网站首页  词典首页


请输入您要查询的字词:

 

字词 合成香料
类别 中英文字词句释义及详细解析
释义

合成香料


(一)烃类

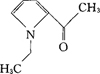
1.月桂烯(Myrcene)

其他名称:7-甲基-3-亚甲基-1,6-辛二烯(7-Methyl-3-methylene-1,6-octadiene)、香叶烯。

分子式:C10H16 相对分子质量:136.23

结构式:

(1)理化性质:油状液体。

b.p. 65~66℃/2666Pa,166~168℃ RI 1.4650

0.8013

(2)溶解度:不溶于水,溶于乙醇、氯仿和乙醚。

(3)天然存在:存在于黄栌(Rhus cotinus)叶和柔布枯(Barosma Venustum)叶的蒸溜液中(分别为52%和43%),还存在于枫茅、柏木,蒿类、橙子及柠檬中,此外在香脂云杉(Picea balsamea)、加拿大铁杉(Tsuga canadensis)、香脂冷杉(Abies balsamea)、香紫苏等等的油中也存在。

(4)感官特征:具有令人愉快的香气。

(5)应用:在软饮料、糖果、烘烤食品香精中应用,也用于烟用香精中。

(6)安全管理:NI;FDA121.116;FEMA2762。

2.β-石竹烯(β-Caryophyllene)

分子式:C15H24 相对分子质量:204.34

结构式:

(1)理化性质:无色油状液体。

b.p. 254~257℃ RI 1.5004~1.5027

0.909~0.910 OP -220

(2)溶解度:不溶于水,溶于乙醇。能与天然精油、合成香料互溶。

(3)天然存在:在自然界有三种异构体(即α-,β-和γ-石竹烯)。β-异构体最常见,含量也最丰富。这种倍半萜烯烃天然存在于60多种植物精油中,主要是在丁香茎油中(石竹烯最早是从丁子香酚中分离出来的)。

(4)感官特征:有似丁香油的辛香和木香,味干而略苦。

(5)应用:香精中用作辛香的修饰剂。在烟草中应用能改进和提调烟香的自然风味。石竹烯和环氧化石竹烯具有香味增效的性能。

(6)安全管理:NI;FEMA2252;FDA121.1164;COE2618;国食I1394。

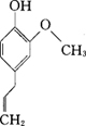
3.1,8-桉叶素(1,8-Cineole)

其他名称:1,8-环氧-p-烷(1,8-Epoxy-p-menthane)

分子式:C10H18O 相对分子质量:154.24

结构式:

(1)理化性质:无色易流动液体。

b.p. 176~177℃ f.p. 47~48℃

0.9245 m.p. 0~1℃

RI 1.4574

(2)溶解度:几乎不溶于水,能溶于乙醇、乙醚以及大多数有机溶剂。

(3)天然存在:桉叶素的名称来自它所存在的精油,即兰桉(Eucalyptus globulus)和白千层(Melalecua leucadendron L.)的精油。它最初从盐蒿的精油中得到,后来在许多其他精油中也发现其存在,如:迷迭香、月桂叶、香紫苏、小豆蔻,八角茴香、樟脑、薰衣草、薄荷等。

(4)感官特征:特有的樟脑样的气味,凉爽的、辣的刺激味。

(5)应用:用在烟草中能抑制苦辣刺激性,用于薄荷型卷烟香精中产生凉味的头香。

(6)安全管理:NL;FDA172.515;FEMA2465;COE182;国食I1397。

(二)醇类

1.异戊醇(lsoamyl alcohol)

其他名称:异丁基甲醇(lsobutyl carbinol,lsopentyl alcohol),3-甲基-1-丁醇(3-Methyl1-butanol)。

(1)理化性质:无色油状液体。

0.825~0.830; 0.8280,l-体: 0.8327

RI 1.4084 m.p. -117.2℃

f.p. 45.5℃ b.p. 132℃

(2)溶解度:在水中能溶2.7%(室温),与乙醇及大多数有机溶剂混溶。

(3)天然存在:异戊醇是杂醇油的主要组成部分。以酯结合的形式存在于罗马春黄菊油和几种精油的组分中,如法国薄荷、爪哇香茅油、杏仁桉等。

(4)感官特征:有令入窒息的尖刺气息,稀释后有酒香和果香口味。

(5)应用:在烟用香精中用来调制酒香和果香的头香,使烟气吸味柔和。阈限值为4mg/kg。

(6)安全管理:NI;FDA121.1164;FEMA2057;COE51;国食I1006。

2.2-己烯-1-醇(2-Hexen-1-ol)

其他名称:α,β-己烯醇(α,β-Hexenol),叶醇(Leaf alcohol),反式-2-己烯醇(trans2-Hexenol)。

分子式:C6H12O 相对分子质量:100.16

(1)理化性质:无色透明液体。

b.p. 61℃/1600Pa,155℃ RI 1.4410

d 0.8508

(2)溶解度:难溶于水,溶于乙醇和丙二醇。

(3)天然存在:存在于新鲜覆盆子的香味成分中,也存在于巴伦西亚橘子和苹果的香味成分中。

(4)感官特征:具有强烈的水果香、青香和酒样、青叶样的气味;甜的、显着的草莓和橘子汁的风味。留香不持久。

(5)应用:在烟用香精中修饰果香花香香韵的新鲜头香,掩盖烟草的粗杂气息,增进烟气的自然清香风味和薄荷烟的清凉感。

(6)安全管理:NI,FDA172.515,FEMA2562,COE69,国食I1009。

3.3-己烯-1-醇(3-Hexen-1-ol)

其他名称:顺式-3-己烯醇(cis-3-Hexenol),β,γ-己烯醇(β,γ-Hexenol),m-β-己烯醇(m-β-Hexenol),叶醇(Leaf alcohol)。

分子式:C6H12O 相对分子质量:100.16

(1)理化性质:无色油状液体。

b.p, 156~157℃/1200Pa RI 1.4803

0.8508 f.p. 75℃

(2)溶解度:微溶于水,溶于乙醇及大部分有机溶剂。

(3)天然存在:存在于绿茶、亚洲薄荷、紫罗兰叶、大花茉莉等香花、草叶精油和草莓、圆柚、葡萄汁、药草和水果等香味成分中。

(4)感官特征:新鲜草叶的强力青香、新茶叶和苹果等水果清香,扩散性强,味平和。

(5)应用:在卷烟中能给出满意的自然新鲜烟香,掩盖粗劣杂气。也可用于卷烟滤嘴或包装纸上,叶醇能够透过包装纸和铝箔挥发外溢。

(6)安全管理:NI,FDA172.515,FEMA2563,COE750,国食I1010,标P.203。

4.四氢芳樟醇(Tetrahydrolinalool)

其他名称:3,7-二甲基-3-辛醇(3,7-Dimethyl-3-ol)

分子式:C10H22O 相对分子质量:158.29

结构式:

(1)理化性质:无色油状液体。

b.p. 87~88℃/1333Pa 0.825~0.830,,l-体:

RI 1.4320~1.4360 f.p.~84℃

OP [α]D±1°,l-体:[α]D-0.78°

(2)溶解度:难溶于水,溶于乙醇、乙醚和其他有机溶剂,以1∶2溶于70%乙醇。

(3)感官特征:甜香油香的花香香气(比芳樟醇优美),柑橘味道。

(4)应用:可用于食品和烟用香精中,与烟香谐调,吸味柔和。

(5)安全管理:FDA121.1164;FEMA3060。

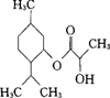
5.香茅醇(Citronellol)

其他名称:d-香茅醇(d-Citronellol),3,7-二甲基-6-辛烯-1-醇(3,7-Dimethyl-6-octen1-ol)。

分子式:C10H20O 相对分子质量:156.26

结构式:

(1)理化性质:无色液体。

b.p. l-体:~103℃/666Pa;d-体:105~105.5/2000Pa

0.850~0.860 f.p. 102℃

RI 1.4540~1.4620

酯含量 <1%(以乙酸香茅醇计)

醛含量 <1%(以香茅醛计)

(2)溶解度:极微量溶于水,溶于大多数有机溶剂,以1∶2溶于70%乙醇。

(3)天然存在:1-香茅醇天然存在于蔷薇科植物中,d-和dl-香茅醇存在于马鞭草科、唇形科和芸香科等植物中。

(4)感官特征:玫瑰样的蜜甜香。香气平和,留香力一般。香茅醇香气不及玫瑰醇(其左旋异构体)浓甜,而多些青气。味微苦。

(5)应用:在烟用香精中用来调制温甜花香香韵,与烟香谐调,增进浓郁感,改善烟气吃味。

香茅醇有α位、β位及右旋、左旋、消旋之分。通常说的香茅醇是指以β乙位为主的右旋或消旋体。

(6)安全管理:FDA186.60;FEMA2057;国食I1031。

6.玫瑰醇(Rhodinol)

其他名称:1-香茅醇(1-citronellol),3,7-二甲基-7-辛烯-1-醇(3,7-Dimethyl-7-octen1ol)。

分子式:C10H20O 相对分子质量:156.26

结构式:商品玫瑰醇的结构式还有争议。通常指左旋乙位香茅醇。

(1)理化性质:无色液体。

b.p. 225~230℃ f.p. >100℃

0.860~0.880 OP -4°~-9°

RI 1.4630~1.4730 酯含量 <1%(以乙酸玫瑰酯计)

(2)溶解度:不溶于水,溶于大多数有机溶剂,以1∶1.2溶于70%乙醇中,以1∶1.5溶于60%乙醇中。

(3)天然存在:存在于香叶油中。

(4)感官特征:醇甜温和的红攻瑰香气。

(5)应用:是烟用香精中调制玫瑰花香韵的重要香料,能使烟香浓馥,产生津润丰满的口味。

(6)安全管理:NI,FDA172.515,FEMA2980,COE76,国食I1037,标P.250。

7.芳樟醇(Linallol)

其他名称:3,7-二甲基-1,6-辛二烯-3-醇(3,7-Dimethyl-1,6-octdien-3-ol)。

分子式:C10H18O 相对分子质量:154.24

结构式:

(1)理化性质:无色液体。下列数据为合成品dl-芳樟醇的数据。天然物按其来源的不同,其性能数据也有所不同。

b.p. 198℃ f.p. 78℃

d 0.858~0.862 皂化值 <1.5

RI 1.4600~1.4630

(2)溶解度:不溶于水,以1∶4溶于60%乙醇。

(3)天然存在:芳樟醇的右旋体、左旋体及外消旋体存在于200多种植物的草茎、叶、花和木等提取的油中。其l-体存在量最大(约占80%~85%)。

(4)感官特征:具有典型的花香香气,清新飘逸的香气,有淡弱的柑橘类果香韵调,柔和透发,留香不甚持久。

(5)应用:可用于食品和烟用香精中,能增加花香、清香,提调辛香韵味,与烟香谐调,修饰和矫正自然风味,吸味柔和。

(6)安全管理:NI,FDA182.20,FEMA2635,COE61,国食I1033。

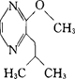
8.香叶醇(Geraniol)

其他名称:2-反-3,7-二甲基-2,6-辛二烯-1-醇(2-trans-3,7-dimethyl-2,6-Octadien-1-o1),牻牛儿醇。

分子式:C10H18O 相对分子质量:154.24

结构式:

(1)理化性质:不同生产方法得到的产品,根据其香叶醇总含量的不同而有不同的理化性质数值。

b.p. 110~111℃/1333Pa OP

0.870~0.885, 0.8793 酯含量 <1%(以醋酸香叶酯计)

RI 1.4690~1.4780 醛含量 <1%(以香茅醛计)

f.p. 106℃

(2)溶解度:几乎不溶于水,以1∶2溶于70%乙醇,溶于大多数普通有机溶剂。

(3)天然存在:天然含有香叶醇的植物精油有160种。如:枫茅、斯里兰卡和爪哇香茅、晚香玉、鸢尾、黄兰,依兰依兰、肉豆蔻衣、黄樟等。

(4)感官特征:有玫瑰似的香气。留香较长,稍苦。

(5)应用:用于烟用香精中,调制温甜花香香韵,与烟香谐调,增进浓郁感,改善烟气吃味。具有柔和滋润的口感。

(6)安全管理:NI,FDA182.60,FEMA2507,COE60,国食I1031。

9.橙花醇(Nerol)

其他名称:2-顺-3,7-二甲基-2,6-辛二烯-1-醇(2-cis-3,7-dimethyl-2,6-octadien-1-ol),反式的是香叶醇。

分子式:C10H18O 相对分子质量:154.24

结构式:

(1)理化性质:无色液体。

b.p. 225~226℃/1333Pa RI 1.475~1.478

0.8771~0.8788, 0.8327 f.p. 92℃

(2)溶解度:以1∶6溶于50%乙醇,与乙醇和丙二醇混溶。

(3)天然存在:橙花醇与香叶醇一起存在于成化橙花油中,还存在于枫茅、斯里兰卡香茅、依兰依兰、黄兰、玫瑰木和香柠檬等植物的精油中。

(4)感官特征:新鲜清甜的橙花和玫瑰的花香,带些果香,有似覆盆子的果香韵味,味甜有轻微的苦味,留香不长。

(5)应用:在烟用香精中用来调制花香的头香和体香,增进烟草的芳香和清甜香韵,缓和烟气的重浊感。

(6)安全管理:NI,FDA172.515,FEMA2770,COE2018,国食I1035。

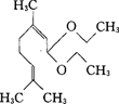
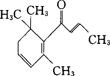
10.橙花叔醇(Nerolidol)

其他名称:3,7,11-三甲基-1,6,10-十二碳三烯-3-醇(3,7,11-Trimethyl-1,6,10-dodecatrien-3-ol)。

分子式:C15H26O 相对分子质量:222.36

结构式:

(1)理化性质:无色至草黄色液体。

b.p. 89~100℃/40Pa,145℃/1600Pa f.p. 110℃

0.870~0.880, 0.8788 OP +11°~+14°(合成产品无旋光性)

RI 1.4789~1.4830 酯含量 <0.5%(以乙酸橙花叔橙酯计)

(2)溶解度:以1∶4溶于70%乙醇。

(3)天然存在:天然存在的来源有25种以上。含有橙花叔醇的精油有橙花、依兰依兰、秘鲁香脂等。

(4)感官特征:近似于玫瑰和苹果的微弱的花香,非常甜美的、清鲜的、持久的香气。

(5)应用:用在烟草中增添蜜甜、花香、果香的香韵,改善烟气吃味。

(6)安全管理:NI,FDA182.20,FEMA2772,COE136,国食I1036,标P.246。

11.金合欢醇(Farnesol)

其他名称:法呢醇,2,6,10-三甲基-2,6,10-十二碳三烯-12-醇(2,6,10-Trimethy1-2,6,10-dodecatrien-1-o1),3,7,11-三甲基-2,6,10-十二碳三烯-1-醇(3,7,11-Trimethy1-2,6,10-dodecatrien-1-ol)。

分子式:C15H26O 相对分子质量:222.36

结构式:

(1)理化性质:无色液体。性质方面的数值因其来源和制备方法的不同而略有不同。

b.p. 131~132℃/1333Pa(来自橙叶)

124~125℃/293.3Pa(来自吐鲁香脂)

118~120℃/266.6Pa(来自卡鲁瓦——一种巴西檀木)

118~120℃/266.6Pa(来自香叶基丙酮)

0.887~0.889(从橙叶得到的为0.8880,从吐鲁香脂得到的为,从卡鲁瓦得到的为0.8886,从香叶基丙酮得到的为0.8886)

RI 1.4891(来自橙叶) 1.4894(来自卡鲁瓦)

1.4892(来自吐鲁香脂) 1.48906(来自香叶基丙酮)

(2)溶解度:几乎不溶于水,溶于大多数有机溶剂,以1∶3溶于70%乙醇。

(3)天然存在:据报道已发现有30多种精油含有这种萜烯醇,如枫茅、卡南加、卡鲁瓦、黄葵子、依兰依兰、金合欢、秘鲁香脂、玫瑰草、晚香玉等。

(4)感官特征:温和新鲜青香,有似铃兰的花香,味甜。

(5)应用:金合欢醇是烟草中的香味成分,能使香味丰满,提高品质,缓和烟气的刺激,吸味柔和津润。

(6)安全管理:NI,FDA172.515,FEMA2478,COE78,国食I1039。

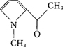
12.乙偶姻(Acetoin)

其他名称:乙酰甲基甲醇(Acetyl methyl carbinol),2,3-丁醇酮(2,3-Butanolone),二甲基乙酮醇(Dimethylketol),3-羟基-2-丁酮(3-Hydroxyl-2-butanone),γ-羟基-β-氧代丁烷(γ-Hydroxy-β-oxobutane)。

分子式:C4H8O2 相对分子质量:88.10

(1)理化性质:淡黄色液体,长期放置能形成二聚体,受热熔化还可以恢复为单体。

b.p. 148℃ m.p. 15℃

0.9972 OP (纯物质)

RI 1.419 (水溶液)

(2)溶解度:与水混溶,溶于乙醇,微溶于乙醚。

(3)天然存在:存在于谷物、酒、醋(从葡萄或其他原料制)、蜂蜜、可可、黄油以及烘烤过的咖啡中,在红醋栗及草莓的芳香成分中也可检出。

(4)感官特征:具有令人愉快的强烈奶油、奶酪香气。

(5)应用:用于修饰卷烟的坚果、焦糖香气,改进烟气吸味。

(6)安全管理:NI;FDA182.60;FEMA2008;COE749;国食I1133。

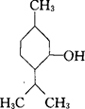
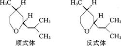
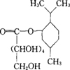
13.薄荷醇(Menthol)

其他名称:1-薄荷醇(1-Menthol)、六氯百里香酚(Hexahydrothymol),p-烷-3-醇(3-P-Menthanol),1-甲基-4-异丙基环己-3-醇(l-Methyl-4-isopropylcyclohexan-3-ol)。

分子式:C10H20O 相对分子质量:156.27

结构式:

(1)理化性质:结晶体或粒状体。

m.p. l-体:42~43℃ 0.904, 0.9007, 0.8911

b.p. l-体:216.5℃,111℃/2666.6Pa

RI 1.461; 1.460; 1.4580; 1.4461

f.p. ~84℃ OP [α]D -50°(在乙醇中)

(2)溶解度:微溶于水,易溶于乙醇、氯仿、乙醚、石油醚、冰醋酸和液体石蜡。

(3)天然存在:存在于薄荷和其他薄荷类的油中。

(4)感官特征:薄荷样的气味,轻清扩散,透发而不持久。

(5)应用:少量用于烟草能抑制刺激,掩盖杂气,大量用于生产凉味型薄荷烟。

(6)安全管理:NI;FDA172.515;FEMA2665;国食21(天然薄荷脑)GB-3862-38;标P.226。

14.α-松油醇(α-Terpineol)

其他名称:p--1-烯-8-醇(p-Menth-1-en-8-ol),1-甲基-4-异丙基-1-环己烯-8-醇(1-Methyl-4-isopropyl-cyclohexen-8ol)。

分子式:C10H18O 相对分子质量:154.24

结构式:

(1)理化性质:无色液体,常温下粘稠;纯的α-体为白色结晶粉末。

成分测定:市售松油醇为α-体和β-体的混合物,有时还掺杂一点γ-体及其他醇类。

优级商品α-体中含有约3%~5%的β-体。

m.p. l-体:37~38℃,d-体:40~41℃,dl-体:35℃

b.p. 214~224℃,d-体:115~116℃/3333Pa

l-体:219~221℃,dl-体:218~219℃

0.930~0.936,d-体: 0.940

RI 1.4825~1.4850,d-体: 1.48322

dl-体: 1.48131

OP [α]D -0°10′~+0°10′

d-体:[α]D+95°9′,l-体:[α]D -106°

(2)溶解度:难溶于水,以1∶8或大于1∶8的比例溶于50%乙醇中,能溶于丙二醇。

(3)天然存在:松油醇存在于150多种植物的叶、花、草茎中。d-,l-和dl-体都有天然存在。d-体通常存在于松科植物精油中,也存在于小豆蔻,八角茴香、甘牛至、香紫苏、橙花等精油中。l-体存在于冬香薄荷、杂薰衣草、白干层、白柠檬、肉桂叶等的油中。dl体存在于白千层、兰桉中。

(4)感官特征:青香似海桐花气息和紫丁香、铃兰的鲜幽香气。稀释后有桃似的甜味。

(5)应用:松油醇是用途广且适应性较强的香料,能与烟草的香味谐调,和合果香与辛香,改善烟气的新鲜风味。

(6)安全管理:NI;FDA121.1164;FEMA3045;COE62;国食I1038,标P.264。

15.龙脑(Borneol)

其他名称:冰片醇,2-莰醇

分子式:C10H18O 相对分子质量:154.24

结构式:

(1)理化性质:无色片状固体。

m.p. 202℃(dl-体) 1.011

b.p. 212℃ OP +37°44′

f.p. 150℃

(2)溶解度:不溶于水,溶于乙醇、氯仿和乙醚中。

(3)天然存在:龙脑以游离态或酯化结合态广泛存在于250多种植物中,这些植物有:菊科、石南科、樟科、唇形科、芸香料等。

(4)感官特征:有樟脑样的清凉和胡椒样刺鼻香气,透发而扩散;味凉并有胡椒样的燎灼,微带木香味。

(5)应用:在烟草中修饰辛香和坚果香韵,可减轻烟气的刺激性,增加自然感。

(6)安全管理:NI,FEMA2157,FDA172.515,COE64,国食I1030。

16.柏木油醇(Cedarwood oil alcohol)

其他名称:柏木脑(Cedarwood camphor)、柏木醇(Cedrenol,Cedrol)。

分子式:C15H26O 相对分子质量:222.36

结构式:

(1)理化性质:白色结晶体。

m.p. 86℃ d 0.98

(2)溶解度:溶于苯甲酸苄酯,微溶于甘油和矿物油。

(3)天然存在:柏木油醇存在于几种松柏属、部分柏木属和雪松属树木中,如大西洋雪松(Cedrus atlantica)、意大利柏、铅笔柏等。

(4)感官特征:温和的柏木香,香气淡弱但留香长,带些甲基紫罗兰酮的底韵。

(5)应用:在烟草香精中应用,增强烟草的木香特征香韵,掩盖杂气,与烟香谐调。

(6)安全管理:NI,FDA121.1164,标P.160。

17.苄醇(Benzyl alcohol)

其他名称:羟基甲苯(α-Hydroxy toluene),苯甲醇(Phenyl carbinol)。

分子式:C7H8O 相对分子质量:108.13

结构式:

(1)理化性质:无色液体。

m.p. -15.3℃ 1.04927, 1.041~1.046

b.p. 202.5~206.5℃ RI 1.5385~1.5405, 1.54529

(2)溶解度:以1∶25溶于水中,溶于大多数有机溶剂,以1∶8~9溶于30%乙醇,以1∶1.5溶于50%乙醇。

(3)天然存在:游离的苄醇常存在于以下几种精油及浸膏中,如茉莉、烟草、茶、橙花、咕吧、金合欢、依兰依兰、鸢尾等。

(4)感官特征:特有的令人愉快的水果香气,微带辛辣的甜味。当其陈化后,香型转变为相似于苯甲醛的气息。

(5)应用:可用于烟用香精中。

(6)安全管理:NI,FDA121.164,FEMA2136。

18.大茴香醇(Anisyl alcohol).

