网站首页  词典首页


请输入您要查询的字词:

 

字词 固体输送
类别 中英文字词句释义及详细解析
释义

固体输送


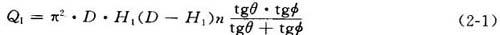
当塑料进入挤出机的螺槽和料筒内壁,塑料立即就被压实形成固体塞(也称为固体床),并以恒定的速度移动。固体塞的移动是受螺杆、料筒表面之间各摩擦力的控制的。如果塑料与螺杆之间摩擦力(Fs)小于塑料与料筒之间的摩擦力(Fb)即Fs<Fb,则塑料沿螺棱方向前进,以其分量沿轴向前进;如果Fs≥Fb,则塑料就随着螺杆转动,不能沿轴向方向前进,也就是说挤出机不出料。塑料成型加工的先驱们以固体摩擦力的静平衡为基础,得出了固体输送速率(QI)的计算式:

式中 QI——固体输送速率(体积);

n——螺杆转速;

D——螺杆直径;

H1——螺杆加料段螺槽深度;

θ——螺杆的螺旋升角;

Φ——固体输送角,它是固体塞移动方向与螺杆轴垂直面的夹角。

由上式可知,固体输送速率不仅与DH1(D-H1)n成正比,而且也与正切函数的集合项成正比。为了提高固体输送速率,使D、H1、n增大是不可取的,因为D增大必然使机器庞大,H1增大有可能使螺杆根部被扭断,n增大有可能引起熔化段能力的下降;只能使增大,从理论上可采取的措施有三:①降低F。,在实际生产中,一方面是提高螺杆表面的光洁度;另一方面,在成型过程中冷却螺杆的加料段,这是塑料加工厂完全能够做到的。②增大Fb,塑料机械厂在制造挤出机时,经常在料筒内开设纵向沟槽。③可采用最佳螺旋升角,而实际中并不这样做。

固体输送段的输送效率取决于树脂对螺杆表面的摩擦性质。一个好的固体输送段,树脂对料筒的摩擦因数应高于树脂对螺杆的摩擦因数。摩擦因数作为表面速度、表面温度和压力的函数可以用专用设备测得,此设备是人所共知的摩擦试验机。为了使固体输送分力最大化,必须仔细选择适于固体输送的螺杆表面和料筒表面(即加料斗附近)的温度,以利于固体输送。所以,固体输送段的恰当设计是无法替代的。

从实验得知,固体输送段最适宜的几何形状通常与螺杆导程有关。最适宜的螺杆设计必须结合螺棱导程的变化。在有些螺杆中,导程并不突然变化,这部分的长度逐渐增加。

随便看

 

离鸟网收录3541549条中英文词条,其功能与新华字典、现代汉语词典、牛津高阶英汉词典等各类中英文词典类似,基本涵盖了全部常用中英文字词句的读音、释义及用法,是语言学习和写作的有利工具。

 

Copyright © 2004-2024 vtrois.com All Rights Reserved
更新时间:2026/4/20 13:25:15