶解时有凝聚现象,加水稀释充分搅拌后可获得透明溶液。溶解于微碱性或中性水浴,在pH6~11溶液中稳定。耐硬水至300ppm,耐游离氯至0.75%,不耐铜、铁等重金属离子。可与阴离子型和非离子型表面活性剂、直接和酸性等阴离子染料、颜料等混用,但不适宜与阳离子型染料、表面活性剂和合成树脂初缩体等同浴使用。

用途 用于纤维素纤维、纸张、洗涤剂的增白和浅色纤维素织物增艳。

国内生产厂 上海助剂厂、天津染料厂、湖北武汉市化学助剂总厂、河南安阳第三染料厂、浙江金华染化厂、吉林四平化工试验厂、吉林通化第三化工厂、辽宁抚顺染料化工厂、辽宁营口市建设化工厂、上海纺织助剂厂、山东招远化工厂、山东济南军区蓬莱染料厂、江苏南通县有机化工厂。

质量规格 HG2-382-83

随便看

 

离鸟网收录3541549条中英文词条,其功能与新华字典、现代汉语词典、牛津高阶英汉词典等各类中英文词典类似,基本涵盖了全部常用中英文字词句的读音、释义及用法,是语言学习和写作的有利工具。

 

Copyright © 2004-2024 vtrois.com All Rights Reserved
更新时间:2026/4/19 19:40:09