其他名称:p-甲氧基苯甲醇(p-Methoxybenzyl alcohol)。

分子式:C8H10O2 相对分子质量:138.16

结构式:

(1)理化性质:无色至淡黄色液体。

m.p. 25~27℃ RI 1.5420~1.5450

b.p. 259℃,145℃/2400Pa 酸值 <1.0

1.110~1.115 醛含量 <1.0%

(2)溶解度;以1∶1溶于50%乙醇,以1∶13溶于30%乙醇,溶于大多数有机溶剂。

(3)天然存在:存在于塔希提岛(Tahitian)所产的香子兰豆荚中和茴香子油中。

(4)感官特征:花香香气,甜的水果味道。柔和的膏香果香底韵,香气平和而润厚。

(5)应用:用于烟用香精中,增添甜香味。调和豆香、膏香、烤香的香韵格调,改善烟气吸味。

(6)安全管理:NI,FEMA2099;FDA172.515;COE66;国食I1025。

19.苯乙醇(Phenyl ethanol)

其他名称:苯基甲醇(Phenyl carbinol),2-苯基乙醇(2-Phenylethanol),β-苯乙醇(β-Phenylethyl alcohol)。

分子式:C8H10O 相对分子质量:122.17

结构式.

(1)理化性质:无色粘稠液体。

m.p. -25.8℃ 1.107~1.020, 1.0242

b.p. 220~222℃ RI 1.5310~1.5340

(2)溶解度:可溶于水(约以1∶60的比例),以1∶2溶于50%乙醇,以1∶1溶于60%乙醇,溶于大多数常用有机溶剂。

(3)天然存在:苯乙醇以游离态或酯化结合态存在于某些天然产物中,如玫瑰浸膏、玫瑰净油(含苯乙醇60%或60%以上)等;也存在于橙花、依兰依兰、水仙、风信子、茶叶等的精油中。

(4)感官特征:清甜柔和的玫瑰花和蜂蜜样香气,留香不甚持久;味似蜜甜玫瑰,清香爽口。

(5)应用:广泛用于各类香精中,也用于烟用香精,可用作头香、体香,能与各种香料配合。增加卷烟香味的圆熟和津润感。

(6)安全管理:NI,FEMA2858,FDA121.1164,COE68,国食I1023。

20.香紫苏醇(Sclareol)

分子式:C20H36O2 相对分子质量:308.51

结构式:

(1)理化性质:白色结晶。

m.p. 105~106℃ OP -11°(在苯中)

b.p. >340℃

(2)溶解度:溶于95%乙醇及油类,不溶于水。

(3)天然存在:存在于香紫苏花叶和东方烟草中。

(4)感官特征:极微弱的琥珀香、柏木香,纯度较高时几乎无气息,留香持久。

(5)应用:在香精中主要应用它的定香作用。加在烟草制品中用作香味前驱体,能改善烟草品质。

(6)安全管理:未见可作食用的报道,认为可以外用。

21.α,α-二甲基苯乙醇(α,α-Dimethylphenyl alcohol)

其他名称:苄基二甲基甲醇(Benzyl dimethyl carbinol、Dimethyl benzylcarbinol),1,1-二甲基-2-苯乙醇(1,1-Dimethy1-2-phenylethanol),2-甲基-1-苯基-2-丙醇(2-Methy1-1-Pheny1-2-propanol)。

分子式:C10H14O 相对分子质量:150.22

结构式:

(1)理化性质:低熔点的白色结晶固体,能以过冷的白色油收液体存在。

m.p. 24℃ ] 0.972~0.977, 0.9790

b.p. 108℃/1466.5Pa RI 1.5140~1.5170, 1.5174

f.p. 92℃ 酸值 <1.0

(2)溶解度:以1∶3溶于50%乙醇,以1∶2溶于60%乙醇。

(3)感官特征:柔和清甜的花香,有些药草香和玫瑰花绿萼香气,香气强烈而持久,味微苦。

(4)应用:能与花香型香气谐调,增强烟草的自然清香,修饰花香和果香香韵。

(5)安全管理:FEMA2393,FDA121.1164,COE84,国食I1004;标P.178。

22.肉桂醇(Cinnamyl alcohol)

其他名称:γ-苯基丙烯基醇(γ-Phenylallyl alcohol)、3-苯基-2-丙烯-1-醇(3-Pbenyl2-propen-1-ol)、苯乙烯基甲醇(Styryl carbinol)。

分子式:C9H10O 相对分子质量:134.17

结构式:

(1)理化性质:无色至浅黄色固体。

m.p. 33℃ RI 1.5819

b.p. 257.5℃ 醛含量 <1.5%(以肉桂醛计)

d 1.0440

(2)溶解度:稍溶于水,以1∶2溶于60%乙醇中,溶于大多数有机溶剂。

(3)天然存在:肉桂醇以其酯或游离状态存在于某些天然产物中,如肉桂叶、风信子、铁线莲状马兜铃、戟叶黄胶树等。

(4)感官特征:温和膏甜香气,有风信子花、苏合香和桂皮气息,带些玫瑰花香,温和持久,香味甜美。

(5)应用:在烟草香精中供调配辛香、坚果香,丰满烟香,改进吸味。

(6)安全管理:NI,FEMA2294;FDA172.515;COE65,国食I1029T,标P.161。

(三)醚类

1.降龙涎香醚(Ambrox)

其他名称:1,5,5,9-四甲基-13-氧杂三环[8,3,0,04,9]十三烷。

分子式:C16H28O 相对分子质量:236.4

结构式:

(1)理化性质:白色结晶

m.p. 76℃ f.p. 161℃

b.p. 120℃/133.3Pa

(2)溶解度:以1∶10溶于95%的乙醇中。

(3)感官特征:优美的芳香,留香持久。它的显香特点为:在温度较低时,仅能闻到微弱的龙涎香样的柔和气息,只有在较高温度时,才能显示出龙涎香的馥郁佳香。

(4)应用:在烟用香精中用能与烟草特征的木香谐调和合,并可掩盖杂气,即使微量使用,也可改善卷烟的香味品质,尤其适合于混合型卷烟加香,增强东方型烟草的风味。

(5)安全管理:FEMA3471。

2.大茴香醚(Anethole)

其他名称:p-甲氧基丙烯基苯(p-Methxy propenylbenzene),p-丙烯基苯甲醚(pPropenyl anisole),异草蒿脑(lsoestragole)。

分子式:C10H12O 相对分子质量:148.20

结构式:

(1)理化特性:白色结晶固体,在室温下能熔化。

m.p. 20~30℃ RI 1.558~1.561

0.983~0.987

含顺式脑3.6%的m.p.为20℃,b.p.为234~237℃。

(2)溶解度:微溶于水,与乙醇能互溶。在丙二醇与甘油中能溶,但比在乙醇中稍差。

(3)天然存在:存在于各种茴香精油和其他一些精油中。

(4)感官特征:有茴香的特征香气,味非常甜,带些药草气。

(5)应用:可用于烟用香精中作辛香的配料和烟草的甜味剂。

(6)安全管理:NI,FEMA2086;FDA182.60;COE183。

3.p-甲基茴香醚(p-Methylanisole)

其他名称:p-甲酚甲醚(p-Cresyl methylether),p-甲氧基甲苯(p-Methoxytoluene),甲基-p-甲苯基醚(Methylp-cresol)。

分子式:C8H10O 相对分子质量:122.17

结构式:

(1)理化性质:无色液体。

b.p. 175~176℃ RI 1.5100~1.5130

0.966~0.970 f.p. 60℃

甲酚含量 <0.5%

(2)溶解度:以1∶3溶于80%乙醇,以1∶7溶于70%乙醇,溶于大多数有机溶剂。不溶于甘油和丙二醇。

(3)天然存在:存在于依兰依兰油、卡南加油等植物精油中。

(4)感官特征:浓时为刺鼻的粗浊气,稀释后有依兰依兰和风信子样花香,更淡时则带些青香果香,香气强烈但留香不长,味苦有黑茶的回味。

(5)应用:在烟用香精中用以提调烟香,增添东方烟草的风格。

(6)安全管理:NI,FEMA2681,FDA121.1164COE,国食I1046,标P.229。

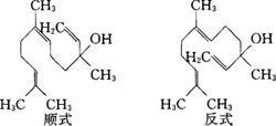
4.玫瑰醚(Rose oxide)

分子式:C10H16O 相对分子质量:152.23

结构式:玫瑰醚有顺式和反式两种异构体,每一种又有左旋和右旋立体异构体。

(1)理化性质:无色至淡黄色液体。

d 0.871~0.877 f.p. 68℃

RI 1.4540~1.4590 b.p. 182℃,70℃/1600Pa

(2)溶解度:溶于9体积60%乙醇及油类,极微溶于水。

(3)天然存在:其顺式或反式的左旋体存在于保加利亚玫瑰油和留尼汪香叶油中。

(4)感官特征:扩散力很强的青甜花香,但不留长,顺式香气较好,稀释后像香叶、玫瑰的特征气息。左旋异构体香气较右旋者甜,但有稍多青气。左旋的温辛气稍重,或带药草香。

(5)应用:主要用于调制玫瑰型香精或配制香叶油。可用在食用及烟用香精中。

(6)安全管理:NI,FEMA3236;COE2269。

5.朗姆醚(Rum ether)

其他名称:Ethyl oxyhydrate

分子式:乙醇氧化和水化形成的混合物。

(1)理化性质:朗姆醚由至少99%的水及乙醇、乙酸乙酯、甲醇、甲酸甲酯、丙酮、乙醛和甲醛等组成。在温度不超过100℃和常压下,应能全部蒸出,蒸发后不留任何残渣。其中甲醇和甲醛加起来含量不应超过1.5%,酯值不低于25。

b.p. 65~87℃(精馏物)

(2)感官特征:具有朗姆酒的酯香,有醚一样的穿透性,有酒类的凉味和灼舌感。

(3)应用:常用于调制朗姆酒的重要原料。朗姆酒是传统处理烟草的添加剂,在烟用香精中用以增强头香的酒香风味和陪衬果香香韵。提高烟香,改进烟气吸味。

(4)安全管理:FEMA2996,FDA172.515。

6.糠基甲基醚(Furfuryl methyl ether)

分子式:C6H8O2 相对分子质量:112.14

结构式:

(1)理化性质:

b.p. 134~135℃,108~109℃/1.0×105Pa

1.0163, 1.046

RI 1.4570

(2)溶解度:不溶于水,溶于乙醇,极易溶于乙醚。

(3)天然存在:糠基甲基醚是烘焙过的咖啡的一种组分。

(4)应用:应用于烟草香精中,增强烘烤香,改善吃味。

(5)安全管理:NI,FEMA3159。

7.2,5-二乙基四氢呋喃(2,5-Diethyltetrahydrofuran)

分子式:C8H16O 相对分子质量:128.21

结构式:

(1)理化性质:无色液体。

b.p. ~116℃

(2)溶解度:微溶于水,溶于乙醇和丙二醇。

(3)天然存在:存在于薄荷中。

(4)感官特征:具有好闻的药香,焦糖香香气。

(5)应用:在烟草制品中修饰薄荷风味。

(6)安全管理:NI,FDA121.1164。

8.2-乙基呋喃(2-Ethylfuran)

分子式:C6H8O 相对分子质量:96.13

结构式:

(1)理化性质:无色液体。

b.p. 93℃

(2)溶解度:几乎不溶于水,溶于乙醇。

(3)天然存在:存在于番茄、咖啡和胡椒薄荷中。

(4)感官特征:强烈的焦香,稀释后有浓厚的焦甜香气,有咖啡的风味。

(5)应用:在烟草中能增强烟香和甜味,并能改善卷烟的吸味。

(6)安全管理:NI。

(四)酚类

1.对-甲基苯酚(p-Methyl phenol)

其他名称:p-甲酚(p-Cresol),4-甲酚(4-Cresol),p-羟基甲苯(p-Hydroxy toluene)。

分子式:C7H8O 相对分子质量:108.13

结构式:

(1)理化性质:低熔点结晶固体。

m.p. 35~36℃ 1.004

b.p. 201~202℃ RI 1.5395

(2)溶解度:微溶于水,溶于碱溶液和大多数有机溶剂。

(3)天然存在:存在于金合欢、依兰依兰油(可能是以p-甲酚醋酸酯的形式存在)、茉莉净油、柑橘叶油,八角茴香油以及某些海藻中。

(4)感官特征:有苯酚样的强烈气息,烟草酚香特征的组成成分。

(5)应用:在烟用香精中用以增补烟香中需要的酚类香气,使制品有圆熟丰满的感觉。

(6)安全管理:NI,FEMA2337,FDA121.1164,COE619。

2.愈创木酚(Guaiacol)

其他名称:ο-羟基茴香醚(ο-Hydroxyanisole),ο-甲氧基苯酚(ο-Methoxyphenol),儿茶酚甲醚(Methyl catechol)、焦儿茶酚单甲醚(Pyrocatechol monomethyl ether)。

分子式:C7H8O2 相对分子质量:124.14

结构式.

(1)理化性质:黄白色易熔晶体或液体,受光照射时颜色逐渐变深。

m.p. 27.9℃ d4 1.1395,d4 1.112(液体)

b.p. 205℃,107℃/3200Pa RI 1.5341

(2)感官特征:特有的甜香香气,略带药香;烟草酚香特征的香气;味稍甜,有药味。

(3)天然存在:存在于愈创树脂蒸馏产物中。愈创木酚还存在于海狸香油中,存在于露兜树花精油、橙叶蒸馏液、夏云香精油、芹菜子油以及烟草精油中。

(4)应用:可用于烟用香精中,增浓烟草特色的酚香气息,修饰烟用香精的果香和辛香香韵,提高香味格调。

(5)安全管理:NI,FEMA2532,FDA121.1164。

3.4-乙基愈创木酚(4-Ethyl guaiacol)

其他名称:4-乙基-2-甲氧基苯酚(4-Ethyl-2-methoxyphenol)

分子式:C9H12O2 相对分子质量:152.19

结构式:

(1)理化性质:油状液体,遇冷会凝固。

b.p. 229~230℃ m.p. 11℃

(2)感官特征:带烟熏气的酚香。

(3)天然存在:在樟脑油中可检测出;还存在于吐鲁香脂和秘鲁香脂以及各种木材的蒸馏液中。

(4)应用:用于烟草中添补烟熏气的不足,赋予东方烟草的风味。

(5)安全管理:NI,FEMA2436,FDA172.515,COE176。

4.丁香酚(Eugenol)

其他名称:4-烯丙基愈创木酚(4-Allyl guaiacol);4-烯丙基-2-甲氧基苯酚(4-Allyl-2-methyl methoxyphenol);1-羟基-2-甲氧基-4-烯丙基苯(1-Hydroxy-2-methoxy-4-allyl benzene)。

分子式:C10H12O2 相对分子质量:164.21

结构式:

(1)理化性质:无色至浅黄色液体,暴露于空气中近渐变深色。

b.p. 253℃,121℃/1333.3Pa OP -1°30′

1.053~1.064, 1.0664 f.p. ~104℃

RI 1.5380~1.5420, 1.5416

(2)溶解度:几乎不溶于水,以1∶2溶于60%乙醇,溶于大多数有机溶剂。

(3)天然存在:存在于丁子香油、月桂和肉桂叶油中。丁香酚含量较多的有零陵香(含70%)和丁香罗勒(含60%),也存在于紫罗兰花的油中(含21%),在某些植物中丁香酚常以糖苷的形式而存在。

(4)感官特征:有强烈的丁香样辛香,较干而生硬,有灼舌的温辛味。

(5)应用:在烟用香精中代替丁香油使用,调配辛香,修饰体香,调和豆香风味。

(6)安全管理:NI,FEMA2467,FDA184.1257,COE171,国食I1049。

5.异丁香酚(lsoeugenol)

其他名称:1-羟基-2-甲氧基-4-丙烯基苯(1-Hydroxy-2-methoxy-4-propenylbenzene),2-甲氧基-4-丙烯基苯酚(2-Methoxy-4-propenylphenol),4-丙烯基愈创木酚(4-Propenyl guaiacol)。

分子式:C10H12O2 相对分子质量:164.21

结构式:

(1)理化性质:无色或淡黄色粘稠液体。

1.079~1.085 b.p. 266~267℃

RI 1.5720~1.5770 f.p. 100℃

m.p. 14~18℃

(2)溶解度:以1∶5溶于50%乙醇,以1∶1溶于70%乙醇中。溶于丙二醇,不溶于水和甘油。

(3)天然存在:存在于依兰依兰和肉豆蔻的精油中;也存在于黄兰花油,以及普丘奈克坦木种子油中。

(4)感官特征:温和辛甜花香,浓而非常持久。有甜的丁香香味。

(5)应用:在烟用香精中,用来调和花香、果香、辛香风味,改进烟草的自然清香和浓郁的香味。

(6)安全管理:NI,FEMA2468,FDA121.1164,COE172,国食I1050T,标P.215。

6.麦芽酚(Maltol)

其他名称:3-羟基-2-甲基-1,4-吡喃酮(3-Hydroxy-2-methyl-1,4-Pyraone),3-羟基-2-甲基-4H-吡喃-4-酮(3-Hydroxy-2-methyl-4H-pyran-4-one),3-羟基-2-甲基-4-吡喃酮(3-Hydroxy-2-methyl-4-pyrone),2-甲基焦炔糠酸(2-Methyl pyromeconic acid)。

分子式:C6H6O3 相对分子质量:126.11

结构式:

(1)理化性质:白色结晶

m.p. 159~162℃

能随水蒸气挥发,在93℃升华

(2)溶解度:以1.2%溶于水,溶于乙醇和氯仿,微溶于苯、乙醚和石油醚;溶于NaOH中时产生CO2;以1.2%溶于甘油,以2.8%溶于丙二醇。

(3)天然存在:麦芽酚天然存在于幼落叶松、针叶松、菊苣等的树皮中,以及木焦油和木油中,还存在于焙炒的麦芽中。

(4)感官特征:浓烈的焦甜香和果香,稀释溶液有似菠萝和草莓样果香,丙二醇溶液偏重草莓果香特征;苯乙醇溶液则呈膏香并带果香底韵。有菠萝和草莓等果酱香味,焦糖甜香的回味。

(5)应用:具有甜味香味的增效作用,能与烟草香味谐调,提调豆香、果香和可可的韵味,使烟气柔和醇厚。

(6)安全管理:NI,FEMA2656,FDA121.1164,COE148,国食I1052。

7.乙基麦芽酚(Ethyl maltol)

其他名称:3-羟基-2-乙基-1,4-吡喃酮(3-Hydrixoy-2-ethyl-1,4-Pyraone),3-羟基-2-乙基-4H-吡喃-4-酮(3-Hydroxy-2-ethyl-4H-pyran-4-one),2-乙基焦炔糠酸(2-Ethyl pyromeconic acid)。

分子式:C7H8O3 相对分子质量:140.14

结构式:

(1)理化性质:白色结晶粉末。

m.p. 89~93℃

(2)溶解度:15℃时65mL水可溶1g;25℃时5mL水可溶1g。在乙醇中可溶12%,在苯乙醇中溶5%,在丙二醇中溶5.5%。能缓慢地溶于甘油中。5mL氯仿能溶1g,10mL苯甲醇能溶1g。

