网站首页  词典首页


请输入您要查询的字词:

 

字词 土壤微团聚体组成的测定
类别 中英文字词句释义及详细解析
释义

土壤微团聚体组成的测定


1.仪器设备

振荡机:0.25mm孔径洗筛;振荡瓶(容积250ml);其他与土壤颗粒分析吸管法相同。

2.测定步骤 称取通过1mm筛孔的风干土样10g(精确到0.01g)倒入250ml振荡瓶中,加蒸馏水至150ml左右,静置浸泡24h。另称10g样品,用烘干法测定吸湿水。

将盛有样品的振荡瓶用橡皮塞塞紧,放于水平振荡机中并固定,以防振荡过程中容器破裂、样品损失。开动振荡机(每分钟200次),振荡2h。

将筛孔直径为0.25mm的筛子放在漏斗上,而漏斗又放在1000ml的量筒上。把振荡瓶的土壤悬液全部倾倒在筛子上,筛出>0.25mm的微团聚体。并加水使过筛后的土壤悬液至刻度。在过筛时,切忌用带橡皮头的玻璃棒搅拌或擦洗,以免破坏样品的微结构。>0.25mm的微团聚体则洗入铝盒,烘干称重并计算百分数。

将制备好的悬液置于吸管架桌子上(和吸管法一样,需注意置于免受阳光直射,昼夜温差小的地方),测量液温,计算各级微团聚体的吸液时间。

使沉降筒内悬液分布均一的方法和吸管法不同,不用搅拌棒,而是将橡皮塞塞紧沉降筒口,然后将沉降筒上下颠倒1min(上下各约30次),使悬液均匀分布。再按所需的粒级及相应的沉降时间,用吸管吸取各级悬液并移入50ml烧杯中,开启蒸馏水管活塞,用蒸馏水冲洗吸管,使附着于管壁的悬液全部移入50ml小烧杯中。

将盛有悬液的50ml小烧杯放于电热板上,蒸干后放入烘箱(105℃)中烘至恒重,冷却后称重(精确到0.0001g)。

3.结果计算

(1)吸湿水的计算方法,同土壤颗粒分析吸管法,然后再将风干土换算成烘干土重。

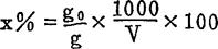
(2)小于某粒径微团聚体含量百分数按下式计算:

式中:x——小于某粒径微团聚体含量百分数(%);

g0——25ml吸液中小于某粒径微团聚体重量(g);

g——样品烘干重(g);

V——吸管容积(25ml)。

(3)<1mm粒径的各级微团聚体百分数的计算,同土壤颗粒分析吸管法,但无需计算盐酸洗失量,也不必扣除分散剂。

4.注意事项

(1)一般认为土壤微团聚体分析过程中称样的数量要因质地而异:粘土为10g,壤土15g;轻壤土20g,砂壤土25g;砂土30g。

(2)盐土和碱土类型样品的微团聚体分析时,不能应用蒸馏水,因为会引起土样的分散,致使测定结果中粉粒和粘粒含量显着偏高。所以,必须用分析样品的水浸提取液代替蒸馏水作为沉降颗粒的介质。分析样品的水浸提取液,一般应用水土比为25∶1为宜。制备方法:在称样时同时称取<1mm的样品40g,倒入1000ml量筒内,加蒸馏水定容到1000ml,用橡皮塞塞紧沉降筒,上下颠倒摇动10min,然后静置24h,上部的透明清液即为所需的水浸液。

随便看

 

离鸟网收录3541549条中英文词条,其功能与新华字典、现代汉语词典、牛津高阶英汉词典等各类中英文词典类似,基本涵盖了全部常用中英文字词句的读音、释义及用法,是语言学习和写作的有利工具。

 

Copyright © 2004-2024 vtrois.com All Rights Reserved
更新时间:2026/4/20 21:52:16