网站首页  词典首页


请输入您要查询的字词:

 

字词 在图上确定某直线的坐标方位角
类别 中英文字词句释义及详细解析
释义

在图上确定某直线的坐标方位角


1.图解法

此方法是先作出辅助线,然后在图上用量角器直接量取坐标方位角。如图8-3所示,需量出坐标方位角αCD,先过C、D点分别作出纵向坐标线的平行线,再用量角器量出方位角的角值,即正、反坐标方位角。取平均值作为最后结果。

图8-3 求坐标方位角

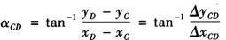
2.解析法

先按图解法求出图上两点的坐标,若两点坐标为C(xC,yC),D(xD,yD),则方位角计算公式为

上式计算出的角值为象限角,再根据△xCD和△yCD的正、负值求得直线CD的坐标方位角。

随便看

 

离鸟网收录3541549条中英文词条,其功能与新华字典、现代汉语词典、牛津高阶英汉词典等各类中英文词典类似,基本涵盖了全部常用中英文字词句的读音、释义及用法,是语言学习和写作的有利工具。

 

Copyright © 2004-2024 vtrois.com All Rights Reserved
更新时间:2026/4/21 5:32:33