(3)感官特征:在烤麦芽和焦糖的甜香,类似麦芽酚的特征香,但香气不及麦芽酚的完美,留香非常持久。香气强度比麦芽酚强4~6倍。

(4)应用:广泛用于食用香精和食品中。在烟草中能增强可可、坚果、焦糖、香荚兰、浆果的风味,与烟香谐调,抑制刺激性,改善烟香吸味。

(5)安全管理:FEMA3437,FDA172.515,COE692,国食A3001。

8.百里香酚(Thymol)

其他名称:3-p-伞花醇(3-p-Cymenol),3-羟基-p-伞花烃(3-Hydroxy-p-cymene),p异丙基-m-甲酚(p-lsopropyl-m-cresol),1-甲基-3-羟基-4-异丙基苯(1-Methyl-3-hydroxy 4-isopropylbenzene)、3-甲基-6-异丙基苯酚(3-Methyl-6-isopropylphenol),m-百里香酚(m-Thymol),百里香脑、麝香草酚。

分子式:C10H14O 相对分子质量:150.22

结构式:

(1)理化性质:白色结晶

d4 0.972~0.979 m.p. 48~51℃

RI 1.523 b.p. 233℃

(2)溶解度:极微量溶于水(0.1%)和甘油,溶于乙醇、冰醋酸和多种有机溶剂。

(3)天然存在:存在于细斑香烽草、多花牛至、绿罗勒、丁香罗勒等的精油中,特别是在百里香属中,如百里香、头状百里香、野百里香等。

(4)感官特征:强有力的凉甜,并带有苦草药的酚样香气,留香尚持久。

(5)应用:可用于食品香精和烟用香精中。

(6)安全管理:NI,FEMA3066,FDA172.515,COE174。

(五)醛类

1.异丁醛(lsobutyraldehyde)

其他名称:2-甲基丙醛(2-Methyl propanoal)

分子式:C4H8O 相对分子质量:72.10

(1)理化性质:无色液体。

b.p. 61~64℃,63.5℃/1.0×105Pa RI 1.3738

d 0.7904

(2)溶解度:1∶10溶于水(与水形成共沸混合物),易与乙醇混合。

(3)天然存在:存在于苹果和红醋栗的香味成分中,以及烟叶和茶叶的精油中;也存在于酸橙叶和曼陀罗花的精油中。

(4)感官特征:有一股特殊的气味。

(5)应用:异丁醛是烟草自身所含的香味物质,在烟用香精中可根据烟叶的需要适量增补。

(6)安全管理:NI,FDA121.1164,FEMA2220,COE92。

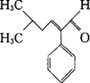
2.异戊醛(lsovaleraldehyde)

其他名称:3-甲基丁醛(3-Methylbutyl aldehyde)

分子式:C5H10O 相对分子质量:86.14

(1)理化性质:无色液体。

b.p. 92.5℃

d 0.7977

RI 1.3902

(2)溶解度:溶于水、乙醇、丙二醇和油类溶剂中。

(3)天然存在:在杂醇油和酒类香气成分中都有存在。

(4)感官特征:强烈的辛辣刺激性气味,浓度极低时具有浓重药草的、微带水果和坚果样的香气。

(5)应用:在烟草加香中用来提调透发烟香,修饰可可、焦糖、坚果和辛香风味。

(6)安全管理:NI,FEMA2692,FDA172.1164,COE94。

3.月桂醛(Lauric aldeyhde)

其他名称:正十二醛(AldehydeC-12)。

分子式:C12H24O 相对分子质量:184.32

结构式:CH3-(CH2)10-CHO

(1)理化性质:无色至黄色液体。

m.p. 11℃(最低8℃) 0.826~0.836; 0.8352

b.p. 237℃;99.5~100℃/4666.3Pa RI 1.4330~1.4390; 1.4328

f.p. 82℃(119℃) 酸值 <10

(2)溶解度:不溶于水,能溶于乙醇和大多数有机溶剂,以1∶2溶于80%乙醇;以1∶0.5溶于90%的乙醇。

(3)天然存在:存在于柠檬、甜橙,酸橙、柑橘、墨西哥白柠檬和苦橙叶等的精油中,还存在于松节油中。

(4)感官特征:特殊的脂肪气息,稀释后有近似紫罗兰的香味,脂肪的和木质的味道。

(5)应用:在食品香精和烟用香精中应用。

(6)安全管理:NI,FDA121.1164,FEMA2615。

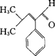
4.2-异丙基-5-甲基-2-己烯醛(2-lsopropyl-5-methyl-2-hexenal)

分子式:C10H18O 相对分子质量:154.24

结构式:

(1)理化性质:淡黄色液体。

b.p. 76~78℃ f.p. 60℃

(2)溶解度:溶于乙醇和丙二醇。

(3)天然存在:存在于可可粉、花生和榛子的香味成分中。

(4)感官特征:有浓郁的可可粉香和味。

(5)应用:在烟草中加强可可和巧克力的风味,有可可脂的丰满口感,增强混合型卷烟的香味特征。

(6)安全管理:NI,FEMA3406,国食I1084T。

5.鸢尾醛(lris aldehyde)

其他名称:3-己基丙烯醛(3-Hexylacrolein),2-壬烯醛(2-Nonenal),庚叉乙醛(Heptylidene acetaldehyde)。

分子式:C9H16O 相对分子质量:140.23

结构式:CH3-(CH2)5-CH=CH-CHO

(1)理化性质:几乎无色或浅草黄色油状液体,暴露于空气中时易氧化为壬酸。

0.8418

RI 1.4502

(2)溶解度:不溶于水,溶于乙醇和油类。

(3)天然存在:存在于鸢尾油中。

(4)感官特征:浓度高时具有十分强烈的尖刺脂肪气息,浓度低时具有鸢尾样的令人十分愉快的香气,还有近似于干橙皮的气味。

(5)应用:多用于食品用香精中,在烟用香精中用能增强烟草的芳香,改善烟气吸味。

(6)安全管理:NI,FEMA3213。

6.香茅醛(Citronellal)

其他名称:3,7-二甲基-6-辛烯醛(3,7-Dimethyl-6-octenal),玫瑰醛(右旋体)[Rhodinal(dextrorotatory form)]。

分子式:C10H18O 相对分子质量:154.24

结构式:

(1)理化性质:无色至浅黄色液体。

b.p. d体:69~71℃/666.6Pa 0.850~0.860

l体:88℃/2000Pa RI 1.4460~1.4560

dl体:106~108℃/2000Pa OP -1°~+11°

f.p. 77℃ 酸值 <3.0

(2)溶解度:不溶于水,以1∶5溶于70%乙醇,溶于大多数有机溶剂。

(3)天然存在:右旋香茅醛存在于香茅、柠檬桉、柠檬澳洲茶树和柠檬岗松等的油中。左旋香茅醛存在于柠檬巴毫、柠檬桉、山苍子和枫茅等的油中。

(4)感官特征:强烈的柠檬、香茅、玫瑰样的香气,微带木香。

(5)应用:在食品用香精及烟用香精中应用。

(6)安全管理:NI,FDA121.1164,FEMA2307。

7.柠檬醛(Citral)或橙花醛(Neral)

其他名称:香叶醛:2-反式-3,7-二甲基-2,6-辛二烯-1-醛(Geranial:2-trans-3,7-dimethyl-2,6-octadien-1-al),橙花醛:2-顺式-3,7-二甲基-2,6-辛二烯-1-醛(Neral:2-cis3,7-2,6-dimethyl-octadien-1-al)。

分子式:C10H16O 相对分子质量:152.23

结构式:

(1)理化性质:易流动苍黄色液体。

b.p. 103~104℃/1600Pa(从柠檬得到) f.p. 92℃

106~107℃/1600Pa(从枫茅得到) 0.885~0.891

R1 1.4860~1.4900 酸值 <5.0

(2)溶解度:以1∶7溶于60%乙醇,几乎不溶于水,溶于大多数有机溶剂。

(3)天然存在:市售商品是α-柠檬醛和β-柠檬醛两种几何异构体的混合物,各自由于双键位置不同而又分为顺式和反式两种异构体。在枫茅油、蜿蜒香茅中含70%以上。在山苍子中约含90%,山鸡椒中含70%,柠香乌药中含65%,柠檬巴毫中含95%~97%。在柠檬、白柠檬及酸柠檬叶中也都有存在。

(4)感官特征:强烈的柠檬样的香气。

(5)应用:多用于食品香精,在烟用香精中也适量使用。

(6)安全管理:NI,FDA,GRS,FEMA2303。

8.β-环高柠檬醛(β-Homocyclocitral)

其他名称:1-(2,6,6-三甲基-1-环己烯基)-乙醛[1-(2,6,6-Trimethyl-1-cyclohexenyl)acetaldehyde]。

分子式:C11H18O 相对分子质量:166.25

结构式:

(1)理化性质:无色至浅黄色液体。

b.p. 58~59℃/53.33Pa

(2)溶解度:溶于乙醇、丙二醇和油中。

(3)感官特征:有花香、果香和红浆果香气,带有似紫罗兰酮的香气,与β-大马酮相配合,有蔬菜、玫瑰花、茶叶和木香的味觉。

(4)应用:在烟用香精中有增强烟香的效果,具有烟草样的甜润味,带有木香的性质。

(5)安全管理:NI,FEMA3474,国食A3012T。

9.苯甲醛(Benzaldehyde)

其他名称:Benzenecarbonal,Benzoic aldehyde。

分子式:C7H6O 相对分子质量:106.12

结构式:

(1)理化性质:无色液体。

m.p. -26℃ 1.0500; 1.041~1.046

b.p. 179℃ RI 1.5450(1.5440~1.5465)

f.p. 62℃ 阈值 1.5mg/kg

(2)溶解度:与乙醇及乙醚相混溶,以1∶1~1∶1.5溶于70%乙醇,以1∶2.5溶于60%乙醇;1∶3溶于50%乙醇;以1∶300溶于水中。

(3)天然存在:苯甲醛以扁桃苷的形式存在于苦杏仁、桃子、杏仁和其他李属果实中。游离的苯甲醛存在于风信子、香茅、鸢尾、肉桂、黄樟、岩蔷薇和广藿香等精油中,也发现于烟草的香味组分中。

(4)感官特征:有苦杏仁的特殊香气。

(5)应用:常用于各种果香型食品香精中。在烟用香精中用来调制果香、仁香、豆香、辛香、坚果香以及酒香等香韵,能与烟草香味谐调,增强烟草香气的自然风味。

(6)安全管理:NI,FEMA2127,FDA172.515,COE66,国食I1113T。

10.枯茗醛(Cuminaldehyde)

其他名称:时萝醛,对-异丙基苯甲醛(Cumaldehyde,Cuminal,Cuminc aldehyde,plsopropyl benzaldehyde)。

分子式:C10H12O 相对分子质量:148.20

结构式:

(1)理化性质:无色至浅黄色液体。

b.p. 232℃ RI 1.5290~1.5340

0.976~0.980; 0.9818

(2)溶解度:不溶于水,以1∶4溶于70%乙醇,溶于大多数有机溶剂中。

(3)天然存在:在许多精油中都有存在,如枯茗、金合欢、肉桂、苦橙、墨西哥白柠檬、兰桉、芸香、博路都树等等。

(4)感官特征:强烈、尖刺不愉快的欧莳萝子油的特征香气,味苦甜。

(5)应用:在香精中一般用来作修饰剂。可用于烟用香精中提调烟叶特有的香气,使烟香更为丰美自然。

(6)安全管理:NI,FEMA2341,FDA172.515,COE111,国食I1129。

11.苯乙醛(Phenylacetaldehyde)

其他名称:1-氧代-2-苯乙烷,苄基甲醛,Hyacinthin,1-oxo-2-Phenylethane,2-Toluic aldehyde,2-Tolualdehyde,2-Tolyl aldehyde。

分子式:C8H8O 相对分子质量:120.14

结构式:

(1)理化性质:无色至微黄色油状液体,在陈化过程中逐渐变稠。

m.p. 33~34℃ d 1.025~1.035

b.p. 193~194℃ RI 1.5240~1.5320

f.p. 68℃ 酸值 <5.0

(2)溶解度:不溶于水,以1∶2溶于80%乙醇中,可溶于大多数有机溶剂。

(3)天然存在:在数种天然精油的成分中已检出苯乙醛的存在,如橙花、甜橙叶、水仙、木兰、百合、玫瑰、茶叶等。

(4)感官特征:低浓度时具有粗糙的青香香气,近似风信子香气,香气不持久,有甜水果风味,高浓度时味苦。

(5)应用:在烟用香精中应用能增强烟香,加重杏仁香风味。

(6)安全管理:NI,FEMA2874,FDA121.1164,C()E672,国食I116T,标P.251。

12.香兰素(Vanillin)

其他名称:4-羟基-3-甲氧基苯甲醛(4-Hydroxy-3-methoxybenzaldehyde),原儿茶醛甲醚(Methyl protocatechuic aldehyde),原儿茶醛-3-甲基醚(Protocatechualdehyde-3-methylether)。

分子式:C8H8O3 相对分子质量:152.14

结构式:

(1)理化性质:白色至浅黄色晶状粉末。

m.p. 81~83℃(加热时升华) 砷化物(按砷计) <3mg/kg

b.p. 284~285℃ 重金属(按铬计) <10mg/kg

d 1.06(液态时) 阈值 0.4mg/kg

灼烧残渣 <0.05%

(2)溶解度:以1∶3溶于70%乙醇,以1∶2溶于95%乙醇,溶于乙醚、氯仿和热石油醚中,溶于丙二醇。

(3)天然存在:香兰素广泛存在于自然界,如爪哇香茅(Cymbopogon nardus Rendl)精油、安息香、秘鲁香脂、丁子香芽油中。主要存在于香子兰豆荚中。

(4)感官特征:浓而甜的香荚兰豆特征气味,香气持久。

(5)应用:是用途最为广泛的食用香料,与烟草香味非常谐调,赋予烟草丰满柔和的风味,也用以修饰可可、坚果、脂香等的香韵。

(6)安全管理:NI,FEMA3107,FDA182.60,COE107,国食I122。

13.乙基香兰素(Ethyl vanillin)

其他名称:3-乙氧基-4-羟基苯甲醛(3-Ethoxy-4-hydroxybenzaldehyde)。

分子式:C9H10O3

相对分子质量:166.17

结构式:

(1)理化性质:白色晶状粉末。

m.p. 77~78℃ 阈值 2mg/kg

b.p. 285℃

(2)溶解度:微溶于水(在50℃时,溶解1.3%),溶于乙醇、乙醚、甘油和氯仿,3mL或3mL以上95%乙醇能溶解1g乙基香兰素。

(3)感官特征:有明显的似香荚兰豆的浓甜香,轻微的乳脂香,稍干,留香持久。温甜的奶香,强度比香兰素大2~4倍。香气各有特色。

(4)应用:在烟草中为调制香草、可可、坚果、焦糖香味的重要香料。用量不易过大,因会产生令人厌恶的气味。

(5)安全管理:FEMA2464,FDA182.60,COE108,国食A3010T。

14.大茴香醛(Anisic aldehyde)

其他名称:对-甲氧基苯甲醛(p-Methoxybenzaldehyde),对-茴香醛(p-Anisaldehyde)。

分子式:C8H8O2 相对分子质量:136.15

结构式:

(1)理化性质:无色至微黄色液体。

m.p. 2.5℃ 1.119~1.123; 1.123

b.p. 247℃ RI 1.5710~1.5740

f.p. 121℃ 酸值 <6

(2)溶解度:以1∶7溶于50%乙醇,溶于大多数有机溶剂,在丙二醇和甘油中溶解度较差。

(3)天然存在:存在于香子兰,金合欢,柳叶玉兰,欧石南,洋梨,印乳香,茴香,小茴香,八角茴香等植物的精油和提取物中。

(4)感官特征:有似山楂花气息,甜而略有干草香,甜似茴香辛香味。

(5)应用:在烟用香精中,用以调配辛香、坚果香和甜香。是焦糖、可可的修饰剂。能改善烟气的辛甜吃味。一般用量为30~40mg/kg。

(6)安全管理:NI,FEMA2670,FDA121.1164,COE103,国食I1126T;标P.144。

15.肉桂醛(Cinnamaldehyde)

其他名称:桂醛(Cinnamal),β-苯基丙烯醛(β-Phenylacrolein),3-苯基丙烯醛(3-Phenylpropenal)。

分子式:C9H8O 相对分子质量:132.15

结构式:

(1)理化性质:黄色液体。

m.p. -7.5℃ 1.046~1.052; 1.050~1.058

b.p. 252℃ RI 1.6190~1.6230

f.p. 120℃ 酸值 <5

(2)溶解度:几乎不溶于水,以1∶5溶于60%乙醇,以1∶25溶于50%乙醇,以1∶2.5溶于70%乙醇。

(3)天然存在:存在于斯里兰卡和马达加斯加肉桂叶、斯里兰卡、塞舌尔和日本牡桂的树皮、风信子、没药、保加利亚玫瑰、广藿香等精油中。

(4)感官特征:肉桂皮油的特征香,温甜膏香,略带花果香气,留香持久,有桂皮、香荚兰、可可的脂甜香味。

(5)应用:烟草中用于调配辛香,修饰果香、豆香、巧克力等风味,增添烟香的浓甜感。

(6)安全管理:NI,FEMA2286,FDA182.60COE162,国食I1119,标P.162。

16.洋茉莉醛(Heliotropine)

其他名称:胡椒醛(Piperonal),3,4-亚甲二氧基苯甲醛(3,4-Methylen-dioxybenzaldehyde),原儿茶醛亚甲醚(Protocatechualdehyde methylene ether)。

分子式:C8H6O3 相对分子质量:150.14

结构式:

(1)理化性质:白色有光泽的结晶,暴露在空气中或受光照射,则渐变黄色。

m.p. 37℃ b.p. 263℃;140℃/2000Pa

(2)溶解度:1g可溶于4mL70%乙醇中;在冷水中溶解度为0.2%;微溶于丙二醇。

(3)天然存在:存在于刺槐花和胡花耳刺芹的精油中,也存在于榆绣线菊和箭药橙木叶子的油中。

(4)感官特征:具有香水草(洋茉莉)花香特征,味甜而稍显辛香气,香气持久,味甜似糖果,稍有辛甜花香感觉。

(5)应用:在混合型卷烟中能改善烟气吸味,但用量要适当控制,否则会产生花粉气。

(6)安全管理:NI,FEMA2911,FDA181.60,COE104,国食I1125T,标P.202。

17.3-甲基-2-苯基-2-己烯醛(5-Methyl-2-phenyl-2-hexenal)

其他名称:Cocal(1.F.F公司的商品名)

可卡醛(原轻工业部香料研究所制品名)

分子式:C13H16O 相对分子质量:188.13

结构式:

(1)理化性质:无色至浅黄色液体。

b.p. 118~125℃/400Pa RI 1.534

d 0.975

(2)溶解度:不溶于水,溶于乙醇和丙二醇。

(3)天然存在:存在于焙烤过的可可、花生、榛子的香味成分中。

(4)感官特征:花香、玫瑰和青香气,巧克力和可可黄油风味。

(5)应用:在烟草中加强可可和巧克力的风味,修饰烟气的坚果香和烘烤香。

(6)安全管理:NI,FEMA3199,国食I1083T。

18.4-甲基-2-苯基-2-戊烯醛(4-Methyl-2-phenyl-2-pentenal)

分子式:C12H14O 相对分子质量:174.23

结构式:

(1)理化性质:无色液体。

b.p. 82~87℃/93.33Pa

(2)溶解度:溶于乙醇和丙二醇。

(3)感官特征:具有可可香味,甜的坚果似榛子和香荚兰豆香。

(4)应用:用以增强烟草的可可和巧克力的特征香味,与烟香和合谐调,丰富烟草的坚果和香荚兰风味。

(5)安全管理:FEMA3200,国食I1078。

(六)缩醛类

1.乙醛二乙醇缩醛(Acetaldehyde diethyl acetal)

其他名称:1,1-二乙氧基乙烷(1,1-Diethoxyethane),乙缩醛(Acetal)。

分子式:C6H14O2 相对分子质量:118.18

(1)理化性质:无色易流动可燃性液体,长期放置易聚合。

b.p. 97~112℃;20℃/2666.6Pa RI 1.3805

0.826~0.830

(2)溶解度:微溶于水,与乙醇及乙醚完全混溶,可溶于各种脂肪醇和其他溶剂。

(3)天然存在:存在于某些酒中如日本米酒、威士忌等,在朗姆酒中也可检出。

(4)感官特征:有令人愉快的香气,坚果样的味道。

(5)应用:在烟用香精中用来调制酒香和水果头香,能提调烟草香味。

(6)安全管理:NI,FEMA2002;FDA172.515,COE35,国食I1065。

2.乙醛丙醇苯乙醇缩醛(Acetaldehyde propyl phenethyl acetal)

其他名称:1-苯乙氧基-1-丙氧基乙烷(1-Phenoxy-1-propoxyethane)

分子式:C13H20O2 相对分子质量:208.30

结构式:

