1.坐标正算
根据已知点的坐标,已知边长及该边的坐标方位角,计算未知点的坐标的方法,称为坐标正算。
如图4-21所示,A为已知点,坐标为XA、YA,已知AB边长为DAB,坐标方位角为αAB,要求B点坐标XB、YB。由图4-21可知:

其中

式中sin和cos的函数值随着α所在象限的不同有正、负之分,因此,坐标增量同样具有正、负号。其符号与α角值的关系见表4-4。
表4-4 坐标增量的正负号

当用计算器进行计算时,可直接显示sin和cos的正、负号。
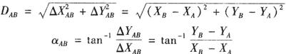
2.坐标反算
根据两个已知点的坐标求算出两点间的边长及其方位角,称为坐标反算。由图4-21可知

注意在用计算器按上式计算坐标方位角时,得到的角值只是象限角,还必须根据坐标增量的正负,按表4-4决定坐标方位角所在象限,再按表4-5将象限角换算为坐标方位角。

图4-21 坐标正、反算
表4-5 坐标方位角与象限角的换算关系
