网站首页  词典首页


请输入您要查询的字词:

 

字词 基本原理
类别 中英文字词句释义及详细解析
释义

基本原理


1990年3月,瑞士徕卡(Leica)公司推出世界上第一台数字水准仪NA2000。至今已有多种型号,目前世界上已有部分数字水准仪的型号和技术指标见表18-1。

表18-1 部分数字水准仪的型号和技术指标

数字水准仪和传统水准仪相比较,相同点是:两类水准仪具有基本相同的光学、机械和补偿器结构;光学系统也是沿用光学水准仪的;水准标尺一面具有用于电子读数的条码,另一面具有传统水准标尺的E型分划;既可用于数字水准测量,也可用于传统水准测量、摩托化测量、形变监测和适当的工业测量。其不同点是:传统水准仪用人眼观测,数字水准仪用光电传感器(CCD行阵)(即探测镜)代替人眼;数字水准仪与其相应条码水准标尺配用;仪器内装有图像识别器,采用数字图像处理技术;这些都是传统水准仪所没有的;同一根编码标尺上的条码宽度不同,各型数字水准仪的条码尺有自己的编码规律,但均含有黑白两种条块,这与传统水准标尺不同;另外,对精密水准仪而言,传统的利用测微器读数,而数字水准仪没有测微器。

数字水准仪的基本原理是:水准标尺上宽度不同的条码通过望远镜成像到像平面上的CCD传感器,CCD传感器将黑白相间的条码图像转换成模拟视频信号,再经仪器内部的数字图像处理,可获得望远镜中丝在条码标尺上的读数(图18-9)。此数据一方面显示在屏幕上,另一方面可存储在仪器内的存储器中。具体而言,目前数字水准仪有三种测量原理,即相关法、相位法和几何法。

图18-9 电子水准仪数字图像处理原理

1.相关法的NA2000数字水准仪

徕卡的NA2000,利用电子工程学原理自动进行观测、信息处理和获取并自动记录每一个观测值。使用时,作业员只要粗略整平仪器,将望远镜对准标尺并调焦,然后按一下有关按键,仪器就能自动地精确测定视距和水平标尺读数。

数字水准仪NA2000具有与传统水准仪基本相同的光学和机械结构,实际上就是采用Wild NA-24自动安平水准仪的光学机械部分。配套的水准标尺一面是用于电子读数的条码——条码尺,另一面则是用于目视观测的常规E型分划线尺。

在数字水准仪中,标尺条码的像经光学系统成像在仪器的行阵探测器上(图18-10)。长约6.5mm的行阵探测器是由256个间距为25μm的光敏二级管(像素)组成。光敏二极管的口径为25μm,由于Wild NA-24的视场角约为2°,因此在1.8m的最短视距上,标尺截距有70mm;视距为100m时,标尺截距有3.5m成像到行阵探测器上,行阵探测器将接收到的图像转换成模拟视频信号,读出电子部件将视频信号进行放大和数字化。

图18-10 成像在仪器的行阵探测器

数字化水准仪的数值辨识是以相关技术为基础,将仪器内存的“已知”代码(参考信号)与行阵控测器上的成像所构成的信号(测量信号),按相关方法进行比较,直至两个信号最佳符合,由此获得标尺读数和视距(图18-11)。

图18-11 两个信号最佳符合

(1)运算方法

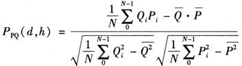
数字水准仪的数值处理是以相关原理为基础,即将仪器“已知的”代码(参考信号)同行阵传感器上成像构成的信号进行比较。运用相关方法时需要优化两个参数:“高差”和“比例”。一方面“仪器-标尺”的高差表现为代码标尺像的位移,另一方面代码成像的比例是作为“仪器-标尺”之距离的函数变化的。因此在NA2000中,二维离散相关函数为:

式中 PPO——Q和P之间的相关函数;

Qi(y)——测量信号;

Pi(d,y-h)——参考信号(计算得出)。

图18-12表示测量范围内相关函数的典型函数曲线。测量信号与参考信号相关的最优的地方就是要识别出的函数曲线的明显峰值,由最大坐标确定距离d和高h。

图18-12 测量范围内相关函数的典型函数曲线

(2)最大相关的确定

为了找到相关函数的最大坐标,必须在整个测量范围内(d=1.8~100m及h=0~4.05m)进行系统搜索。对整个测量范围(图18-13)进行计算大约需要运算50000个相关系数,也就是运用上式计算5×104次。在NA2000中为了减少计算次数,可采用粗优化和精优化的方法。

图18-13 整个测量范围要计算50000个相关系数

1)粗优化

粗优化是在距离-高度格网中探寻相关峰值的近似坐标。因为由调焦镜位置已经算出初始概略距离值d,因此可以算出粗略相关的探寻范围,可使必要相关系数的计算次数减少约80%。为了继续减少计算时间,测量信号的动态被减少到1位。为此,单个像素的信号强度和由信号算出的阈值都减少到O和1,由此乘法可以用等值函数(“异-非-或”逻辑EXNOR)代替。在数学上,NA2000中的这种1位相关由下列关系式确定:

式中 PPO(d,h)——一位相关函数;

Qi(y)——探测器信号;

Pi(d,y-h)——参考信号;

——EXNOR逻辑运算。

在距离-高度格网的每一个交点上都进行相关系数计算。在参考信号同测量信号重合的位置上会出现明显突出于其他相关系数噪声的相关峰值。

2)精优化

精优化的目的是以最高精度确定标尺代码相对于行阵传感器的位置,以及标尺代码比例。在精优化探寻区(图18-13)测量信号和参考信号采用8位信息进行相关,此时测量和参考信号会出现不同幅值。所以二维离散相关函数可用下式规格化:

此外,通过规格化还可使相关系数总是处在±1.0以内,这样在优化结束时就可使测量结果合格。

(3)测量信号的整理

1)测量信号的调整

在优化之后标尺像的非均匀光强度得到分析和考虑后,标尺分划可能被遮挡而引起有缺陷的代码单元在计算中被识别,并在下一步相关中被剔除。多次试验表明,标尺像被遮挡30%都不致损害精度和可靠性。这意味着在成像范围的一些位置上,代码图像被遮挡或干扰将不起作用。

2)探测器灵敏度函数的顾及

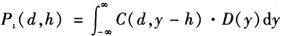
在运算过程中必须考虑到探测器单个像素是呈现梯形光强灵敏度的。参考信号由代码函数C(d,y-h)和探测器灵敏度函数D(y)的褶积(卷积)产生。于是在数学上参考信号由下式给出:

式中 Pi(d,h)——像素i的参考值;

D(y)——像素i的灵敏度函数;

C(d,y-h)——代码函数;

h——高度;

y——代码与探测器的相对位置;

d——成像距离。

图18-14可这样理解,首先是白色码区的分划与成像距离d相应,其位移与视线高h相应,然后分别采集到探测器的各单元中(在此只考虑白色码区,因为只有它才反射标尺上的光线)。

图18-14 探测器灵敏度函数

(4)标尺的代码

标尺代码要用二进制码表示,因为它只能由黑白码区构成。基本码区约2mm长,在4050mm长的标尺上整个代码包含2000个码区。因为标尺代码用相关法运算,所以选用了伪随机代码作为代码模型。这种代码具有可以在1.8~100m距离范围内使用相关法的特点。

2.相位法的SDL30数字水准仪

SDL30数字水准仪,每公里往返标准差为1.0mm,与电子手簿连接可以实现观测与数据记录的自动化。

(1)数字水准仪SDL30的基本原理

数字水准仪SDL30系统设计的基本原理如图18-15所示,主要由编码尺部分、自动安平光路部分、电信号处理部分组成。SDL30的CCD线性传感器特点为:总共有3500个像素,用于数码信息测量的为1800个像素,像素距为8μm,相应于分划板横丝区域约有900个像素,这900个像素所对应的相关码信息作为常数存储于CPU内,以备运算。

编码水准尺是用玻璃钢材制成的,水准尺的正面为刻画十分精密的RAB码(随机双向码),反面是标准分划,可作普通水准测量。RAB码的条码宽度分别为3mm、4mm、7mm、8mm、11mm、12mm,条码之间的中心距离为16mm,采用6进制码和3进制码两种编码形式,并把标尺的相关数码信息预置在仪器的CPU内。1.6~9.0m短距离测量时取6进制码的5个以上数码作计算依据,而9.0~100m长距离测量时则取3进制码的8个以上数码作为计算依据。另外对RAB码标尺的编码信息扫描有两种方式:短距离测量采用边缘探测方式;长距离测量采用初级傅里叶转换探测方式。图18-16表示RAB码标尺的有关数据。

图18-16 RAB码标尺

由图18-15可见,电耦合器件CCD把编码尺上数码影像的物理量转换为电模拟量,经信号放大后输入A/D模数转换器中,进行取样、保持、量化、编码4个程序,然后被CPU运算处理。把经过放大后的同一个时间上连续变化的电模拟量进行取样,实际上是使其转换为时间上断续变化(离散化)的模拟量,或者说转换为一串等间隔的脉冲,其幅度取决于输入的模拟量。

图18-15 SDL30系统设计的基本原理

如图18-17所示,Vi是电模拟量,黑柱状的是取样脉冲。在取样脉冲τ时间内,“取样-保持”后的输出电压V0与输入的模拟电压Vi是相等的,在两次取样间隔时间τ′内,V0保持不变,这段时间是供量化和编码用的。由图18-17可见,“取样-保持”后的电压幅度是阶梯状的,其高度是连续可变的,把整量变成离散量时,即完成了量化过程,然后对量化后的量进行编码,形成一串编码形式的信息被CPU处理,计算结果由数字显示器显示。

图18-17 输出电压V0与输入的模拟电压Vi

(2)编码标尺的光学影像原理

如图18-18所示,物镜到CCD的焦距F=280mm,标尺条码中心间距为16mm;标尺到物镜的水平距离为Hd,SP是CCD拾取的标尺条码的影像线性单位(mm),SP的倒数1/SP为频率。由原理可得比例式:

16/Hd=SP/280

图18-18 水平距离Hd计算

经整理得:

显然只要测出SP(单位mm),水平距离Hd(单位m)即可由上式很简单计算出。

由于每个像素为8μm,假设某段距离的标尺条码影像被CCD探测到有300个像素,则SP=300×8(μm)=2.4(mm),Hd=4.48×1/2.4mm=1.867m;如果探测到10个像素的条码影像,那么SP=10×8(μm)=0.08(mm),而这段水平距离Hd=4.48×1/0.08=56(m),可见短距离SP值较大,长距离SP值较小。

(3)数码影像处理

在高程测量时,分划板横丝截取标尺某一段条码,同时CCD探测到分划板横丝区域条码影像。CCD输出的影像信息是一个在像素序号上连续变化的模拟量,A/D(模-数)转换中,以周期为Ts=1/2Fmax的脉冲,对模拟量进行连续性取样,经高阶傅里叶级数变换后,除了保留原有频率成分之外,还产生了许多新的频率成分,经过低通滤波器,恢复原始输入信号频谱,滤除其余频率,在取样周期内的脉冲数即是CCD获取目标点的高程数码信息,量化后输出的是一个数字脉冲串的编码。例如,0、2、1、3、1、0、3(图18-19),这组码(测量信号)与存储在CPU内的标准码(参考信号)进行比较,当确认这组编码所对应的像素序号区域后,然后进行运算。其算法如下:

图18-19 测量信号与标准码进行比较

运算结果是一组相关码,其中数值为0的相关码对应在像素序号为143的条码尺上,与分划板横丝截取条码尺的位置相近其余相关码10,8,14,12则表现为较大的离散性。

而上述两个位置相近的差值被CCD相对于分划横丝约900个像素探测到,经CPU的内插计算可以得出该差值为几个线性单位,又由于标尺条码之间的中心距离为16mm,所以很容易计算出高程H=(143+n)×16(mm)。高程值的惟一性由图18-20给出更直观的表达。纵坐标是CCD像素序号,横坐标是标尺条码的线性单位符号,相关码在坐标系中所对应的点连成一条斜线,平行于横坐标的虚线与斜线相交,交点落在标尺条码的线性单位(143+n)处,这条虚线是分划板横丝截取标尺条码影像在纵坐标的投影,斜线上其余相关码都远离虚线,说明虚线与斜线的相交点即惟一的高程点。

图18-20 高程值的惟一性

3.几何法的DINI12电子水准仪

几何法的DINI12电子水准仪外形如图18-21所示。该法条码标尺上每2cm内的条码构成一个码词,仪器在设计上保证了视距从1.5~100m时都能识别该码词,识别中丝处的码词后,其到标尺底面的粗略高度就可以确定。精确的视线高读数,是由中丝上下各15cm内的码词,通过物像比例精确求得,其视距测量与传统水准仪的视距测量类似。不过标尺截距固定为30cm,而在成像面的CCD上读取该截距的像高,再由物像比例求视距。

图18-21 DINI12电子水准仪

图18-22中Gi为某测量间距的下边界,Gi+1为上边界,它们在CCD行阵上的成像为Bi及Bi+1。它们到中丝的距离分别为bi和bi+1。CCD上像素的宽度是已知的,故这两距离在CCD上所占像素的个数可以由CCD输出的信号得知,因此bi和bi+1可以算出。现在,bi和bi+1是计算视距和视线高的已知数。规定bi和bi+1在中丝之上取正值,在中丝之下取负值。

图18-22 几何法测量原理图

设g为测量间距长(2cm),用第i个测量间距来测量时,设物像比为A,即测量间距与该间距在CCD上成像之比。由图18-22的相似三角形得出:

Ai=g/(bi+1-bi)

于是视线高读数为:

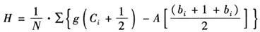
Hi=g(Ci+1/2)-A[(bi+1+bi)/2]

式中 Ci——第i测量间距从标尺底部数起的序号,可由所属码词判读出来;

g(Ci+1/2)——标尺上第i个测量间距的中点到标尺底面的距离;

A[(bi+1+bi)/2]——标尺上第i个测量间距的中点到仪器光轴(即电视准轴)的距离。

为了提高测量精度,DINI系列取n个测量间距平均计算,即取标尺上距中丝上下各15cm的范围。此时物像比如下式:

式中 bN和b0——分别为CCD行阵上30cm测量截距上下边界到中线的距离。

视线高的计算公式为:

根据计算出的物像比,运用视距丝进行视距测量的原理计算视距。所不同的是,此时固定基线在标尺上,而传统视距测量的基线是十字丝分划板上的上下视距丝间距。

随便看

 

离鸟网收录3541549条中英文词条,其功能与新华字典、现代汉语词典、牛津高阶英汉词典等各类中英文词典类似,基本涵盖了全部常用中英文字词句的读音、释义及用法,是语言学习和写作的有利工具。

 

Copyright © 2004-2024 vtrois.com All Rights Reserved
更新时间:2026/4/21 8:20:14