(1)理化性质:无色稳定液体。

f.p. 95℃ RI 1.4770~1.4820

0.944~0.950

(2)溶解度:以1∶7溶于70%乙醇中,以1∶2溶于80%乙醇中。

(3)感官特征:强烈的青叶气息。

(4)应用:在烟草中改善浓烈的泥土气息,增加烟叶的清香新鲜感。

(5)安全管理:FEMA2004,FDA121.1164,COE511。

3.苯甲醛丙三醇缩醛(Benzaldehyde glyceryl acetal)

其他名称:2-苯基-5-羟基-1,3-二氧杂环己烷(2-Pheny1-5-hydroxy-1,3-dioxan)

分子式:C10H12O3 相对分子质量:180.21

结构式:

(1)理化性质:α、α′体为固体,α、β体为油状液体。

m.p. α、α′(顺式)体:63.5~64.5℃ d α、β体: 1.1916

α、α′(反式)体:83~84℃ RI α、β体: 1.5389

b.p. α、α′体:185℃/2666.6Pa

α、β体:143~144℃/266.67Pa

(2)溶解度:α、β体在室温下溶于石油醚与苯的混合物中,α、α′体在室温下微溶于石油醚与苯的混合物中。

(3)感官特征:淡弱的苦杏仁香味。加在卷烟中燃吸时热分解转化为苯甲醛的杏甜风味。

(4)应用:苯甲醛是烟草香味物的组成部分,使用缩醛可弥补烟草处理过程中苯甲醛的散失,还可调整卷烟的烟香及风格。

(5)安全管理:FEMA2129,FDA121.1164,COE36。

4.柠檬二乙缩醛(Citral diethyl acetal)

其他名称:1,1-二乙氧基-3,7-二甲基-2,6-辛二烯(1,1-Diethoxy-3,7-dinethyl-2,6-octadiene),3,7-二甲基-2,6-辛二烯醛二乙醇缩醛(3,7-Dimethyl-2,6-Octadienal diethyl acetal)。

分子式:C14H26O2 相对分子质量:226.36

结构式:

(1)理化性质:无色液体。

f.p. 79℃ 0.8745~0.8790

b.p. 230℃ RI 1.4520~1.4545

含醛量(以柠檬醛计)<11%

(2)溶解度:几乎不溶于水,溶于乙醇和丙二醇。

(3)感官特征:有柑橘的清香、橘皮味。

(4)应用:在烟草中增强果香清甜感,改善烟气的吸味,适当与辛香、膏香结合,风格更为突出。

(5)安全管理:FEMA2304,FDA121.1164,COE38

5.苯乙醛二甲醇缩醛(Phenylactaldehyde dimethylacetal)

其他名称:1,1-二甲氧基-2-苯基乙烷(1,1-Dimethoxy-2-phenylethane)。

分子式:C10H14O2 相对分子质量:166.22

结构式:

(1)理化性质:无色液体。

f.p. 88℃ RI 1.4930~1.4960

b.p. 221℃ 酸值 <1

1.000~1.006 游离醛含量(以苯乙醛计) <3.0%

(2)溶解度:不溶于水,以1∶2~1∶10溶于70%乙醇。

(3)天然存在:存在于保加利亚烟草中。

(4)感官特征:似风信子花的浓烈青香,带有苦杏仁香的底韵。稀释后味青而甜,略有辛辣风味。

(5)应用:在烟用香精中修饰花香香料,增强杏仁香,烘托可可的风味,给烟草以清新的生气。

(6)安全管理:NI,FEMA2876,FDA121.1164,COE40,国食I117,标P.252。

(七)酮类

1.丙酮(Acetone)

其他名称:2-丙酮(2-Propanone),二甲基酮(Dimethyl ketone),β-酮基丙烷(β-Ketopropane)。

分子式:C3H6O 相对分子质量:58.08

(1)理化性质:无色易流动易燃烧液体。

m.p. -95.35℃ 0.788; 0.8186

b.p. 57℃ RI 1.3588

f.p. -20℃

(2)溶解度:以任意比例溶于水,溶于乙醇、乙醚、苯和氯仿。

(3)天然存在:存在于苹果、梨、葡萄、菠萝、草莓、覆盆子、番茄、黑醋栗、柑橘、洋葱和马铃薯等中。

(4)感官特征:特有的芳香,苦的底韵。略带甜味的刺激感。

(5)应用:能调和烟香,使之飘逸。谐调烟香增进烟味的津甜感,改进烟草制品的吸味。

(6)安全管理:NI,FEMA3326,FDA173.210,COE737。

2.2,3-丁二酮(2,3-Butanedione)

其他名称:二乙酰(Diacetyl),双乙酰(Biacetyl),二甲基乙二醛(Dimethylglyoxal),23-二酮代丁烷(2,3-Diketobutane)。

分子式:C4H6O2 相对分子质量:86.09

(1)理化性质:黄色至浅绿色易流动液体。

m.p. -3~4℃ 0.9734

b.p. 87~88℃ RI 1.3933

(2)溶解度:以1∶4溶于水,溶于乙醇、甲醇和大多数有机溶剂。

(3)天然存在:存在于一些植物的油中,如芬兰松、当归、薰衣草等,还存在于奶油、啤酒中。

(4)感官特征:非常强烈的奶油样香气,稀释后有黄油风味,浓时具有氯醌样的气味。

(5)应用:在烟用香精中可加强烤香、果香、坚果香等风味,使烟气的吸味柔润。

(6)安全管理:NI,FEMA2370,FDA184.1278,COE752。

3.6-甲基-5-庚烯-2-酮(6-Methyl-5-hepten-2-one)和6-甲基-6-庚烯-2-酮(6-Methyl6-hepten-2-one)

其他名称:2-甲基庚烯酮(2-Methylheptenone),2-甲基-2-庚烯-6-酮(2-Methyl-2-hepten-6-one),甲基己烯基酮(Methyl hexenyl ketone)。

分子式:C8H14O 相对分子质量:126.19

(1)理化性质:无色至浅黄色液体。

m.p. -67.1℃ 0.8602; 0.846~0.854

b.p. 173.1~174℃ RI 1.4380~1.4420

(2)溶解度:不溶于水,以1∶2溶于70%乙醇,溶于大多数有机溶剂。

(3)天然存在:存在于枫茅、玫瑰草、柠檬马鞭草,灰罗勒、黄蒿等的精油中。

(4)感官特征:强烈的油脂青香,柑橘样的香气,梨样的酸甜新鲜感。

(5)应用:在烟草中修饰果香,增添青香,烘托上等烟叶独具的风味。

(6)安全管理:NI,FEMA2707,FDA121.1164,COE481,国食I1147。

4.3-乙基-2-羟基-2-环戊烯-1-酮(3-Ethyl-2-hydroxy-2-cyclopenten-1-one)

其他名称:3-乙基-2-环戊烯-2-醇-1-酮(3-Ethyl-2-cyclopenten-2-o/-1-one)

分子式:C7H10O2 相对分子质量:126.13

结构式:

(1)理化性质:

m.p. 38~40℃ b.p. 78~80℃/533.3Pa

65~68℃/133.3Pa

阈值 5mg/kg

(2)感官特征:具有焦糖样的香气,赋予香精焦糖风味或椰子香味。

(3)天然存在:存在于咖啡中。

(4)应用:在混合型卷烟香精中应用以提调烟香,改进吸味,使烟气丰满醇和。

(5)安全管理:NI,FEMA3152。

5.薄荷酮(Menthone)

其他名称:2-异丙基-5-甲基环己酮(2-lsopropyl-5-methylcyclohexanone),p-—烷-3-酮(p-Menthan-3-one)。

分子式:C10H18O 相对分子质量:154.24

结构式:

(1)理化性质:外观为无色液体,其理化性质见表5-6-9。

表5-6-9 薄荷酮的理化性质

(2)溶解度:不溶于水,溶于乙醇及大多数普通有机溶剂。

(3)天然存在:几种薄荷酮的立体异构体都有天然存在。l-薄荷酮存在于俄罗斯薄荷、美洲薄荷、老鹏草、芳须芒草、亚洲薄荷等的精油中;d-薄荷酮存在于玲美布枯、裂叶荆芥等的精油中。

(4)感官特征:具有相似于薄荷醇的清凉气味。

(5)应用:在烟草中少量使用能抑制刺激,掩盖杂气,改善口感。大量用于薄荷型烟中。

(6)安全管理:NI,FEMA2667,FDA121.1164。

6.香芹酮(Carvone)

其他名称:6,8(9)-p-二烯-2-酮[6,8(9)-p-Menthadien-2-one],1-甲基-4-异丙烯基-6-环已烯-2-酮(1-Methyl-4-isopropenyl-6-cyclohexen-2-one)。

分子式:C10H14O 相对分子质量:150.21

结构式:

(1)理化性质:见表5-6-10。

表5-6-10l-香芹酮和d-香芹酮的理化性质

(2)溶解度:以1∶2溶于70%的乙醇,以1∶5溶于60%乙醇。

(3)天然存在:旋光和不旋光的香芹酮存在于70多种精油成分中,其中d-体存在于黄蒿、莳萝、芹香过江藤等植物中。l-体存在于日本留兰香、南非长叶薄荷、兰桉以及几类薄荷中;dl-体存在于姜草、薰衣草等中。

(4)感官特征:l-香芹酮有留兰香的特征香味,香气扩散,渗透性强,温甜和新鲜清凉的感觉,d-香芹酮具有黄蒿样气味。

(5)应用:在烟用香精中谐调花香、果香和辛香香韵,抑制刺激性,掩盖烟草的粗劣杂气,改善吸味。

(6)安全管理:NI,FEMA2249,FDA186.60,COE146,国食I1164,标P.158~159。

7.α-紫罗兰酮(α-lonone)

其他名称:α-环柠檬叉丙酮(α-Cyclo-citrylideneacetone),4-(2,6,6-三甲基-2-环己烯-1-基)-3-丁烯-2-酮[4-(2,6,6-Trimethyl-2-cyclohexen-1-yl)-3-buten-2-one]。

分子式:C13H20O 相对分子质量:192.30

结构式:

(1)理化性质:

f.p. 115℃ 0.927~0.933

b.p. 121~122℃/1333.3Pa RI 1.4970~1.5020

(2)溶解度:以1∶3溶于70%乙醇中。

(3)天然存在:存在于金合欢精油中。

(4)感官特征:具有紫罗兰花特征的粉甜花香,带木香底韵,味甜有木香。

(5)应用:用于烟草中能增加甜香和类似花香、木香以及醇和的吃味。

(6)安全管理:NI,FEMA2594,FDA172.515,121.1164,COE141,国食I1155T。

8.β-紫罗兰酮(β-lonone)

其他名称:β-环柠檬叉丙酮(β-Cyclo-citrylideneacetone),4-(2,6,6-三甲基-1-环己烯-1-基)-3-丁烯-2-酮[4-(2,6,6-Trimethyl-1-cyclohexen-1-yl)-3-buten-2-one]。

分子式:C13H20O 相对分子质量:192.30

结构式:

(1)理化性质:无色至淡黄色液体。

b.p. 128~129℃/1333.3Pa RI 1.5190~1.5215

0.941~0.947

(2)溶解度:以1∶3溶于70%乙醇。

(3)天然存在:存在于覆盆子中,在大柱波罗尼花的蒸馏液中和某些精油中也可得到。

(4)感官特征:具有紫罗兰花的特征香韵,比β-紫罗兰酮有更显着的水果香和木香香气,更接近烟草木香,甜味较差但更有力。

(5)应用:与β-紫罗兰酮的用途相同。与紫罗兰酮有关的同系列衍生物,都是烟草中重要的香味成分。

(6)安全管理:NI,FEMA2595,FDA172.515,121.1164,COE142,国食I1156T。

9.α-鸢尾酮(α-lrone)

其他名称:6-甲基-2-紫罗兰酮(6-Methyl-2-ionone)

分子式:C14H22O 相对分子质量:206.32

结构式:

(1)理化性质:微黄色液体。

b.p.110~112℃/426.6Pa(合成品) RI 1.5020~1.5030(来自鸢尾根)

0.932~0.936(来自鸢尾根) 1.5003(来自鸢尾根)

0.9355(合成品) 1.4970(合成品)

0.9349(来自鸢尾根) OP

(2)溶解度:以1∶4溶于70%乙醇。

(3)天然存在:存在于鸢尾根、覆盆子以及一些海桐花的花朵中。

(4)感官特征:特有的鸢尾和紫罗兰样香气。

(5)应用:烟草中用能增强烟草的芳香,改善烟气吸味。

(6)安全管理:NI,FEMA2597,FDA121.1164。

10.β-大马酮(β-Damascenone)

其他名称:β-突厥烯酮,反-大马酮(trans-Damascenone),1-(2,6,6-三甲基-1,3-环己二烯-1-基)-2丁烯-1-酮[1-(2,6,6-Trimethyl-1,3-cyclohexadien-1-yl)-2-buten-1-one]。

分子式:C13H18O 相对分子质量:190.28

结构式:

(1)理化性质:浅黄色液体。

f.p. >100℃ Rl 1.508~1.514

d 0.946~0.952 酸值 <1

(2)溶解度:不溶于水,能溶于丙二醇、乙醇和甘油。

(3)感官特征:有惬意的香气,类似葡萄汁并带点清凉气,有些似茶叶的味觉,带有青香和玫瑰花香。

(4)天然存在:存在于覆盆子油、白肋烟及苹果中。

(5)应用:在烟草中能使烟香气甜醇,改善粗劣气,增加天然感和厚实感。通常与β-环高柠檬醛混合使用,效果较好。大马酮类化合物是白肋烟的重要香味成分。

(6)安全管理:NI,FEMA3420。

11.β-二氢大马酮(β-Damscone)

其他名称:β-突厥酮,1-(2,6,6-三甲基环己-1-烯基)-2-丁烯-1-酮[1-(2,6,6-Trimethylcyclohex-1-enyl)-2-buten-1-one],Dorinone(Firmenich公司商品名)。

分子式:C13H20O 相对分子质量:192.30

结构式:

(1)理化性质:浅黄色液体。

b.p. 55℃/0.133Pa(反式体);52℃/0.133Pa(顺式体)

0.934(反式体); 0.930(顺式体)

RI 1.4980(反式体);1.4957(顺式体)

(2)溶解度:不溶于水,溶于丙二醇和乙醇。

(3)天然存在:存在于白肋烟、香料烟、红茶和玫瑰等植物精油中。

(4)感官特征:青香、类似玫瑰的花香。是红茶的主要香气成分。

(5)应用:在烟草中能给予白肋烟香韵,增强混合型卷烟的香气和风味。

(6)安全管理:NI,FEMA3243,COE2340,国食I1166。

12.苯乙酮(Acetophenone)

其他名称:甲基苯基酮(Methyl phenyl ketone),乙酰苯(Acetyl benzene)。

分子式:C8H8O 相对分子质量:120.14

结构式:

(1)理化性质:在室温下为无色液体。

m.p. 19.5~20.5℃ d 1.0329; 1.025~1028

b.p. 202℃ RI 1.533~1.535; 1.53631

(2)溶解度:不溶于水,以1∶5溶于50%乙醇中,溶于精油和大多数有机溶剂中。

(3)天然存在:存在于岩蔷薇、大寻麻、香薷草等的精油中,还存在于海狸香净油中。

(4)感官特征:有甜的、很尖刺的香豆素香味,苦的芬芳的风味。

(5)应用:能与烟草香味谐调,加强干草气息,改进烟草吸味品质,调和豆香风味。

(6)安全管理:NI,FEMA2009,FDA172.515,COE138,国食I1152,标P.128。

13.α-呋喃基甲基甲酮(α-Furyl methyl ketone)

其他名称:2-乙酰基呋喃(2-Acetylfuran,2-Acetofuran)

分子式:C6H6O2 相对分子的质量:110.11

结构式:

(1)理化性质:无色结晶。

m.p. 33℃ 1.098

b.p. 173℃;67℃/1333.3Pa RI 1.5017

(2)溶解度:不溶于水,溶于乙醇、乙醚和丙二醇。

(3)天然存在:存在于咖啡的香味成分中以及黄鸡蛋果和马铃薯片的挥发性香味成分中。

(4)感官特征:具有强烈的脂香和甜香味。

(5)应用:在烟草中增加焙烤香风味,并改善烟气的吸味。

(6)安全管理:NI,FEMA3163,COE4113,国食I1174。

14.4-羟基-2,5-二甲基-3(2H)-呋喃酮[4-Hydroxy-2,5-dimethyl-3(2H)-furanone]

其他名称:2,5-二甲基-4-羟基-2,3-二氢呋喃-3-酮(2,5-Dimethyl-4-hydroxy-2,3-dihydrofuran-3-one)。

分子式:C6H8O3 相对分子质量:128.12

结构式:

(1)理化性质:无色或白色固体。

m.p. 70℃

(2)溶解度:微溶于水、溶于乙醇和油类。

(3)天然存在:存在于菠萝的香味成分中。

(4)感官特征:具有果香、焦糖香气,似煮熟菠萝的焦甜芳香,还有草莓的香气。

(5)应用:在烟草制品中能改善香味,使其具有浆果样丰满的香料烟韵味,在混合型卷烟中效果比较明显。

(6)安全管理:NI,FEMA3174,COE536。

15.4-甲基苯乙酮(4-Methyl acetophenone)

其他名称:p-乙酰基甲苯(p-Acetyl toluene),p-甲基苯乙酮(p-Methylacetophenone),1-甲基-4-乙酰基苯(1-Methyl-4-acetyl benzene),甲基对甲苯基酮(Methyl p-tolyl ketone)。

分子式:C9H10O 相对分子质量:134.17

结构式:

(1)理化性质:无色或接近无色的液体,在室温下逐渐凝固。

m.p. -23℃ 1.0016; 1.001~1.004

b.p. 222~226℃/1.0×105Pa RI 1.5320~1.53450

(2)溶解度:以1∶10溶于50%的乙醇中:以1∶3溶于60%乙醇,不溶于水,微溶于大多数有机溶剂。

(3)天然存在:存在于巴西檀香木和玫瑰木的木质蒸馏精油中。

(4)感官特征:类似苯乙酮的花果香气,草莓样的甜味。

(5)应用:能与烟草香味和合,增添果香和干草香、改善烟气吸味的品质。

(6)安全管理:NI,FEMA2677,FDA172.515,COE156,国食I1153,标P.227。

16.3-甲基-1,2-环戊二酮(3-Methyl,-1,2-cyclopentandione)

其他名称:甲基环戊烯醇酮(Methylcyclopentenolone),2-羟基-3-甲基-2-环戊烯-1-酮(2-Hydroxy-3-methyl-2-cyclopenten-1-one)。商品名:Kentonarome,Cyclotene,Maple lactone。

分子式:C6H8O2 相对分子质量:112.13

结构式:

(1)理化性质:白色结晶固体。

m.p. 105~107℃(无水的)

(2)溶解度:易溶于沸水、乙醇、丙酮和氯仿,微溶于乙醚。

(3)天然存在:存在葫芦巴精油和木焦油中。

(4)感官特征:具有枫槭糖浆香,强烈的焦辛甜香,味焦甜似甘草。

(5)应用:可用作枫槭糖浆香味的代用品。能与可可香和豆香配合,提调卷烟香气和吸味,增加浓郁的香味风格。在高浓度时不很稳定,常稀释成50%的溶液备用。

(6)安全管理:NI,FEMA2700,FDA172.515,121.1164,COE758,国食I1141。

17.覆盆子酮(Raspberry ketone)

其他名称:4-p-羟基苯基-2-丁酮(4-p-hydroxyphenyl-2-butanone),p-羟基苄基丙酮(p-Hydroxybenzyl acetone)。

分子式:C10H12O2 相对分子质量:192.30

结构式:

(1)理化性质:白色细针状或颗料状结晶。

m.p. 82~83℃

(2)溶解度:几乎不溶于水,溶于乙醇和油类。

(3)天然存在:存在于覆盆子香味成分中。

(4)感官特征:有覆盆子样的特征果甜香,带木香底韵,有果仁、焦糖甜香。

(5)应用:在烟草中加强浆果香。用于混合型卷烟中增加焦甜样的浓厚烟香。

(6)安全管理:NI,FEMA2588,FDA121.1164,COE2064,国食I1135。

18.面包酮

其他名称:2-甲基四氢呋喃-3-酮(2-Methyl tetragydrofuran-3-one)

分子式:C5H8O2 相对分子质量:100.11

结构式:

(1)理化性质:无色至浅黄色液体。

b.p. 139℃ RI 1.4291

(2)溶解度:溶于乙醇和丙二醇。

(3)天然存在:存在于炒杏仁、生咖啡、糖蜜、白面包、烤烟叶和土豆中。

(4)感官特征:有新鲜面包散发的气息和焙烤坚果的香气,带些奶脂的回味,香气透味酸甜。

(5)应用:在烟草中能与烟香谐调,增进烟叶固有风味。

(6)安全管理:NI,FEMA3373,COE2338

19.茄酮(Solanone)

其他名称:2-甲基5-异丙基-1,3-壬二烯-8-酮(2-Methyl-5-isopropyl-1,3-nonadien-8-3-one)

分子式:C13H22O 相对分子质量:194.11

结构式:

