网站首页  词典首页


请输入您要查询的字词:

 

字词 圆和椭圆的周长
类别 中英文字词句释义及详细解析
释义

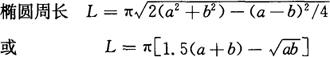
圆和椭圆的周长


圆周长 L=2πR=πD

式中 R——圆半径;D——圆直径。

式中 R——圆半径;a——圆弧所对应的中心角,单位为度。

式中 a——椭圆长轴半径;b—-椭圆短轴半径。

上式为椭圆周长的近似计算公式。也可以利用椭圆圆周率表来计算椭圆的周长。

随便看

 

离鸟网收录3541549条中英文词条,其功能与新华字典、现代汉语词典、牛津高阶英汉词典等各类中英文词典类似,基本涵盖了全部常用中英文字词句的读音、释义及用法,是语言学习和写作的有利工具。

 

Copyright © 2004-2024 vtrois.com All Rights Reserved
更新时间:2026/4/20 10:47:57