网站首页  词典首页


请输入您要查询的字词:

 

字词 在图上确定某点的高程和坐标
类别 中英文字词句释义及详细解析
释义

在图上确定某点的高程和坐标


1.在图上确定某点的高程

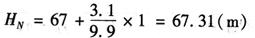
在图上可根据等高线的高程确定某点的坐标。若该点在等高线上,点的高程就等于该等高线上的高程;若该点在两等高线之间,可采用内插法确定该点的高程。如图8-1所示,欲求N点的高程,先通过N点作相邻等高线的近似公垂线bc,量出bN、bc的长度精确至0.1mm,则N点的高程HN用下式计算。

式中 Hb——b点的高程;

h——等高距。

若量出bc=9.9mm,bN=3.1mm,等高距h为1m,Hb=67m,则

当精度要求不高时,也可用目估内插法确定待定点的高程。

图8-1 求点的高程

2.在图上确定某点的坐标

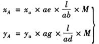
点的坐标是根据地形图上标注的坐标格网的坐标值确定的。如图8-2所示为1∶1000的地形图,现要求出图上A点的坐标(xA,yA)。首先根据A点在图上的位置及周围的坐标网点abcd绘出坐标方格(方格边长为10cm×10cm),过A点作ef平行ad,gh平行ab,然后在图上量取长度ae和ag精确至0.1mm,则A点的坐标为

式中 M——地形图比例尺的分母;xa,ya——a点的坐标值。

图8-2 求点的坐标

若量取ae=30.5mm,ag=72.0mm,又已知xa=10200m,ya=20100m,则A点的坐标为

xA=10200+0.0305×1000=10230.5(m)

yA=20100+0.0720×1000=20172.0(m)

考虑到图纸有伸缩,A点的坐标可按下式计算。

式中 αb,ad——在图中实际量出的长度,精确至0.1mm;

l——坐标方格的边长;

其他符号含义同前。

随便看

 

离鸟网收录3541549条中英文词条,其功能与新华字典、现代汉语词典、牛津高阶英汉词典等各类中英文词典类似,基本涵盖了全部常用中英文字词句的读音、释义及用法,是语言学习和写作的有利工具。

 

Copyright © 2004-2024 vtrois.com All Rights Reserved
更新时间:2026/4/21 2:53:08