(1)理化性质:无色至浅黄色液体。

b.p. 105~110℃/800Pa 0.863

RI 1.4746; 1.4728

(2)溶解度:溶于乙醇和丙二醇。

(3)天然存在:存在于白肋烟、烤烟和香料烟中。

(4)感官特征:幽淡的胡萝卜香韵,青草气息,稍带有药香底韵。

(5)应用:在烟草中能与烟香谐调,增强烟味浓厚,使烟香丰满,增加口腔生津感。

(6)安全管理:NI,已列入美国烟草添加剂许可名单。

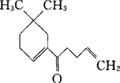
20.王朝酮(Dynascone)

其他名称:1-(5,5-二甲基-1-环己烯-1-基)-4-戊烯-1-酮[1-(5,5-Dimethyl-1-cyclohexen-1-yl)-4-penren-1-one]

分子式:C13H20O 相对分子质量:192.06

结构式:

(1)理化性质:无色至浅黄色液体。

d 1.008~1.016 RI 1.444~1.448

f.p. >100℃ 酸值 <1

(2)溶解度:溶于95%乙醇。

(3)感官特征:典型的菠萝样水果香气,香气透发,味酸甜。

(4)应用:在烟草中能与烟香谐调,增进烟叶固有风味。

(5)安全管理:可在食品中使用。

(八)内酯类

1.γ-丁内酯(γ-Butyrolactone)

其他名称:4-羟基丁酸内脂(4-Hydroxy-butanoic acid lactone),1,4-丁内酯(1,4-Butanolide)。

分子式:C4H6O2 相对分子质量:86.09

结构式:

(1)理化性质:无色至苍黄色油状液体。

m.p. -44℃ 1.1286; 1.1441

b.p. 206℃;89℃/1600Pa RI 1.4341

(2)溶解度:以任意比例溶于水,极易溶于乙醇、乙醚、丙酮及苯中。

(3)天然存在:存在于咖啡的香味成分中,也存在于炒榛子的挥发性香成分中。

(4)感官特征:有轻微好闻的淡奶油芳香。

(5)应用:增强烟草制品的柔和滋润感,提调可可、坚果、豆香香韵。

(6)安全管理:NI,FEMA3291,COE615。

2.γ-己内酯(γ-Hexalactone)

其他名称:乙基丁内酯(γ-Caprolactone),γ-乙基正丁内酯(γ-Ethyl-n-butyrolactone),4-羟基己酸-γ-内酯(4-Hydroxyhexanpic acid γ-lactone),1,4-己内酯(Hexanolide1,4)。

分子式:C6H10O2 相对分子质量:114.15

结构式;

(1)理化性质:无色液体。

m.p. -18℃ f.p. >94℃

b.p. 220℃ RI 1.4402

1.0234

(2)溶解度:几乎不溶于水,溶于乙醇、丙二醇和油类中。

(3)天然存在:存在于菠萝和桃子的挥发性香味成分中。

(4)感官特征:有浓烈的似黑香豆和烟草样的甜香,带药草香气,甜的香豆素和焦糖味道。

(5)应用:在烟用香精中用来调配果香、豆香、奶脂和蜜甜的香型,并且是香兰素的增效剂,可作香豆素代用品。

(6)安全管理:NI,FEMA2539,FDA172.515,121.1164,COE2254,国食I1374。

3.δ-己内酯(δ-Hexalactone)

其他名称:5-羟其己酸-δ-内酯(5-Hydroxyhexanoic acid-δ-lactone),四氢-6-甲基-2H吡喃-2-酮(Tetrahydro-6-methyl-2H-pyran-2-one)。

分子式:C6H10O2 相对分子质量:114.15

结构式:

(1)理化性质:无色油状的液体。

m.p. 31℃ RI 1.4425; 1.4564

1.0162 OP -47.2°

b.p. 110~112℃/2000Pa;59~60℃/5.33Pa

(2)溶解度:溶于乙醚。

(3)天然存在:存在于椰子油和热乳脂的挥发性芳香组分中。

(4)感官特征:香气似γ-己内酯,但温和而带椰子回味。

(5)应用:与γ-己内酯相似。

(6)安全管理:NI,FEMA3167,国食I1380。

4.γ-庚内酯(γ-Heptalactone)

其他名称:4-羟基庚酸-γ-内酯(4-Hydroxyheptanoic acid γ-lactone),γ-正丙基-γ-丁内酯(γ-n-Propyl-γ-butyrolactone)。

分子式:C7H12O2 相对分子质量:128.17

结构式:

(2)溶解度:几乎不溶于水,溶于乙醇。

(3)天然存在:存在于饼干、西番莲和黄油的香味成分中。

(4)感官特征:甜的坚果样焦糖香气,味甜似麦芽和焦糖,带有药草味。留香较持久。

(5)应用:具有类似烟草的干草、豆香香气风格,能与烟香谐调,可起修饰和提调作用。

(6)安全管理:NI,FEMA2539,FDA172.515,121.1164,COE2253,国食I1375。

5.γ-辛内酯(γ-Octalactone)

其他名称:γ-正丁基-γ-丁内酯(γ-n-Butyl-γ-butyrolactone),4-羟基辛酸-γ-内酯(4-Hydroxyoctanoic acid lactone),正辛内酯(n-Octalactone),1,4-辛内酯(Octanolide-1,4)。

分子式:C8H14O2 相对分子质量:142.20

结构式:

(1)理化性质:微黄色液体。

f.p. >100℃ RI 1.443~1.447; 1.4610

0.970~0.980 酸值 <8

b.p. 132~133℃/266.6Pa;83~86℃/133.3Pa

(2)溶解度:以1∶3溶于50%乙醇;以1∶2溶于60%乙醇;微溶于水,稍溶于丙二醇。

(3)天然存在:存在于桃、杏、梅、菠萝、浆果等的香味成分中。

(4)感官特征:强而浓烈的椰子和坚果仁样的甜香,稍带些干草气和黑香豆油脂香的

(1)理化性质:无色,微呈油状液体。

d 0.997~1.004 RI 1.439~1.445底韵。

(5)应用:增强烟草制品的豆香、坚果香和甜味。

(6)安全管理:NI,FEMA2796,FDA172.515,COE2274,国食I1376。

6.γ-壬内酯(γ-Nonalactone)

其他名称:γ-戊基丁内酯(γ-Amyl butyrolactone),4-羟基壬酸-γ-内酯(4-Hydroxynonanoic acid γ-lactone),椰子醛(Coconut aldehyde),十八醛(AldehydeC-18)(后二者为商品名称)。

分子式:C9H16O2 相对分子质量;156.23

结构式:

(1)理化性质:无色至浅草黄色的液体。

b.p. 243℃ RI 1.4460~1.4500;

0.958~0.966; 0.969~0.971

(2)溶解度:以1∶5溶于50%乙醇,以1∶2溶于水,溶于大多数有机溶剂。

(3)天然存在:存在于桃、杏、焙炒的大麦、朗姆酒和番茄中。

(4)感官特征:浓烈的椰子和奶油样香气,坚果与水果的甜味。

(5)应用:在烟草香精中用来烘托坚果、水果、豆香、可可香气。改善卷烟的香气及吸味。

(6)安全管理:NI,FEMA2781,FDA172.515,121.1164,COE178,国食I1377。

7.γ-癸内酯(γ-Decalactone)

其他名称:4-羟基癸酸-γ-内酯(4-Hydroxydecanoic acid-γ-lactone),γ-正己基-γ-丁内酯(γ-n-Hexyl-γ-butyrolactone),1,4-癸内酯(Decanlide-1,4)。

分子式:C8H18O2 相对分子质量:170.25

结构式:

(1)理化性质:无色液体。

b.p. 153℃/2000Pa,114~116℃/66.7Pa RI 1.4610

(2)溶解度:极易溶于水、乙醇和丙二醇。

(3)天然存在:存在于桃、杏和草莓的芳香成分中。

(4)感官特征:有愉快的桃子特征香气,温和持久,低浓度时还有奶油样的有力香气。

(5)应用:在烟用香精中用来调制果香、奶香并衬托可可和坚果的风味。

(6)安全管理:NI,FEMA2360,FDA172.515.COE2230,国食I1378。

8.ω-十五内酯(ω-Pentadecalactone)

其他名称:15-羟基十五酸-ω-内酯(15-Hydroxypentadecanoic acid-ω-lactone),十五内酯(Pentadecanolide),当归内酯(Angelica lactone)。

分子式:C15H28O2 相对分子质量:240.39

结构式:

(1)理化性质:在室温下是塑性固体,液化后是澄清透明无色的液体。

m.p. 36~37℃ 0.9447

b.p. 150℃/666.6Pa RI 1.4669

(2)溶解度:不溶于水,几乎不溶于甘油,以1∶6溶于80%乙醇。

(3)天然存在:存在于圆叶当归的精油中。

(4)感官特征:具有细致的麝香香气,浓甜有力,是非常好的定香剂。

(5)应用:可以增浓、圆熟烟香,并赋予卷烟制品龙涎样的木香香韵。

(6)安全管理:NI,FEMA2840,FDA172.515,COE181,国食I1386。

9.α-当归内酯(α-Angelic lactone)

其他名称:β,γ-当归内酯(β,γ-Angelic lactone),4-羟基-3-戊烯酸内酯(4-Hydroxy3-pentenoic acid lactone),5-甲基-2-(3H)呋喃酮[5-Methyl-2(3H)-furanone]。

分子式:C5H6O2 相对分子质量:114.15

结构式:

(1)理化性质:针状结晶。很容易变成β当归内脂和γ当归内酯。

m.p. 18℃ d 1.084

b.p. 167~170℃;56℃/1600Pa RI 1.4476

(2)溶解度:微溶于水,溶于乙醇、乙醚中。

(3)天然存在:存在于当归和烟草精油中。

(4)感官特征:好闻的药草香气,接近烟草的特征香味。

(5)应用:在烟草制品中用以提调烟香,改进吸味。

(6)安全管理:NI,FEMA3293,COE731

10.香豆素(Coumarin)

其他名称:ο-邻羟基肉桂酸内酯(ο-hydroxycinnamic acid lactone),1,2-苯并呋喃酮(1,2-Benzopyranone),5,6-苯并-α-吡喃酮(5,6-Benzo-α-pyranone),顺-ο-香豆酸酐(cisο-Coumaric acid anhydride)。

分子式:C9H6O2 相对分子质量:146.15

结构式:

(1)理化性质:白色结晶固体。

m.p. 68~78℃ b.p. 297~299℃;161~162℃/1866.5Pa

(2)溶解度:以8%溶于乙醇,以0.3%溶于水。可溶于沸水、乙醇、乙醚和氯仿。

(3)天然存在:存在于黑香豆的种子、黄香草木樨花、白花避汗草叶、香蛇鞭菊、香车叶草、野香荚兰、薰衣草油以及各种兰花中。

(4)感官特征:好闻的新鲜干草样香气,带些香荚兰豆的豆香,味苦辣,稀释后有坚固果样的风味。

(5)应用:烟用香精中用来提调坚果香和豆香,改进烟草的自然气息。

(6)安全管理:NI,美国等国家禁止在食品中添加香豆素,因此在烟草中一般使用香豆素代用品,但在英国允许使用。GB-8798-88,QB-777.81,标P.171。

11.二氢香豆素(Dihydrocoumarin)

其他名称:氢化香豆素(Hydrocoumarin),3,4-二氢香豆素(3,4-Dihydrocoumarin),苯并二氢吡喃酮(Benzodihydropyranone)。

分子式:C9H8O2 相对分子质量:148.15

结构式:

(1)理化性质:

m.p. 25℃ RI 1.5660~1.5575

b.p. 275℃ 1.955~1.980

f.p. 130℃ 酸值 <1

(2)溶解度:微溶于水,溶于乙醇、乙醚,易溶于氯仿。

(3)天然存在:存在于黄香草木樨中。

(4)感官特征:近似于香豆素的气息,似烟叶的典型干草风格,味甜,带些坚果、药草和焦糖的味道。

(5)应用:香豆素的代用品。

(6)安全管理:NI,FEMA2381,COE535,国食I1374,标P.147。

12.香紫苏内酯(Sclareolide)

其他名称:降龙涎内脂(Norambreinolide)。

分子式:C16H26O2 相对分子质量:250.37

结构式:

(1)理化性质:白色结晶体。

m.p. 125~125.5℃ OP (C=1.9在CHCl3中)

(2)溶解度:溶于1∶1丙酮和乙醇的溶液中。

(3)天然存在:存在于香料烟的精油中。

(4)感官特征:具有淡弱的柏木样木香,在稀醇溶液中飘逸出清淡而幽雅的龙涎香香气,是香料烟独具的愉快特征烟香成分。

(5)应用:在混合型卷烟中可掩盖烟草的粗刺杂气,改进和提高香味质量,是烟草的有效增香剂。

(6)安全管理:NI。

(九)酸类

1.乙酸(Acetic acid)

其他名称:醋酸(Ethanoic acid)

分子式:C2H4O2 相对分子质量:60.05

结构式:CH3-COOH

(1)理化性质:无色液体,冷天会凝固。

m.p. 17℃ RI 1.3718

b.p. 118℃

(2)溶解度:与水、乙醇、丙二醇和甘油互溶。

(3)天然存在:存在于柠檬叶、苦橙油、草莓等香味成分中。

(4)感官特征:强烈刺鼻的酸气,食醋的香味。

(5)应用:用于烟草中能缓和辛辣的烟味,掩盖不良的杂气。

(6)安全管理:NI,FEMA2006,FDAl84.1005,国食I1176。

2.异丁酸(lsobutyric acid)

其他名称:异丙基甲酸(lsopropylformic acid),2-甲基丙酸(2-Methylpropanoic acid)。

分子式:C4H8O2 相对分子质量:88.10

(1)理化性质:无色液体。

m.p. -46.1℃ 0.95296

b.p. 154.7℃ RI 1.39525

f.p. 76℃

(2)溶解度:以1∶5溶于水,能溶于乙醇和乙醚。

(3)天然存在:存在于山金车、罗马春黄菊、月桂、前胡和角豆果实等的精油中。

(4)感官特征:尖刺的酸气,但比正丁酸的气味温和,而且不愉快的气味较少,味酸带辣的回味,香气持久。

(5)应用:用于烟草能使烟气醇和,具有乳酪和水果风味,有香料烟的风格。

(6)安全管理:NI,FEMA2222,FDA172.515,国食I1180。

3.异戊酸(lsovaleric acid)

其他名称:翠雀酸(Delphinic acid),异丁基甲酸(lsobutyl formic acid),异丙基乙酸(lsopropylacetic acid),β-甲基丁酸(β-Methyl butyric acid),Valeric acid。

分子式:C5H10O2 相对分子质量:102.13

(1)理化性质:浓厚的无色液体。

m.p. -30℃ f.p. 70℃

b.p. 176.5℃ 0.93080

(2)溶解度:能溶于水、乙醇、乙醚和氯仿。

(3)天然存在:存在于海豹脂肪中,在柏木、香茅、月桂叶、白千层、直香茅、啤酒花、留兰香、迷迭香、枫茅、烟草等的精油中也有存在。

(4)感官特征:特有的不愉快的气味,有较强的持久的刺激性气味、酸味。

(5)应用:是烟草中颇具影响的香味成分,能在烟草制品中增添酒味、水果和乳酪样甜的香韵,使烟气似香料烟型风格。

(6)安全管理:NI,FEMA3102,FDA172,515,COE8,国食I1186。

4.2-甲基丁酸(2-Methyl butyric acid)

其他名称:丁烷-2-羧酸(Butane-2-carboxylic acid),α-甲基丁酸(α-Methyl butyric acid),甲基乙基乙酸(Methylethyl acetic acid),旋光性异戊酸(Optically active isovaleric acid)。

分子式:C5H10O2 相对分子质量:102.13

(1)理化性质:无色液体。

b.p. d-体;176℃;l体:176~177℃;dl-体:173~174℃

d d-体: 0.934;l-体 0.934;dl-体 0.9332

RI 1.4044

OP d-体[α]D+16~+21°;l-体[α]D-6~-18°

(2)溶解度:微溶于水和甘油,能溶于乙醇和丙二醇。

(3)天然存在:有右旋、左旋和外消旋等异构体。dl-体存在于当归根油和咖啡中,d体以酯结合的形式存在于薰衣草油中。

(4)感官特征:刺鼻辛辣的羊乳干酪样的气味,稀时有令人愉快的水果味。

(5)应用:2-甲基丁酸是烟草中酸性物质成分,能在烟草制品中增添水果、酒和乳脂等的风味,使烟气柔和滋润,改善辛辣刺激。

(6)安全管理:NI,FEMA2695,FDA121.1164,COE2002,国食I1181。

5.2-甲基戊酸(2-Methylpentanic acid)

其他名称:甲基丙基醋酸(2-Methyl propyl acetic acid),α-甲基戊酸(α-Methyl vaieric acid),戊烷-2-羧酸(Pentane-2-carboxylic acid)

分子式:C6H12O2 相对分子质量:116.16

(1)理化性质,在室温时像冰一样固结为一大块,高于室温时为无色液体。

b.p. 195~196℃ RI 1.4136

0.9230

OP d-体 ;l-体

(2)溶解度:溶于水,与乙醇混溶。

(3)天然存在:存在于咖啡、酒和干酪中。

(4)感官特征:强烈刺激的干酪样辛辣气,味浓酸。

(5)应用:在烟草中用来调味,增强香味浓度和水果乳酪样的风味。

(6)安全管理:NI,FEMA2754,FDA121.1164,COE31,国食I1183。

6.3-甲基戊酸(3-Methylpentanoic acid)

其他名称:3-Methylvaleric acid,β-甲基戊酸(β-Methylpentanoic acid),干酪酸(Cheesa acid)。

分子式:C6H10O2 相对分子质量:102.13

(1)理化性质:外观无色液体,d-体,l-体和dl-体的理化性质见表5-6-11。

表5-6-113-甲基戊酸的理化性质

(2)溶解度:微溶于水,与乙醇可混溶。

(3)天然存在:存在于干酪及香料烟的香气中。

(4)感官特征:酸的药草的气味,带点青香,有似水果和乳酪的甜味。高浓度时极臭。

(5)应用:3-甲基戊酸是香料烟叶特征性的酸类成分,在烟用香精中使用可得到类似香料烟叶的香味风格。

(6)安全管理:NI,FEMA3417,国食I1196。

7.己酸(Hexanoic acid)

其他名称:正己酸(n-Caproicacid),戊烷-1-羧酸(Pentane-1-carboxylic acid),n-Hexylic acid,Hexoic acid。

分子式:C6H12O2 相对分子质量:116.16

结构式:CH3-(CH2)4-COOH

(1)理化性质:无色油状液体。

b.p. 205.8℃ 0.9313

m.p. -3℃ RI 1.4150; 1.41877

(2)溶解度:不溶于水,微溶于乙醇和乙醚。

(3)天然存在:这是一种丁酸发酵的副产物。存在于薰衣草、樟脑、枫茅等的精油中,也存在于苹果,红醋栗和草莓的芳香成分中。

(4)感官特征:不愉快的干椰肉油气味,辛辣的味道。

(5)应用:可用于烟用香精。

(6)安全管理:NI,FEMA2559,FDA121.1164。

8.乳酸(Lactic acid)

其他名称:α-羟基丙酸(α-Hydroxypropanoic acid)。

分子式:C3H6O3 相对分子质量:90.08

(1)理化性质:糖浆状微带吸湿性的液体。

m.p. 18℃ b.p. 122℃/2000Pa

dl-体:52~53℃

1.249 OP d-体:[α]D +2.6°(在水中)

d-体: 1.2485 l-体[α]D -2.6°(在水中)

(2)溶解度:与水、乙醇和甘油能完全混溶。

(3)天然存在:存在于罂粟、苹果、番茄汁、酒和酸奶中。

(4)感官特征:纯品没有香气,一般品质的有微弱奶香,味酸。

(5)应用:在烟草中作调味剂,可提调香气,改善刺激性和辛辣杂味。

(6)安全管理:NI,FEMA2611,FDA184.1061,COE4,国食I1197。

9.羟基丁二酸(Malic acid)

其他名称:苹果酸(Apple acid),α-羟基-1,4-丁二酸(α-Hydroxy-1,4-butanedioic acid),羟基琥珀酸(Hydroxysuccinic acid)。

分子式:C4H6O5 相对分子质量:134.09

(1)理化性质:结晶固体。

b.p. l-体:接近140℃(同时分解)

m.p. l-体:99~100℃;d-体:99~101℃

OP d-体:(在丙酮中)

l-体:(在丙酮中)

(2)溶解度:易溶于乙醇和水,微溶于乙醚

(3)天然存在:存在于槭树、苹果和其他果实中。

(4)感官特征:微弱的酸味,无刺激性。

(5)应用:在烟草中用以调味和改善香气。

(6)安全管理:NI,FEMA2655,FDA184.1069,COE17。

10.酒石酸(Tartaric acid)

其他名称:2,3-二羟基丁二酸(2,3-Dihydroxy butanedioic acid),α,β二羟基琥珀酸(α,β-Dihydroxysuccinic acid)。

