酒精燃烧法
1.适用范围 本法不宜用于有机质含量过多(超过5%)的土壤,在有机质含量不很高的情况下,本法可准确至0.5%或1%水分。
2.试剂配制 灯用酒精。
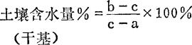
3.测定步骤 用1/10天平先称盛土器皿(一般用铝盒)的重量(a),然后装入新鲜湿土10g(已除去植物根),准确称重(b),加入酒精5-10ml,使充分浸透土壤,用小刀拌匀,点火灼烧,待火将熄时以小刀来回翻拨,助其燃尽后,再加入酒精2-3ml,以同样方法灼烧,烧尽后冷却称重(c)。如果土壤未完全干燥,还可再加酒精作第三次灼烧。
4.结果计算
