网站首页  词典首页


请输入您要查询的字词:

 

字词 增塑剂的选择
类别 中英文字词句释义及详细解析
释义

增塑剂的选择


理想的增塑剂需满足下列要求:

①与树脂的相容性要好,即增塑效率要高。

②挥发性低。

③耐水抽提。

④迁移性小。

⑤具有良好的光、热稳定性。

⑥良好的低温柔韧性。

⑦具有阻燃性(特别用于电绝缘材料及建筑材料时)。

⑧电绝缘性好。

⑨具有防霉性。

⑩无色、无臭。

⑾无毒(对食品包装和医疗卫生制品需满足无毒要求)。

目前应用于聚氯乙烯的增塑剂虽然很多,但几乎没有一种能兼具上述各项要求的,所以选择增塑剂时,往往需要几种并用才能取得较好的效果。

人们在聚氯乙烯树脂的配料实践中对增塑剂的选择预测已积累了一定的经验,下面对其中最主要的相容性、增塑效率以及包括挥发性、耐水抽出性、迁移性在内的增塑剂在制品中的保留性等的选择原则作一扼要的说明。

(一)相容性

1.相容性对加工性、制品性能的影响

增塑剂的相容性对配成的聚氯乙烯塑料的加工性有密切关系,使用相容性好的增塑剂,则其与树脂配成的塑料加工性也必然是良好的。图2-1-1表示加入重量比30%的不同种类的增塑剂对鱼眼消失的影响。鱼眼的全部消失表示塑料的塑化完全,消失的速率越快表明树脂与增塑剂相容性越好,则其加工性也越好。

图2-1-1 加入30%重量的不同种类增塑剂对鱼眼消灭的影响

2.相容性的预测

当聚氯乙烯树脂和增塑剂混合时,如两者的相容性差,则会发生相的分离,所以相容性是增塑剂性能中最主要、最基本的要求。预测聚氯乙烯树脂与增塑剂的相容性最常用方法有两种:①对照溶度参数;②参考介电常数。如果在实际使用中把两者结合起来观察则更为正确。

(1)溶解度参数法

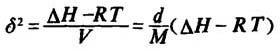
根据热力学原理,两种物质(树脂与增塑剂)的溶解度参数相近时(其差值在1.0以内)可以彼此相容。溶解度参数(δ)的定义为:

式中 AH——为蒸发潜热(cal/g)

V——摩尔体积(cm3/mol)

d——气体密度(g/L)

M——分子量

R——气体常数,1.987cal/(℃·mol)

T——绝对温度

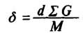
从上式不难明白,物质的溶解度参数是可以用许多实测方法测得的,实测各种增塑剂的溶解度参数数据见表2-1-8。溶解度参数也可以采用分子中原子基因聚能常数(G)的加和来计算,其式如下:

式中 δ——溶度参数

M——分子量

d——物质的密度

G——内聚能常数

各原子团对应的内聚能常数见表2-1-9。

表2-1-8 增塑剂溶解度参数与介电常数实测数据表

表2-1-9 各原子团对应的内聚能常数

现以聚氯乙烯为例,计算其溶解度参数如下:

根据上述公式,聚氯乙烯树脂的溶解度参数可只计算其一个聚合单元。

聚氯乙烯的d=1.4 单体分子量M=62.5

由于聚氯乙烯单体的溶解度参数为9.7,所以根据上述的原则,凡溶解度参数在8.7~10.7之间的增塑剂,应能与聚氯乙烯树脂有较好的相容性(这不是绝对的,特别是在那些分子量大的、结构复杂的增塑剂,往往有例外的情况)。

(2)介电常数法

增塑剂介电常数(ε)与聚氯乙烯树脂相容性的关系是:如果增塑剂是芳香族化合物而其ε值在4.75~7.75范围内,则它与聚氯乙烯的相容性是良好的,如ε值在4.5~4.75或7.75~8.0范围内,则有中等程度的渗出,如ε值在4.0~4.5或8.0~8.25范围内则有大量渗出。脂肪族化合物的情况基本与此相似,但在4.75以下规律性较差,几种增塑剂的ε值见表2-1-8。

(二)增塑效率

加有增塑剂的树脂制成的制品要比不加的富有柔软性。各种增塑剂对树脂的柔软度并不一样,一般使用增塑效率来评定增塑剂对树脂的柔软度。评定时,通常以100份树脂加50份邻苯二甲酸二辛酯所制得的聚氯乙烯制品的试样的模数与刚性作为标准,随后就另用其它增塑剂来增塑聚氯乙烯树脂而使其模数和刚性达到标准试样一样的数据,此时所耗增塑剂与邻苯二甲酸二辛酯用量的比值即称之为增塑效率比值。为便于比较,特将邻苯二甲酸二辛酯的增塑效率作为100,而将常用增塑剂的增塑效率比值列于表2-1-10。

表2-1-10 常用增塑剂的增塑效率比值

邻苯二甲酸酯类的增塑剂的烷基碳数是与增塑效率有关的,其关系见图2-1-2。

图2-1-2 邻苯二甲酸酯烷基碳数与增塑效率的关系

—正烷基·-异烷基

(三)在制品中的保留性

聚氯乙烯中的增塑剂常会由于挥发、迁移、抽出等原因而减少,以致使制品变硬,同时对其它力学性能也会有程度不同的影响。

增塑剂从制品中挥发出来的速度与温度有关,也就是与增塑剂的蒸气压有关。图2-1-3为某种增塑聚氯乙烯薄膜的加热失重与增塑剂的蒸气压关系。在同样温度条件下,增塑剂的蒸气压越低,则加热失重越小。图2-1-4为增塑剂在某种增塑聚氯乙烯薄膜中的挥发速度,其加热失重与时间的平方根成线性关系。

图2-1-3 薄膜的加热失重与增塑剂的蒸气压关系

图2-1-4薄膜中增塑剂的挥发速度

塑料制品中增塑剂在水、矿物油及其它有机溶剂中常有被抽出的倾向。用邻苯二甲酸二乙基己酯为增塑剂的聚氯乙烯塑料,在矿物油中,增塑剂被抽出的速度如图2-1-5所示。

图2-1-5 聚氯乙烯塑料在矿物油中邻苯二甲酸二乙基己酯的抽出速度(50℃)。矿物油粘度为25~35cP(25℃)

在常用的增塑剂中,环氧油酸辛酯具有良好的抗水抽出性,磷酸三甲酚酯具有良好的抗矿物油抽出性,聚酯型增塑剂是良好的耐溶剂及矿物油抽出的增塑剂。

增塑剂分子向塑料制品表面或向与它接触的其它塑料中的移动性能称为迁移性。单体和有机液体增塑剂一般具有较大的迁移性。

随便看

 

离鸟网收录3541549条中英文词条,其功能与新华字典、现代汉语词典、牛津高阶英汉词典等各类中英文词典类似,基本涵盖了全部常用中英文字词句的读音、释义及用法,是语言学习和写作的有利工具。

 

Copyright © 2004-2024 vtrois.com All Rights Reserved
更新时间:2026/4/20 20:28:21