分子式:C4H6O6 相对分子质量:150.09

(1)理化性质:无色透明结晶。

m.p. d-体:168~170℃ d d-体: 1.7598

meso-体:165~166℃ dl-体: 1.697

dl-体:206℃ OP d-体:[α]D+11.98°

(2)溶解度:溶于水和乙醇,微溶于氯仿及乙醚中。

(3)天然存在:酒石酸有d-体,l-体和dl-体之分,d-体存在于葡萄等果实中,往往是以游离态或钾、钙、镁盐的形式存在。

(4)感官特征:无香气,具有特有的酸味。

(5)应用:在烟草中用于调味和增进果香风味,缓和烟味的辛辣刺激。酒石酸钾钠是卷烟中常用的助燃剂。

(6)安全管理:NI,FEMA3044,FDA GRAS。

11.柠檬酸(Citric acid)

其他名称:2-羟基丙烷-1,2,3-三羧酸(2-Hydroxy-1,2,3-propanetricarboxylic acid)

分子式:C6H8O7 相对分子质量:192.12

(1)理化性质:m.p.153℃(无水柠檬酸)。

(2)溶解度:极易溶于水和乙醇,微溶于乙醚。

(3)天然存在:在自然界广泛存在。

(4)感官特征:有愉快的酸味。

(5)应用:是烟草的调味料,缓和烟气辛辣杂味,抑制刺激性,也用作防霉剂。

(6)安全管理:NI,FEMA2306,FDA182.1033,COE22,国食I1202。

12.2-甲基-2-戊烯酸(2-Methyl-2-pentenic acid)

其他名称:3-乙基-2-甲基丙烯酸(3-Ethyl-2-methylacrYLlC acid),β-戊烯-β-羧酸(β-Amylene-β-Carboxylic acid),2-戊烯-2-羧酸(2-Pentene-2-carboxylic acid),2-丙叉丙酸(2-Propylidenepropionic acid)

分子式:C6H10O2 相对分子质量:114.04

(1)理化性质:棱形晶体(反式体)。

m.p. 24.4℃ 0.9812;

b.p. 反式体:112℃/1600Pa,213℃/1.0×105Pa;

123~125℃/3933Pa RI 1.4578

顺式体:94℃/1333Pa

(2)溶解度:溶于乙醚,氯仿和二硫化碳,微溶于水。

(3)天然存在:存在于草莓的香味成分中。

(4)感官特征:具有草莓、苹果汁和坚果、焦糖、麦芽及干酪香味。

(5)应用:烟草香精中用来加强草莓、榛子、焦糖和枫槭糖浆的香气,提高烟气品质。

(6)安全管理:NI,FEMA3195,COE4177,国食I1184。

13.反-2-己烯酸(trans-2-Hexenoic acid)

其他名称:β-丙基丙烯酸(β-Propylacrylic acid),2-己烯酸(2-Hexenoic acid),α、β-己烯酸(α、β-Hexylenic acid)。

分子式:C6H10O2 相对分子质量:114.15

(1)理化性质:无色针状结晶。

m.p. 37℃ 0.965

b.p. 217℃;118℃/2533Pa RI 1.4467

(2)溶解度:微溶于水,溶于乙醇、丙二醇及油类,极易溶于乙醚。

(3)天然存在:存在于日本薄荷油中。

(4)感官特征:愉快的特殊油脂香,留香持久。

(5)应用:可用于烟草香精中。

(6)安全管理:NI,FEMA3169。

14.2-甲基-4-戊烯酸(2-Methyl-4-pentenoic acid)

分子式:C6H10O2 相对分子质量:114.14

(1)理化性质:无色透明液体。

f.p. >90℃ RI z 1.4315

(2)溶解度:溶于乙醇和丙二醇。

(3)感官特征:鲜果和草莓果酱样的香气和吃味。

(4)应用:在烟草中能增强鲜果的甜气和青而酸的口味,使制品更具香料烟叶的香味风格。

(5)安全管理:FEMA3511,国食A3019T。

15.苯甲酸(Benzoic acid)

其他名称:苯羧酸(Benzenecarboxylic acid),安息香酸(Dracylic acid),phenylformic acid。

分子式:C7H6O2 相对分子质量:122.12

结构式:

(1)理化性质:有光泽的片状或单斜针状固体。

m.p. 120~123℃ 1.265

b.p.249~250℃ RI 1.5397

(2)溶解度:1∶380溶于水,1∶25溶于90%乙醇,1∶10溶于甘油中,易溶于丙酮。

(3)天然存在:存在于风信子、晚香玉、橙花、玉桂、肉桂叶、岩兰草、依兰依兰、吐鲁香脂以及丁香等植物中。

(4)感官特征:几乎无香气,微弱的香脂气,具有甜酸到辛辣的味道。

(5)应用:是烟草的调味剂,起到醇和,改善烟香吸味的作用。

(6)安全管理:NI,FEMA2131,FDA184.1021,COE21,国食I1200。

16.肉桂酸(Cinnamic acid)

其他名称:桂酸,β-苯基丙烯酸(β-Phenylacrylic acid),3-苯基丙烯酸(3-Phenylpropenoic acid)。

分子式:C9H8O2 相对分子质量:148.16

结构式:

(1)理化性质:白色或无色结晶粉末。

m.p.136℃(反式体); b.p. 300℃

57℃(顺式体) 1.2450

(2)溶解度:几乎不溶于水,微溶于乙醇,可溶于苯、氯仿和丙酮。

(3)天然存在:存在于罗勒、中国肉桂、苞鳞白千层、大高良姜,以及秘鲁香脂、美洲苏合香、可可叶等之中。

(4)感官特征:淡的甜膏香、蜜香,味先辣后转甜,类似杏子风味。

(5)应用:在烟草中调和辛香和蜜甜的香韵,增加巧克力香味和香料烟风味。

(6)安全管理:NI,FEMA2288,FDA172.515,COE65,国食I1199。

17.肉豆蔻酸(myristic acid)

其他名称:十四酸(Tetradecanoic acid)

分子式:C14H28O2 相对分子质量:204.35

结构式:CH3-(CH2)12COOH

(1)天然存在:存在于椰子油,肉豆蔻脂,鸢尾根的香味成分中,鲸腊中也能检出肉豆蔻酸。

(2)感官特征:有似榛子的香气,味酸甜。

(3)应用:能增强烟草的椰子样香味,提调坚果、巧克力、面包等香韵。改善烟气的粗劣感。

(4)安全管理:NI,FEMA2764,FDA182.8860,COE15,国食I1195。

18.苯乙酸(Phenylacetic acid)

其他名称:苄基甲酸,α-甲苯酸(α-Toluic acid)

分子式:C8H8O2 相对分子质量:136.15

结构式:

(1)理化性质:白色结晶固体。

m.p. 76~78℃ 1.080

b.p. 265.5~266℃

(2)溶解度:能溶于冷水(2%),易溶于热水、乙醇、乙醚和丙二醇。

(3)天然存在:存在于烟草、百叶玫瑰、保加利亚玫瑰和橙花净油中。

(4)感官特征:稀时有香叶和玫瑰样的香气,在浓溶液中则具有持久的不愉快气味。有蜂蜜的回味。

(5)应用:苯乙醇是烟草自身含有的香味成分,能增强烟草的整体香味。

(6)安全管理:NI,FEMA2878,FDA172.515,COE672,国食I1201,标P.253。

(十)酯类

1.甲酸乙酯(Ethyl formate)

分子式:C3H6O2 相对分子质量:74.08

结构式:HOOC-CH2-CH3

(1)理化性质,无色易流动、易燃液体。

m.p. -80.5℃ 0.918~0.921; 0.9250~0.9315

b.p. 64.3℃ RI 1.3590~1.3630

f.p. -20℃

(2)溶解度:微溶于水,以1∶0.5以上溶于50%乙醇,溶于大多数有机溶剂。

(3)天然存在:存在于齿芽波罗尼油、蜂蜜、苹果和梨中。

(4)感官特征:刺鼻的果实香气,带些朗姆酒的风味,轻飘易扩散,味苦。

(5)应用:用于谐调烟用香精中的水果香和酒香。

(6)安全管理:NI,FEMA2434,FDA121.1164,COE339,国食I1222,标P.187。

2.乙酸乙酯(Ethyl acetate)

其他名称:醋酸乙酯(Acetic ester,Acetidin,Vinetgar naphtha)。

分子式:C4H8O2 相对分子质量:88.10

(1)理化性质:无色易流动液体。

m.p. -83.4℃ 0.9000~0.9040

b.p. 75~76℃ RI 1.3723

f.p. 3℃

(2)溶解度:溶于大多数有机溶剂,溶于乙醚,乙醇,以大约1∶10的比例溶于水。

(3)天然存在:存在于一些天然水果的芳香成分中。

(4)感官特征:似菠萝的果香,有苦甜酒样的辣味道。

(5)应用:在烟用香精中调制果香、酒香的头香风味。

(6)安全管理:NI,FEMA2414,FDA GRAS,COE191,国食I1223。

3.乙酸丁酯(Butyl acetate)

分子式:C6H12O2 相对分子质量:116.16

(1)理化性质:无色液体。

m·p· -76·8℃ 0.8830~0.88870; 0.882

b.p. 126.5℃ RI 1.3942

酸值 <0.2℃

(2)溶解度∶极微量溶于水,可溶于大多数有机溶剂。

(3)天然存在:存在于朗姆醚中。

(4)感官特征:强烈的水果香气,具有先辣后甜的似菠萝样的味道。

(5)应用:在烟草中用于增强水果风味。

(6)安全管理∶NI,FEMA2174,FDA121.1164,COE194,国食I1229。

4.乙酸异丁酯(Isobutyl acetate)

分子式∶C6H12O2 相对分子质量:116.16

(1)理化性质:无色液体。

m·p· 116·5℃ 0.8710~0.8785

f.p. 30℃ 酸值<0.2

(2)溶解度:微溶于水,溶于大多数有机溶剂。

(3)天然存在:存在于覆盆子、梨和菠萝等水果中。

(4)感官特征∶有红醋栗和梨样的果香,似风信子——玫瑰样的花香。特殊的醚样的微苦味道。

(5)应用:在烟用香精中用于调配带果味的头香。

(6)安全管理:NI,FEMA2175,FDA121.1164,COE195,国食I1230。

5.乙酸异戊酯(Isoamyl acetate)

其他名称∶醋酸β-甲基丁醋(β-Methylbutyl acetate)

分子式∶C7H14O2 相对分子质量:130.18

(1)理化性质:无色液体。

m·p· -78.5℃ RI 1.4000~1.4040

b·p· 142.5℃/2666Pa 酸值 <1.0

0.868~0.878

(2)溶解度∶几乎不溶于水,以1∶3或高于1:3溶于60%乙醇,溶于大多数普通有机溶剂。

(3)天然存在:存在于香蕉和可可豆的挥发性成分中。

(4)感官特征:强烈的水果香气,有梨的酸甜味道。

(5)应用:烟草香精中用于调配果香。

(6)安全管理:NI,FEMA2055,FDA121.1164,COE214,国食I1231,标P.137。

6.乙酸己酯(Hexyl acetate)

分子式:C8H16O2 相对分子质量:144.22

(1)理化性质:无色油状液体。

m.p. -81℃ 0.8718

b.p. 171~172℃;61~62℃/1600Pa RI 1.4092

(2)溶解度:不溶于水,可溶于乙醇和乙醚。

(3)天然存在:存在于欧洲草莓的芳香成分中。

(4)感官特征:有青甜果香,似梨和浆果,并带有花香气息,味酸甜。

(5)应用:增强烟草制品的果香和酒香风味。

(6)安全管理:NI,FEMA2565,FDA121.1164,COE196,国食I1232。

7.乙酸辛酯(Octyl acetate)

其他名称:醋酸正辛酯(n-octyl acetate),Acetate C-8,Capryl acetate。

分子式:C10H20O2 相对分子质量:172.27

(1)理化性质:无色液体。

b.p. 203~208℃ 0.865~0.868; 0.8730~0.8740

f.p. 88.5℃ RI 1.4180~1.4210

(2)溶解度:以1∶4溶于70%乙醇,以1∶15~20溶于60%乙醇,可溶于大多数普通有机溶剂。

(3)天然存在:存在于绿茶和独活的精油中,也可从苦橙的精油中检出。

(4)感官特征:似橙花和茉莉的花果香,微带脂腊和青气。微苦的水果味道。

(5)应用:在烟草香精中用于调配果香和酒香,增加香味浓度,改善烟味的醇和感。

(6)安全管理:NI,FEMA2806,FDA121.1164,COE197,国食I1235。

8.乙酸壬酯(Nonyl acetate)

其他名称:醋酸正壬酯(n-Nonyl acetate),Acetate C-9,Nonanol acetate。

分子式:C11H22O2 相对分子质量:186.30

(1)理化性质:无色液体。

b.p, 212℃ RI 1.4220~1.4260

0.864~0.868, 0.8785

(2)溶解度:以1∶1溶于80%乙醇,以1∶6溶于70%乙醇。

(3)天然存在:存在于多种天然产物中。

(4)感官特征:蘑菇-栀子似的花果香,还带叶青香和脂蜡气。

(5)应用:在烟用香精中用于调配果香和酒香风味。

(6)安全管理:NI,FEMA2788,FDA121.1164,COE221,国食I1241,标P.254。

9.乙酸癸酯(Decyl acetate)

其他名称:Acetate C-10,Decanyl acetate。

分子式:C12H24O2 相对分子质量:200.32

(1)理化性质:无色液体。

b.p. 272℃,125.6~125.8℃/2066.6Pa RI 1.4250~1.4300

0.862~0.866

(2)溶解度:不溶于水,以1∶2溶于80%乙醇中。

(3)天然存在:存在于橙子、柠檬、甜瓜和苹果中。

(4)感官特征:有甜的花香,似栀子-玫瑰香气,极稀时有菠萝样底香的甜美风味。

(5)应用:在烟用香精中用来谐调果香酒香。

(6)安全管理:NI,FEMA2367,FDA121.1164,COE199,国食I1239。

10.乙酸反-2-己烯-1-醇酯(Trans-2-Hexen-1-yl acetate)

分子式:C8H14O2 相对分子质量:142.19

(1)理化性质:无色液体。

b.p. 67~68℃/2133Pa RI 1.42765

0.898

(2)感官特征:有令人愉快的水果香气和水果味道。

(3)应用:用于调制鲜果青香风味,增强烟草制品的清香。

(4)安全管理:NI,FEMA2564,FDA121.1164,COE643,国食I1233。

11.乙酸顺-3-己烯-1-醇酯(cis-3-Hexen-1-yl acetate)

其他名称:Verdural(商品名称)

分子式:C8H14O2 相对分子质量:142.19

(1)理化性质:无色液体

b.p. 66℃/2133Pa RI 1.425~1.428

d 0.895~0.905

(2)溶解度:几乎不溶于水、溶于乙醇和丙二醇。

(3)天然存在:存在于苹果、欧洲越橘、番石榴、草莓和红茶及绿茶中。

(4)感官特征:典型的天然青香,似香蕉皮的青香气。

(5)应用:增添烟草制品的自然清香风味。

(6)安全管理:NI,FEMA3171,国食I1253,标P.204。

12.乙酸香叶酯(Geranyl acetate)

其他名称:2,6-二甲基-2,6辛二烯-8-醇醋酸酯(2,6-Dimethyl-2,6-octadien-8-yl acetate),醋酸香叶酯。

分子式:C12H20O2 相对分子质量:196.29

结构式:

(1)理化性质:无色液体。

b.p. 245℃;127~129℃/2933Pa RI 1.4570~1.4620

0.900~0.910 OP [α]D-2.0°~+3°

(2)溶解度:微溶于水,溶于乙醇、丙二醇和油类。

(3)天然存在:大量存在于斯里兰卡香茅、玫瑰草、枫茅、橙叶、苦橙、香叶、芫荽、胡萝卜、黄樟和几种澳洲柏中。

(4)感官特征:有令人愉快的玫瑰、薰衣草样的花香气。味辣,带甜。

(5)应用:烟草中用作矫味剂,也用于调配果香和酒香。

(6)安全管理:NI,FEMA2509,FDA GRAS,COE201,国食I1235,标P.198。

13.乙酸芳樟酯(Linalyl acetate)

其他名称:3,7-二甲基,-1,6-辛二烯-3-醇醋酸酯(3,7-Dimethyl-1,6-octadien-3-yl acetate),Bergamol。

分子式:C12H20O2 相对分子质量:196.29

结构式:

(1)理化性质:无色液体。

b.p. 115~116℃/3333Pa(单离天然品)

f.p. 85℃(单离天然品)

0.9060(单离天然品),0.895~0.905(合成品)

OP [α]D-7°42′~+8°18′(单离天然品)

OP [α]D土0°(合成品)

酸值 <0.5(合成品)

(2)溶解度:不溶于水,以1∶3~1∶5溶于70%乙醇,溶于精油和大多数一般有机溶剂中。

(3)天然存在:存在于香柠檬,薰衣草、香紫苏和杂薰衣草的精油中。

(4)感官特征:清甜的花香和果香,似香柠檬、薰衣草和梨的清香。

(5)应用:烟草香精中用来提调果香、花香香韵,改善香烟吸味风格。

(6)安全管理:NI,FEMA2636,FDA GRAS,COE203,国食I1257T,标P.222。

14..乙酸薄荷酯(Menthyl acetate)其他名称:对--3-醇乙酸酯(p-Menth-3-yl acetate)

分子式:C12H22O2 相对分子质量:198.31

结构式:

(1)理化性质:无色液体。

b.p. 227~228℃ RI 1.4440~1.4472

f.p. 92℃ OP l-体:[α]D-72°47′~-73°18′

0.9220~0.9310, 0.9264

(2)溶解度:能溶于精油和许多普通溶剂,以1:1溶于80%乙醇。

(3)天然存在:薄荷油的一种主要成分。

(4)感官特征:低浓度时有薄荷和玫瑰似的清凉气味,比薄荷醇要柔和,有甜的清凉感。

(5)应用:用于调制薄荷型凉味烟,少量可用于掩盖烟气的刺激性。

(6)安全管理:NI,FEMA2668,FDA121.1164,COE206,国食I1244。

15.乙酸松油酯(Terpinyl acetate)

其他名称:p--1-烯-8-醇醋酸酯(p-Menth-1-en-8-ylacetate)

分子式:C12H20O2 相对分子质量:196.29

结构式:

(1)理化性质:纯净无色的液体。

b.p. α-dl-体:220℃ RI α-dl-体:1.4680

f.p. α-dl-体:85℃ OP [α]D+9°~-9°

d α-dl-体: 0.9704

(2)溶解度:以1∶5溶于70%乙醇,溶于各种精油以及大多数有机溶剂中。

(3)天然存在:存在于柏木的精油和玛拉巴小豆蔻,白千层、绿花千层、西伯利亚针叶松等的精油中。

(4)感官特征:有香柠檬和薰衣草样的香气,香气持久。开始稍有刺激味,后转为红醋栗样的酸甜味道。

(5)应用:在烟草香精中用来增强果香和辛香。

(6)安全管理:NI,FEMA3047,COE205,国食I1251,标P.266。

16.乙酸龙脑酯(Bornyl acetate)

其他名称:乙酸冰片酯

分子式:C12H20O2 相对分子质量:196.29

结构式:

(1)理化性质:在室温下为无色液体,于26~27℃以下凝固为整体结晶。d-体和l-体的乙酸龙脑酯理化性质见表5-6-12。

表5-6-12 乙酸龙脑酯的理化性质

(2)溶解度:l-体以1∶3溶于70%乙醇。

(3)天然存在:存在于加拿大铁彬、白冷彬、白云彬、赤云彬、东方云彬、赤松、美洲落叶松、澳洲柏和银枞等许多植物油中。

(4)感官特征:强的清凉松木气,有凉辣味。

(5)应用:能加强烟草清香飘逸的风格,缓和烟气吸味。

(6)安全管理:NI,FEMA2159,FDA121.1164,COE207,国食I1243,标P.218。

17.乙酸苯乙酯(Phenethyl acetate)

其他名称:醋酸2-苯乙酯(2-Phenylethyl acetate),醋酸苄甲酯(Benzyl carbinylacetate)。

分子式:C10H20O2 相对分子质量:164.21

结构式:

(1)理化性质:无色液体。

b.p. 232℃ RI 1.4970~1.5010

f.p. 105℃ 酸值 <1

d 1.030~1.034

(2)溶解度:以1∶2以上溶于70%乙醇,溶于大多数普通有机溶剂。

(3)天然存在:存在于许多天然产物中。

(4)感官特征:玫瑰-蜂蜜样的底香的花香香气,甜的像草莓似的水果味。

(5)应用:在烟草制品中,增添玫瑰花的蜜甜风味和水果香气。

(6)安全管理:NI,FEMA2857,FDA121.1164,COE221,国食I1241,标P.254。

18.乙酸肉桂酯(Cinnamyl acetate)

分子式:C11H12O2 相对分子质量:176.22

结构式:

(1)理化性质:无色至浅黄色液体。

b.p. 265℃,114℃/400Pa 1.047~1.051, 1.050

f.p. 118℃ RI 1.5400~1.5430

(2)溶解度:不溶于水,以1∶5溶于70%乙醇,溶于大多数有机溶剂。

(3)天然存在:存在于银白金合欢花的精油中。

(4)感官特征:甜且柔和的膏香和花果香气,有巧克力、香荚兰和脂香香味。

(5)应用:能增浓烟草制品的辛香、果香和膏香风味。

(6)安全管理:NI,FEMA2293,FDA121.1164,COE208,国食I1245。

19.乙酸茴香酯(Anisyl acetate)

