网站首页  词典首页


请输入您要查询的字词:

 

字词 咖啡因
类别 中英文字词句释义及详细解析
释义

咖啡因


化学名:咖啡碱;咖啡因(Caffeine,1,3 F-Trimethyl Xanthine);

别名:茶碱

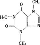
结构式:

分子式:C8H10N4O2

相对分子质量:194.19(无水物),212.21(一水物)

一、咖啡因的鉴别

1.试剂和溶液

1.1 咖啡因。

1.2 盐酸 分析纯。

1.3 氯酸钾 分析纯。

1.4 氢氧化钠 分析纯。

1.5 碘液。

1.6 氨。

2.操作步骤

2.1 取本品约10mg,加盐酸1mL及氯酸钾0.1g,置水浴上蒸干。残渣遇氨气即显紫色,再加氢氧化钠试液数滴,紫色即消失。

2.2 取本品饱和水溶液5mL,加碘试液5滴,不发生沉淀,再加烯盐酸3滴,即发生红棕色沉淀。沉淀在稍过量的氢氧化钠试液中溶解。

二、含量测定

1.试剂和溶液

1.1 咖啡因。

1.2 醋酐-冰醋酸(5∶1)。

1.3 结晶紫指示液。

1.4 0.1mol/L HClO4溶液。

2.测定方法

取本品约0.15g,精密称定,加醋酐-冰醋酸(5∶1)的混合液25mL,微热使溶解,放冷,加结晶紫指示液1滴,用0.1mol/LHClO4滴定液滴定,至溶液显黄色,并将滴定的结果用空白试验校正。每1mL的高氯酸滴定液(0.1mol/L)相当于19.42mg的C8H10N4O2

随便看

 

离鸟网收录3541549条中英文词条,其功能与新华字典、现代汉语词典、牛津高阶英汉词典等各类中英文词典类似,基本涵盖了全部常用中英文字词句的读音、释义及用法,是语言学习和写作的有利工具。

 

Copyright © 2004-2024 vtrois.com All Rights Reserved
更新时间:2026/4/20 17:29:07