网站首页  词典首页


请输入您要查询的字词:

 

字词 含水量的测定(烘干法)
类别 中英文字词句释义及详细解析
释义

含水量的测定(烘干法)


1.方法原理

常用的新鲜果蔬含水量的测定,是将称重后的果蔬置于烘箱中烘去水分,其失重为水分重。在烘干过程中,果蔬中的结合水,在100℃以下不易烘干,若在105℃以上,样品中一些有机物质(如脂肪)易氧化使干重增加,而果蔬中的糖分(尤其是果糖)在100℃左右则易分解,也可使测定产生误差。故烘干温度先为60~70℃,至接近全干时再改用100~105℃进行干燥。若采用真空干燥法则能加快水分的去除,又因干燥温度较低,可大大减少氧化的影响,故可以得到更准确的结果。

2.仪器与试剂

(1)仪器。烘箱或真空干燥箱、分析天平、称量瓶、干燥器等。

(2)试剂。氯化钙、变色硅胶。

3.操作步骤

(1)常压干燥法。取分析样品,果实可除去果核,蔬菜可除去非食用部分,切碎,混匀待用。取称量瓶,烘箱中以100~105℃烘干(至恒重),置干燥器中冷却,然后精确称重。将称量瓶放入烘箱中,先在60~70℃烘2~3h至样品变脆,再以100~105℃烘2h,取出放入有吸湿剂变色硅胶或干燥氯化钙的干燥器中,冷却后称重。再一次继续烘0.5~1h,冷却称重,直至2次质量差不超过0.002g为止。

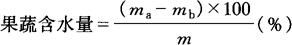
结果计算:

式中 ma——干燥前样品重+称量瓶重,g

mb——干燥后样品重+称量瓶重,g

m——样品鲜质量,g

(2)真空干燥法。在已知重的称量瓶内取样品5~10g,置于真空干燥箱中,将真空干燥箱温度调至60~70℃,真空度调至8.0×104Pa,加热干燥样品至恒重。根据上式计算样品含水量。

随便看

 

离鸟网收录3541549条中英文词条,其功能与新华字典、现代汉语词典、牛津高阶英汉词典等各类中英文词典类似,基本涵盖了全部常用中英文字词句的读音、释义及用法,是语言学习和写作的有利工具。

 

Copyright © 2004-2024 vtrois.com All Rights Reserved
更新时间:2026/4/20 8:00:58