其他名称:醋酸p-甲氧基苄酯(p-Methoxybenzyl acetate)

分子式:C10H12O3 相对分子质量:180.21

结构式:

(1)理化性质:无色至微黄色液体。

b.p. 270℃ RI 1.5110~1.5160, 1.515

酸值 <1.0 1.104~1.107, 1.014

(2)溶解度:不溶于水,以1∶6溶于60%乙醇。

(3)天然存在:存在于红醋栗中。

(4)感官特征:山楂花的特征香,味辛甜。

(5)应用:增强烟草制品的巧克力、可可、香荚豆香和浆果的风味。

(6)安全管理:NI,FEMA2098,FDA121.1164,COE209,国食I1242,标P.145。

20.乙酸柏木酯(Cedryl acetate)

分子式:C17H28O2 相对分子质量:264.41

结构式:

(1)理化性质:无色至透明红琥珀色粘稠液体。

f.p. 100℃ RI 1.4950~1.5060

d 0.966~1.012

(2)溶解度:不溶于水和甘油,以1∶6溶于90%乙醇。

(3)感官特征:甜的柏木清香,底韵带壤香,似乙酸岩兰草酯的香气风格。

(4)应用:在烟草制品中增加龙涎木的香气。

(5)安全管理:COE527,国食I1252,标P.160。

21.乙酸对甲苯酯(p-TolyI acetate)

其他名称:乙酰基对甲酚(Acetyl-p-cresol),醋酸对甲酚酯(p-Cresyl acetate)

分子式:C9H10O2 相对分子质量:150.8

结构式:

(1)理化性质:无色透明液体。

b.p. 208~209℃ RI 1.4990~1.5020

f.p. 95℃ 酸值 <1

1.044~1.050

(2)溶解度:以1∶2溶于70%乙醇,以1∶12%溶于60%乙醇,溶于大多数有机溶剂。

(3)天然存在:存在于罗兰和依兰依兰精油。

(4)感官特征:强烈的似水仙样的花香,蜜甜风味。

(5)应用:可补充烟草制品的酚香特色。

(6)安全管理:NI,FEMA3073,FDA121.1164,COE226,国食I1248,标P.171。

22.乙酰乙酸乙酯(Ethyl acetoacetate)

其他名称:β-丁酮酸乙酯(Ethyl β-ketobutyrate),3-氧代丁酸乙酯(3-Oxobutyrate)。

分子式:C6H10O3 相对分子质量:130.14

(1)理化性质:无色液体。

m.p. -45℃ 1.0358, 1.0315~1.0350

b.p. 180~184℃,78℃/1600Pa RI 1.4180~1.4195, 1.4196

f.p. 84.5℃

(2)溶解度:微溶于水,溶于大多数有机溶剂。

(3)感官特征:有醚样的果实和酒的甜香,香气令人愉快,清爽。

(4)应用:烟草香精中常用来调制果香和酒香风味。

(5)安全管理:NI,FEMA2415,FDA121.1164,COE240,国食I1224。

23.乙酸苏合香酯(Styralyl acetate)

其他名称:乙酸α-甲基苄酯(α-Methylbenzyl acetate),乙酸甲基苯基甲醇酯(Methyl phenylcarbinyl acetate)

分子式:C10H12O2 相对分子质量:164.21

结构式:

(1)理化性质:无色液体。

f.p. 81℃ RI 1.4935~1.4970

1.023~1.026; 1.024 酸值 <2

(2)溶解度:以1:7溶于60%乙醇,溶于大多数有机溶剂。

(3)天然存在:存在于栀子花油中。

(4)感官特征:强烈的青香香气,似栀子花,味苦,低浓度时效果较好。

(5)应用:在烟用香精中用来调制花果青香,能使香气透发。

(6)安全管理:NI,FEMA2682,FDA121.1164,COE573,国食I1249,标P.243

24.乙酸岩兰草酯(Vetiveryl acetate)

其他名称:乙酸香根酯

分子式:C17H26O2 相对分子质量:262.38

结构式:

(1)理化性质:几乎无色或淡黄色至浅橄榄绿粘稠液体。

d 0.978~1.022 f.p. >100℃

RI 1.5030~1.5060

(2)溶解度:以1∶2溶于90%乙醇,不溶于水,溶于油质香料。

(3)感官特征:酸甜的干木香,近似岩兰草油香气,但更透发优美。

(4)应用:可提调烟草的木香特征,谐调树脂膏香,增强烟香浓度。

(5)安全管理:国食78,标P.269。本品国外还未列入可食用名单,但其母体香根油已列入FDA172.510,COE479。

25.丙酸乙酯(Ethyl propionate)

分子式:C5H10O2 相对分子质量:102.4

(1)理化性质:无色易流动液体。

f.p. 12℃ RI 1.3830~1.3850

0.8917; 0.8945~0.8985 酸值 <0.2

(2)溶解度:完全混溶于95%的乙醇,易溶于大多数有机溶剂。

(3)天然存在:存在于多种类型的酒中,还存在于白葡萄和可可中。

(4)感官特征:有朗姆酒和菠萝样的果香。果甜味。

(5)应用:在烟用香精中用来调配果香与酒香的韵味。

(6)安全管理:NI,FEMA2456,FDA121.1164,COE402,国食I1267。

26.乙酰基丙酸乙酯(Ethyl levulinate)

其他名称:γ-酮基戊酸乙酯(Ethyl γ-ketovalerate),4-氧代戊酸乙酯(Ethyl4-Oxopentanoate)。

分子式:C7H12O3 相对分子质量:144.17

(1)理化性质:无色液体。

b.p. 206℃,103~105℃/3200Pa RI 1.4218

1.0135

(2)溶解度:溶于水、溶于乙醇和大多数有机溶剂。

(3)感官特征:有果实的青甜香气,似青苹果的生青味。

(4)应用:在烟草制品中能提调水果的清新风味。

(5)安全管理:FEMA2443,FDA121.1164,COE373。

27.丙二酸二乙酯(Diethyl malonate)

其他名称:丙二酸乙酯(Ethyl malonate)

分子式:C7H12O4 相对分子质量:160.17

(1)理化性质:无色液体。

b.p. 199~200℃,82~83℃/1467Pa RI 1.4139

1.0511

(2)溶解度:不溶于水,与乙醇和乙醚混溶。

(3)感官特征:有温和的果青香,带些轻微膏香。

(4)应用:在烟用香精中用于调配果香和酒香风味。

(5)安全管理:FEMA2375,FDA121.1164,COE2106,国食I1269。

28.丁酸甲酯(Methyl butyrate)

分子式:C5H10O2 相对分子质量:102.13

(1)理化性质:无色易流动液体。

b.p. 102℃ 0.8961, 0.905

f.p. 14℃ RI 1.3873

(2)溶解度:以1∶60溶于水,能与乙醇和乙醚相混溶。

(3)感官特征:似苹果皮样的尖锐、醚样的甜果香气,味甜如苹果、香蕉,菠萝的感觉。

(4)应用:在烟草香精中用于调配果香,果酒香等风味。

(5)安全管理:NI,FEMA2693,FDA121.1164,COE2002,国食I1271。

29.丁酸乙酯(Ethyl butyrate)

分子式:C6H12O2 相对分子质量:116.16

(1)理化性质:无色液体。

b.p. 121~122℃ RI 1.3910~1.3940

f.p. 26℃ 酸值 <1

0.870~0.877, 0.8825~0.8860

(2)溶解度:以1∶3溶于60%乙醇。

(3)天然存在:存在于草莓果汁、橄榄油和其他植物油的香味成分。

(4)感官特征:香气似香蕉和菠萝的果实香。甜果实的味感。

(5)应用:在烟用香精中调配果香风味,并能使烟香的柔和飘逸。

(6)安全管理:NI,FEMA2427,FDA GRAS,COE264,国食I1273,标P.184。

30.丁酸异丁酯(Isobutyl butyrate)

其他名称:丁酸2-甲基丙酯(2-Methylpropanyl butyrate)

分子式:C8H16O2 相对分子质量:144.22

(1)理化性质:无色液体。

b.p. 157~158℃,51~52℃/1600Pa RI 1.4020~1.4050

0.859~0.863, 0.8619 酸值 <1.0

(2)溶解度:以1∶8溶于60%的乙醇中,微溶于水。

(3)天然存在:存在于某些天然产物中。

(4)感官特征:有苹果、菠萝般甜的水果香气,朗姆酒样的甜味。

(5)应用:用于烟草制品中能增强果香和酒香,改善吸味品质。

(6)安全管理:NI,FEMA2187,FDA121.1164,COE269,国食I1278,标P.212。

31.丁酸异戊酯(Isoamyl butyrate)

其他名称:lsopentyl butyrate

分子式:C9H18O2 相对分子质量:158.24

(1)理化性质:无色液体。

b.p. 177~178℃ 0.860~0.864, 0.8642

f.p. 65℃ RI 1.4090~1.4140

酸值 <1.0

(2)溶解度:以1∶4和高于1∶4溶于70%乙醇。

(3)天然存在:存在于马卡桉和椰子油中,在可可豆和苹果汁中也检出。

(4)感官特征:强烈的似梨、杏、香蕉、菠萝的水果香气,味甜有果实感。

(5)应用:可用于带果香、巧克力香的烟用香精中。

(6)安全管理:NI,FEMA2060,FDA121.1164,COE282,国食I1224,标P.138

32.2-甲基丁酸甲酯(Methyl 2-methylbutyrate)

其他名称:甲基乙基醋酸甲酯(Methyl methylethylacetate)

分子式:C6H12O2 相对分子质量:116.16

(1)理化性质:无色液体。

b.p. 115~116℃ RI 1.3942

0.8815

(2)溶解度:极微量溶于水,溶于乙醇。

(3)天然存在:存在于新鲜草莓汁中。

(4)感官特征:带刺激的水果香气,在低浓度时有甜的苹果风味。

(5)应用:在烟草制品中修饰果香和薄荷香味。

(6)安全管理:NI,FEMA2719,FDA121.1164,COE2085,国食I1272。

33.丁酰乳酸丁酯(Butyl butyrylacetate)

其他名称:乳酸丁酯丁酸酯

分子式:C11H20O4 相对分子质量:216.28

(1)理化性质:无色至浅黄色液体。

b.p. 90℃/266.6Pa RI 1.4215

0.9731

(2)溶解度:微溶于水,溶于乙醇、丙二醇和油类。

(3)感官特征:有奶油和牛奶的甜酸香味,还有果实风味。

(4)应用:在烟草中用于充实脂香和豆奶香。

(5)安全管理:FEMA2190,FDA121.1164,COE2107,国食I3046。

34.丁二酸二乙酯(Diethyl succinate)

其他名称:Diethyl butanedioate,Diethyl ethanedicarboxylate,Ethyl succinate。

分子式:C8H14O4 相对分子质量:174.20

(1)理化性质:无色至浅黄色透明液体。

b.p. 216℃,105℃/2000Pa RI 1.4190~1.4230

1.0416; 1.031~1.041 酸值 <1.0

(2)溶解度:以1∶1溶于60%乙醇。

(3)天然存在:存在于苹果和可可中。

(4)感官特征:微弱愉快的香气。

(5)应用:用于调制酒香和果香,在烟草制品中用能改善吸味。

(6)安全管理:NI,FEMA2377,FDA121.1164,国食I1304,标P.176。

35.乳酸乙酯(Ethyl lactate)

其他名称:α-羟基丙酸乙酯(Ethyl α-hydroxypropionate)

分子式:C5H10O3 相对分子质量:119.12

(1)理化性质:无色液体。见表5-6-13。

表5-6-13 乳酸乙酯的理化性质

(2)溶解度:溶于水和乙醇及油类。

(3)天然存在:两种旋光体和外消旋体均有天然存在。

(4)感官特征:有温和的醚样奶油香气,果实和奶油的口味。

(5)应用:能加强烟草制品的香气风格。

(6)安全管理:NI,FEMA2440,FDA121.1164,COE371,国食I1367。

36.异戊酸乙酯(Ethyl isovalerate)

其他名称:β-甲基丁酸乙酯(Ethyl β-methylbutyrate)

分子式:C7H14O2 相对分子质量:130.18

(1)理化性质:无色液体。

b.p. 134℃ 0.860~0.865, 0.8695~0.8725

f.p. 35℃ RI 1.3950~1.3990

酸值 <1.0

(2)溶解度:以1∶4溶于60%乙醇。

(3)天然存在:存在于菠萝果实中,也存在于若干种苏联香槟酒中。

(4)感官特征:强的水果香与酒香,稀释后似苹果香,味酸甜有水果味。

(5)应用:在烟草制品中用能增添果香酒香风味,并改进吸味。

(6)安全管理:NI,FEMA2463,FDA121.1164,COE442,国食I1308,标P.191。

37.异戊酸异戊酯(Isoamyl isovalerate)

其他名称:lsopentyl isovalerate

分子式:C10H20O2 相对分子质量:174.20

(1)理化性质:无色液体。

b.p. 193℃ f.p. 72℃

0.8600~0.8625, 0.8583

RI 1.4125~1.4135, 1.4100

酸值 <0.09

(2)溶解度:不溶于水,溶于大多数有机溶剂,以1∶6.5溶于70%乙醇。

(3)天然存在:存在于香蕉、酒、啤酒花油和橄榄油中。

(4)感官特征:有熟苹果的特征香气,味似鲜苹果皮的口感。

(5)应用:在烟草香精中用于调制果香和酒香风味。

(6)安全管理:NI,FEMA2085,FDA121.1164,COE458,国食I1310。

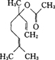
38.己酸异戊酯(Isoamyl hexanoate)

其他名称:lsoamyl capronate,lsopentyl hexanonate。

分子式:C11H22O2 相对分子质量:186.30

(1)理化性质:无色液体。

b.p. 94~96℃/1333Pa RI 1.4180~1.4220

f.p. 88℃ 酸值 <1.0

0.858~0.863, 0.8650~0.8670

(2)浓解度:以1∶3溶于80%的乙醇,不溶于水。

(3)天然存在:存在于发酵产品和加利福尼亚柑橘的果皮中。

(4)感官特征:新鲜果实香气,似苹果、草莓、菠萝的果香口感。

(5)应用:烟草香精中用来修饰酒香风味。

(6)安全管理:NI,FEMA2075,FDA121.1164,COE320,国食I1321,标P.139。

39.辛酸甲酯(Methyl octanoate)

其他名称:Methyl caprylate,methyl octoate,Methyl octylate。

分子式:C9H18O2 相对分子质量:158.24

(1)理化性质:无色油状液体。

b.p. 200℃ 0.887, 0.8784

RI 1.4180

(2)溶解度:不溶于水,溶于乙醇。

(3)天然存在:存在于鸢尾精油、凤梨果实、草莓、菠萝和梨中。

(4)感官特征:强烈的酒香、水果香和柑橘样香气,油性的橙子气息。

(5)应用:在烟草制品中用能加强烟香烟味的浓度,香气与烤烟谐调。

(6)安全管理:NI,FEMA2728,FDA121.1164,COE398,国食I1331。

40.辛酸乙酯(Ethyl octanoate)

其他名称:Ethyl caprylate,Ethyl octylate。

分子式:C10H20O2 相对分子质量:172.27

(1)理化性质:无色液体。

m.p. -43 ℃ f.p. 85℃

b.p. 208℃ RI 1.4170~1.4190

0.865~0.869, 0.8710~0.8750

酸值 <1.0

(2)溶解度:以1∶4或更大的比例溶于70%乙醇,以1∶1~1:2溶于90%乙醇,溶于大多数有机溶剂。

(3)天然存在:据报道有天然存在。

(4)感官特征:有愉快的花果香气,带果酒香,味甜似杏子和菠萝等果实。

(5)应用:能赋予烟草制品果香和蒸馏酒的风味。

(6)安全管理:NI,FEMA2449,FDA121.1164,COE392,国食I1322,标P.189。

41.壬酸乙酯(Ethyl nonanoate)

其他名称:Ethyl nonylate,Ethyl pelargonate。

分子式:C11H22O2 相对分子质量:186.30

(1)理化性质:无色液体。

m.p. -44.5℃ 0.8700~0.8725

b.p. 228℃ RI 1.4215~1.4230

f.p. 85℃ 酸值 <0.9

(2)溶解度:不溶于水,溶于水与乙醚混合液,以1∶1.5~2的比例溶于80%乙醇。

(3)天然存在:存在于菠萝、香蕉和苹果中。

(4)感官特征:有果香、玫瑰香和康乃克似的香气。

(5)应用:专供烟草香精用的酒香调料。

(6)安全管理:NI,FEMA2447,FDA121.1164,COE388,国食I1339。

42.癸酸乙酯(Ethyl decanoate)

其他名称:Ethyl decylate

分子式:C12H24O2 相对分子质量:200.31

(1)理化性质:无色液体。

m.p. -20℃ RI 1.4240~1.4270

b.p. 241~242℃,118~121℃/2000Pa 酸值 <1.0

0.863~0.868, 0.865

(2)溶解度:以1∶4溶于80%乙醇。

(3)天然存在:存在于康乃克酒中。

(4)感官特征:在康乃克酒和近似于葡萄的水果香气。

(5)应用:在烟草香精中用于调制果香、坚果香和酒香风味。

(6)安全管理:NI,FEMA2432,FDA121.1164,COE309,国食I1340,标P.190。

43.癸二酸二乙酯(Diethyl sebacate)

其他名称:1,8辛烷二羧酸二乙酯(Diethyl octanedicarboxylate),Diethyl decanedioate Ethyl sebacate。

分子式:C14H26O4 相对分子质量:186.30

(1)理化性质:无色至浅黄色液体。

m.p. 1~3℃ 0.9640

b.p. 297℃ RI 1.4367

f.p. 84.5℃

(2)溶解度:能溶于水,与乙醇、乙醚及其他有机溶剂混溶。

(3)感官特征:淡弱的酒香和果实香。

(4)应用:在烟草制品中谐调果香,改善烟气吸味。

(5)安全管理:FEMA2376,FDA121.1164,COE623,国食A3038。

44.月桂酸乙酯(Ethyl laurate)

其他名称:十二烷酸乙酯(Ethyl dodecanoate)

分子式:C14H28O2 相对分子质量:228.37

(1)理化性质:无色油状液体。

b.p. 272~273℃,141~142℃/1067Pa RI 1.4300~1.4340

f.p. >100℃ 酸值 1.0

0.858~0.862

(2)溶解度:以1∶9溶于80%乙醇,以1∶1溶于90%乙醇。

(3)天然存在:存在于某些天然植物中。

(4)感官特征:有似叶和花瓣的清香,味不太甜的果实感。带油脂气。

(5)应用:用于调制烟草香精的果香和酒香的风味。

(6)安全管理:NI,FEMA2441,FDA121.1164,COE375,国食I1342。

45.肉豆蔻酸甲酯(Methyl myristate)

其他名称:十四烷酸甲酯(Methyl tetradecanoate)

分子式:C15H30O2 相对分子质量:242.41

(1)理化性质:无色油状液体或白色蜡状固体。

m.p. 18℃ 0.870

b.p. 300℃ RI 1.4875

(2)溶解度:不溶于水,溶于乙醇和油类中。

(3)天然存在:存在于紫罗兰根中。

(4)感官特征:类似蜂蜜和鸢尾样的香气。

(5)应用:在烟草制品中能与烟香谐调,提高香气醇和度与甜香风格。

(6)安全管理:NI,FEMA2722,FDA121.1164,COE387,国食I1343。

46.肉豆蔻酸乙酯(Ethyl myristate)

其他名称:十四烷酸乙酯(Ethyl tetradecanoate)

分子式:C16H32O2 相对分子质量:256.44

(1)理化性质:无色液体。

m.p. 10.5℃ 0.860

b.p. 295℃ RI 1.4400

(2)溶解度:极微量溶解于乙醇和乙醚中,微溶于石油醚。

(3)天然存在:存在于从糖蜜得来的杂醇油残余物中。

(4)感官特征:温和的脂肪气,稍带鸢尾香底韵,有坚果与脂肪的味感。

(5)应用:用以调制果香、蜜甜香和酒香风味。在烟草制品中可提高和改善烟气品质。

(6)安全管理:NI,FEMA2445,FDA121.1164,COE385,国食I1367。

47.乳酸薄荷脂(Menthyl lactate)

分子式:C13H24O3 相对分子质量:228.19

结构式:

(1)理化性质:无色粘稠液体。

m.p. 15~16℃ d 0.9100~0.9300

OP -34°~+36° 酸值 <1.0

RI 1.4400~1.4450

(2)溶解度:以1∶(8~10)的比例溶于80%乙醇。

(3)感官特征:纯品(98%)有微弱清甜脂香,入口略感苦辣后转为持久浓清的凉味;粗品(70%)有淡弱似薄荷样糖蜜香气,吃味开始酸苦稍辣后转清凉,味持久。

(4)应用:可用于凉味薄荷型卷烟中。

48.苯甲酸乙酯(Ethyl benzoate)

其他名称:Ethyl benzenecarboxylate

分子式:C9H10O2 相对分子质量:150.18

结构式:

