网站首页  词典首页


请输入您要查询的字词:

 

字词 坚固洋红FB
类别 中英文字词句释义及详细解析
释义

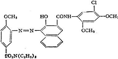
坚固洋红FB


【结构式】:

【释文】:

性质 红色粉末。熔点306℃。耐晒7~8级,耐热130~140℃,耐酸1级,耐碱1~2级,水渗性2~3级,油渗性2级。

用途 本品可作为塑料用着色剂。适用于酚醛树脂、氨基树脂、不饱和聚酯和聚氨酯等。着色力强,耐光性好,耐溶剂性和耐热性略低。

国内生产厂 天津染化六厂

国外商品名

随便看

 

离鸟网收录3541549条中英文词条,其功能与新华字典、现代汉语词典、牛津高阶英汉词典等各类中英文词典类似,基本涵盖了全部常用中英文字词句的读音、释义及用法,是语言学习和写作的有利工具。

 

Copyright © 2004-2024 vtrois.com All Rights Reserved
更新时间:2026/4/20 5:05:34