(1)理化性质:无色液体。

m.p. -34~35℃ 1.0458, 1.043~1.046

b.p. 213℃ RI 1.5030~1.5060

f.p. 88℃ 酸值 <1

(2)溶解度:以1∶6溶于60%乙醇,以1∶3溶于70%乙醇,几乎不溶于水。

(3)天然存在:存在于生和熟桃子中,也存在于菠萝和红醋栗中。

(4)感官特征:有暖浓的花香和果实香气,甜的浆果样脂香味。

(5)应用:用于烟草制品中可修饰水果风味。

(6)安全管理:NI,FEMA2422,FDA121.1164,COE261,国食I1395,标P.183。

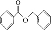
49.苯甲酸苄酯(Benzyl benzoate)

其他名称:Benzyl benzenecarboxylate,Benzyl phenylformate。

分子式:C14H12O2 相对分子质量:212.24

结构式:

(1)理化性质:叶状固体或油粗液体。

m.p. 18~19℃ 1.116~1.120

b.p. 342℃,170~171℃/1467Pa RI 1.568~1.570, 1.5685

f.p. 148℃

(2)溶解度:不溶于水,不溶于甘油,溶于乙醇、氯仿和乙醚,以1∶2溶于90%乙醇中。

(3)天然存在:存在于秘鲁香脂,也存在于晚香玉花、风信子、长寿花和香石竹花的精油和浸膏中。

(4)感官特征:清淡的香脂香,有近似杏仁的香气,有辣味。

(5)应用:在烟草制品中用可以改善吸味。

(6)安全管理:NI,FEMA2138,FDA121.1164,COE262,国食I1349。

50.苯乙醇甲酯(Methyl phenylacetate)

分子式:C9H10O2 相对分子质量:150.18

结构式:

(1)理化性质:无色或近乎无色的液体。

b.p. 215℃ 1.061~1.067, 1.0633

f.p. 89℃ RI 1.5050~1.5090, 1.5091

酸值 <1.0

(2)溶解度:以1:2溶于70%乙醇,不溶于水,溶于大多数有机溶剂。

(3)天然存在:存在于可可、咖啡及草莓中。

(4)感官特征:浓郁的蜂蜜和茉莉花香,有甜的蜂蜜样风味。

(5)应用:具有改善卷烟吸味的作用,可用于雪茄烟香精。

(6)安全管理:NI,FEMA2733,FDA121.1164,COE2155,国食I1344,标P.241。

51.苯乙酸异丁酯(lsobutyl phenylacetate)

其他名称:lsobutyl α-toluate

分子式:C12H16O2 相对分子质量:192.26

结构式:

(1)理化性质:无色液体。

b.p. 253℃ 0.984~0.988

f.p. 116℃ RI 1.4860~1.4880

酸值 <1.0

(2)溶解度:以1∶2以上溶于80%乙醇中。

(3)感官特征:玫瑰花样的蜜甜香,有麝香底韵,味甜似蜂蜜。

(4)应用:在烟草制品中增强蜜甜和花香,提高烟气浓度并改善吸味。

(5)安全管理:FEMA2210,FDA121.1164,COE2160,标P.213。

52.苯乙酸异戊酯(lsoamyl phenylacetate)

其他名称:lsoamyl α-toluate,lsopentyl phenylacetate。

分子式:C13H18O2 相对分子质量:206.28

结构式:

(1)理化性质:无色油状液体。

b.p. 265~266℃/9.64×104Pa RI 1.4850~1.4870

f.p. >100℃ 酸值 <1.0

0.982; 0.975~0.977

(2)溶解度:以1∶3溶于80%乙醇中。

(3)感官特征:愉快的可可芳香,并带有麝香气息底韵,在树脂与烟熏香气。留香持久。

(4)应用:可用于调配香料烟香精。

(5)安全管理:FEMA2801,FDA121.1164,COE2161,国食I1345。

53.苯乙酸丁酯(Butyl phenylacetate)

其他名称:Butyl α-toluate

分子式:C12H16O2 相对分子质量:196.26

结构式:

(1)理化性质:无色液体。

b.p. 260℃ RI 1.4880~1.4910

f.p. 74℃ 酸值 <1.0

0.991~0.994

(2)溶解度:以1∶2溶于80%乙醇。

(3)感官特征:愉快的玫瑰、蜂蜜样香气,味甜似蜂蜜,有花香韵味。

(4)应用:在烟草制品中增添蜜甜香味。

(5)安全管理:FEMA2209,FDA121.1164,COE2159,国食A3041T。

54.苯乙酸乙酯(Ethyl phenylacetate)

其他名称:Ethyl α-toluate

分子式:C10H12O2 相对分子质量:164.21

结构式:

(1)理化性质:无色的或近乎无色液体。

b.p. 229℃,100℃/1333Pa RI 1.4960~1.5000

f.p. >100℃ 酸值 <1.0

1.027~1.032

(2)溶解度:以1∶3溶于70%乙醇,不溶于水。

(3)天然存在:据报道有天然存在。

(4)感官特征:有令人愉快的甜蜜样香气,苦甜风味。

(5)应用:用于调制蜂蜜、杏、樱桃和奶油等香精,在烟草制品中增进蜜甜风味。

(6)安全管理:NI,FEMA2452,FDA121.1164,COE2156,国食I1352T,标P.192。

55.3-甲基-3-苯基缩水甘油酸乙酯(3-Methyl-3-phenyl glycidic acid ethyl ester)

其他名称:十六醛(Aldehyde C-16),α,β-环氧-β-甲基氢化肉桂酸乙酯(Ethyla,β-epoxy-β-methyl hydrocinnamate),α,β-环氧-β-甲基-β-苯基丙酸乙酯(Ethylα,β-epoxy-β-methyl-β-phenyl propionate),2,3环氧-3-苯基丁酸乙酯,(Ethyl 2,3-epoxy-3-phenyl butanoate),甲基苯基缩水甘油乙酯(Ethyl methylphenylglycidate),草莓醛(Strawberry aldehyde)。

分子式:C12H14O3 相对分子质量:206.24

结构式:

(1)理化性质:无色至苍黄色液体。

b.p. 150~153℃/1067Pa RI 1.5040~1.5130

f.p. >134℃ 酸值 <2

1.088 1.112 游离醛含量 <1%

(2)溶解度:以1∶3以上溶于70%乙醇,不溶于水,溶于大多数有机溶剂。

(3)感官特征:稀释时有强烈的草莓样的水果香气,味甜似草莓果酱的浆果风味。

(4)应用:在烟草制品中修饰或调制果香,改进吸味,提高烟气的浓郁感。

(5)安全管理:FEMA2703,COE6002,国食A3005T。

56.肉桂酸甲酯(Methyl cinnamate)

其他名称:3-苯基丙烯酸甲酯(Methyl 3-phenylpropenoate)

分子式:C10H10O2 相对分子质量:162.18

结构式:

(1)理化性质:白色至微黄色结晶固体,顺式体是液体。

反式体 顺式体

m.p. 36℃ -3℃

b.p. 254~255℃ 49℃

1.0573

RI 1.5670 1.5582

酸值 <2

(2)溶解度:以1∶1溶于80%乙醇,1∶3溶于丙二醇和水。

(3)天然存在:存在于良姜、灰罗勒的叶油、长寿花油及其根茎油中。

(4)感官特征:强烈的带果香的膏香,低浓度时有草莓样果香,甜香似樱桃和草莓风味。

(5)应用:增强烟草制品的膏香和果香,并有增强烟香烟味浓度的效果。

(6)安全管理:NI,FEMA2698,FDA121.1164,COE333,国食I1359,标P.232。

57.肉桂酸乙酯(Ethyl cinnamate)

其他名称:β-苯基丙烯酸乙酯(Ethyl β-phenylacrylate),3-苯基丙烯酸乙酯(Ethyl3-phenylpropenoate)。

分子式:C11H12O2 相对分子质量:176.22

结构式:

(1)理化性质:几乎无色的油状液体。

m.p. 7~12℃ 1.045~1.048

b.p. 271~272℃,158~159℃/3200Pa RI 1.5590~1.5610

f.p. >100℃ 酸值 <1.0

(2)溶解度:以1∶5溶于70%乙醇,不溶于水,溶于乙醚。

(3)天然存在:通常以反式体存在,也有顺式存在。存在于东方安息香以及白草果的根茎中。

(4)感官特征:有树脂辛香,似果实和蜂蜜香气,味甜有梅子与樱桃的风格,留香持久。

(5)应用:在烟用香精中可充实果香与脂辛香。

(6)安全管理:NI,FEMA2430,FDA121.1164,COE323,国食I1360T。

58.肉桂酸异丁酯(Isobutyl cinnamate)

其他名称:3-苯基丙烯酸异丁酯(Isobutyl 3-phenylpropenoate),β-苯基丙烯酸异丁酯(Isobutyl β-phenylacrylate)。

分子式:C13H16O2 相对分子质量:204.26

结构式:

(1)理化性质:无色液体。

b.p. 145℃/1733Pa RI 1.539~1.541

f.p. >100℃ 酸值 <1.0

1.001~1.004

(2)溶解度:以1∶3溶于80%乙醇中。

(3)天然存在:据报道有天然存在。

(4)感官特征:甜蜜的水果和香脂香,近似红醋栗的甜味道。

(5)应用:在烟草制品中增进水果香和树脂膏香,提高烟香和吸味。

(6)安全管理:NI,FEMA2193,FDA121.1164,国食A3209。

59.肉桂酸异戊酯(Isoamyl cinnamate)

其他名称:3-苯基丙烯酸异戊酯(Isoamyl 3-phenylpropenoate),β-苯基丙烯酸异戊酯(Isoamyl β-phenylacrylate)。

分子式:C14H18O2 相对分子质量:218.29

结构式:

(1)理化性质:无色至浅黄色液体。

0.992~0.997, 0.9995~1.0015

RI 1.5350~1.5390 酸值 <1.0

(2)溶解度:以1∶7溶于80%乙醇中。

(3)天然存在:据报道有天然存在。

(4)感官特征:微弱的树脂膏香,有似可可的香味。

(5)应用:在烟草制品中能增加可可与树脂膏香的香气风味。

(6)安全管理:NI,FEMA2063,FDA121.1164,COE328,国食I1350,标P.139。

60.肉桂酸苄酯(Benzyl cinnamate)

其他名称:β-苯基丙烯酯苄酯(Benzyl β-phenylacrylate),3-苯基丙烯酸苄酯(Benzyl3-phenylpropenoate)

分子式:C16H14O2 相对分子质量238.29

结构式:

(1)理化性质:白色至苍黄色易融结晶固体,在室温下可融为浅黄色液体。

m.p. 反式体:35~36℃,顺式体:30℃ 1.109

b.p. 228~230℃/2933Pa 酸值 <1.0

f.p. >100℃

(2)溶解度:以1∶8溶于90%乙醇。

(3)天然存在:存在于秘鲁香脂和吐鲁香脂中,也存在于苏门达腊安息香和槟榔屿安息香中。

(4)感官特征:甜的香脂香气,蜜样的味道。

(5)应用:增强烟草制品的膏香风味。

(6)安全管理:NI,FEMA2142,FDA121.1164,COE331,国食I1361,标P.151。

61.肉桂酸肉桂酯(Cinnamyl cinnamate)

其他名称:β-苯基丙烯酸肉桂酯(Cinnamyl β-phenylacrylate),3-苯基丙烯酸肉桂酯(Cinnamyl 3-phenylpropenoate),肉桂酸苯基丙烯酯(Phenylallyl cinnamate),Styracin。

分子式:C18H16O2 相对分子质量:264.31

结构式:

(1)理化性质:低熔点结晶固体。

m.p. 44℃ 1.1565

(2)溶解度:不溶于水,以1∶3溶于热的乙醇中,能溶于乙醚。

(3)天然存在:存在于苏合香、胶皮糖香脂、白色秘鲁香脂和洪都拉斯香脂中。

(4)感官特征:特殊的微弱甜香及树脂样香气,是苏合香脂的重要香味成分之-。

(5)应用:在烟用香精中用来增强树脂膏香。

(6)安全管理:NI,FEMA2298,FDA121.1164,COE332,国食I1363。

62.水杨酸甲酯(Methyl salicylate)

其他名称:邻羟基苯甲酸甲酯(Methyl o-hydroxybenzoate)。

分子式:C8H8O2 相对分子质量:152.14

结构式:

(1)理化性质:无色液体。

m.p. -8.3℃ 1.180~1.185

b.p. 222.2℃ RI 1.5350~1.5380

f.p. 96℃

(2)溶解度:以1∶7溶于70%的乙醇,几乎不溶于水,溶于大多数有机溶剂和冰醋酸。

(3)天然存在:存在于冬青葡萄白珠木的油中,也存在于桦木、晚香玉、香石竹、罗马金合欢、依兰依兰和一些水果中。

(4)感官特征:特殊的冬青香气,味甜。

(5)应用:是薄荷型卷烟的增凉剂。

(6)安全管理:NI,FEMA2422,FDA121.1164,COE261,国食I1395,标P.183。

63.葡萄糖酸薄荷酯(Menthyl glucocarboxylate)

分子式:C16H30O7 相对分子质量:334

结构式:

(1)理化性质:白色粉状结晶,易吸潮但不分解,含少量游离薄荷脑。

(2)溶解度:以1∶4溶于65%乙醇中。

(3)感官特征:轻微的薄荷脑凉气。

(4)应用:加在烟丝中,随卷烟抽吸燃烧逐渐分解释放出温和的薄荷凉味,但浓度不够强,常与其他凉味香料配合使用。

(十-)含硫含氮化合物

1.二甲基硫醚(Dimethyl sulfide)

其他名称:甲硫醚(Methyl sulfide)。

分子式:C2H6S 相对分子质量:62.04

结构式:CH3-S-CH3

(1)理化性质:无色液体。

m.p. -83.2℃ 0.8449

b.p. 37.3~37.5℃

(2)溶解度:不溶于水,溶于乙醇和乙醚。

(3)天然存在:存在于美国薄荷油,阿尔及利亚香叶油,以及奶油中。

(4)感官特征:具有萝卜、槟榔样的不愉快气息,在浓度极稀时有蔬菜的青香香气。

(5)应用:在烟草制品中加入可使烟香更具自然风味。

(6)安全管理:NI,FEMA2746,FDA172.515,121.1164,COE483,国食I1407。

2.糠基硫醇(Furfuryl mercaptan)

其他名称:2-呋喃基甲硫醇(2-Furyl methanethiol)

分子式:C5H6OS 相对分子质量:114.17

结构式:

(1)理化性质:油状液体。

b.p. 155℃,47℃/1600Pa RI 1.5329

1.1319

(2)溶解度:不溶于水,溶于有机溶剂和稀碱液中。

(3)感官特征:具有十分强烈的令人不愉快气息,透发扩散,稀释后似咖啡,焦糖的甜香味。

(4)应用:在烟草香精中用于调制和修饰咖啡、巧克力、焦糖、坚果等烘烤的焦甜香韵,改进和提高烟香风味。应用时应特别注意控制用量。

(5)安全管理:NI,FEMA2493,COE2202,国食I1399。

3.3-甲硫基丙醛(3-Methylthiopropionaldehyde)

其他名称:β-甲硫基丙醛(β-Methiopropionaldehyde),Methyl β-mereaptopropional,3-Methylthiopropanal,Methiondl

分子式:C4H8OS 相对分子质量:104.10

结构式:H3C-S-CH2--CH2-CHO

(1)理化性质:淡黄色易流动液体。

b.p. 165℃ d4 1.04

(2)溶解度:几乎不溶于水,溶于乙醇和丙二醇。

(3)天然存在:存在于马铃薯中。

(4)感官特征:强烈的肉汤和肉样香气和香味,带些洋葱气息,稀释后能显示愉快的食品风味。

(5)应用:在烟草中能与烟香谐调,增添香料烟和独特的动物香风韵。

(6)安全管理:NI,FEMA2747,FDA172.519,COE125,国食I1405。

4.3-甲硫基丙酸甲酯(Methyl 3-methylthiopropionate)

其他名称:β-甲硫基丙酸甲酯(Methyl β-methylthiopropionate),Methyl mercaptopropionate,β-methylthiopropionic acid methyl ester。

分子式:C5H10O2S 相对分子质量:134.20

(1)理化性质:无色透明液体。

b.p. 181℃,69℃/1467Pa f.p. 73℃

RI 1.4600

(2)溶解度:极微溶于水,溶于乙醇和丙二醇中。

(3)天然存在:存在于菠萝果中。

(4)感官特征:浓烈的肉香、蒜、洋葱味,高浓度时洋葱气味明显,低浓度时有新颖的菠萝甜水果样的风味。

(5)应用:在烟用香精中用于调制水果香韵,提扬烟草制品的香味风格,改进吸味。

(6)安全管理:NI,FEMA2720,FDA172.515,COE428,国食I1412。

5.2-乙酰基吡咯(2-Acetyl pyrrole)

其他名称:甲基-2-吡咯基酮(Methyl-2-pyrrolyl ketone)

分子式:C6H7ON 相对分子质量:109.13

结构式:

(1)理化性质:结晶体(在水中结晶)。

m.p. 90℃ b.p. 220℃

(2)溶解度:溶于水,乙醇和乙醚。

(3)天然存在:存在于烟草和茶叶的精油中,是炒榛子的挥发性香味成分。

(4)感官特征:有烤面包和炒榛子香味。

(5)应用:能修饰烟香,改善吸味。

(6)安全管理:NI,FEMA3202,COE4035,国食I1448。

6.2-乙酰基-5-甲基吡咯(2-Acetyl-5-methyl pyrrole)

分子式:C7H9ON 相对分子质量:123.15

结构式:

应用:增添烟草制品中令人喜爱的香气和吸味,抽吸时主流烟气和支流烟气中有轻微的樱桃样的回味。

7.1-甲基-2-乙酰基吡咯(1-Methyl-2-acetyl pyrrole)

分子式:C7H9ON 相对分子质量:123.15

结构式:

(1)理化性质:无色到琥珀色液体。

b.p. 88~93℃/2933Pa d 1.0445~1.0468

(2)天然存在:存在于焙烤咖啡的香气成分中。

(3)感官特征:有坚果香,烤香和茶叶的香气。

(4)应用:增加烟草香气并使烟香飘逸清新。

(5)安全管理:NI,FEMA3184。

8.1-乙基-2-乙酰基吡咯(1-Ethyl-2-acetyl pyrrole)

分子式:C8H11ON 相对分子质量:137.18

结构式:

(1)理化性质:无色至浅黄色液体。

d 1.0094 b.p. 80~84℃/1067Pa

(2)天然存在:存在于烟草、煮芦笋、肉类和咖啡的香味成分中。

(3)感官特征:坚果清香,有泥土气底韵。

(4)应用:用以增补和调整烟香。

(5)安全管理:NI,FEMA3147。

9.N-糠基吡咯(N-furfuryl pyrrole)

其他名称:1-(2-糠基)吡咯[1-(2-Furfuryl)-pyrrole]

分子式:C9H9ON 相对分子质量:147.08

结构式:

(1)理化性质:无色至浅黄色液体。

b.p. 76~78℃/133Pa RI 1.5317

(2)溶解度:溶于大多数常见有机溶剂。

(3)天然存在:存在于咖啡以及炒熟的榛子的芳香组分中。

(4)感官特征:有烤咖啡,炒榛子的焦香和坚果的香味。

(5)应用:用于烟草制品增香,修饰风味,改善吸味。

(6)安全管理:NI,FEMA3284,COE2317,国食I1436。

10.2-甲酰基-5-甲基吡咯(2-Formyl-5-methyl pyrrole)

分子式:C6H6ON 相对分子质量:109.13

结构式:

应用:增强烟草制品的令人愉快的香气,抽吸时有似樱桃的香气并有甜的韵味。

11.哌啶(Pioridine)

其他名称:六氢吡啶,环次戊基亚胺,氮杂环己烷,氮己烷。

分子式:C5H11N 相对分子质量:85.15

结构式:

(1)理化性质:无色液体。

b.p. 106℃ 0.8628, 0.8615

RI 1.4530~1.4535

(2)溶解度:溶于水及乙醇,乙醚和氯仿。

(3)天然存在:存在于黑胡椒、药用胡椒和烟草中。

(4)感官特征:浓重的甜花香和动物香气,有轻微的胡椒样辣味。

(5)应用:在烟草中可使烟香透发飘逸,提调烟叶香气,增强香料烟特有的典型风味。

(6)安全管理:NI,FEMA2908,FDA121.1164,COE675。

12.吡啶(Pyridine)

分子式:C5H5N 相对分子质量:79.10

结构式:

(1)理化性质:易燃的无色液体。

b.p. 115.2℃ f.p. 21℃

m.p. -42℃ RI 1.5092

0.9808

(2)溶解度:与水、乙醇、乙醚、丙二醇以及许多油类相混溶。

(3)天然存在:存在于咖啡、烟草和颠茄类植物的叶、根中。

(4)感官特征:特殊的刺鼻气味,扩散穿透能力强,味辛辣。

(5)应用:可用于修饰烟草制品,赋与完整的自然韵味,并能增进烟气的吸味。

(6)安全管理:NI,FEMA2966,FDA121.1164,COE604。

13.3-甲基吡啶(3-Methyl pyridine)

分子式:C6H7N 相对分子质量:93.13

结构式:

(1)天然存在:存在于烟草,是烟碱的降解产物。

(2)感官特征:烟草特征香气。

(3)应用:提供白肋烟样的特征吃味和香气,燃吸时可增加白肋烟的香气风味。

(4)安全管理:NI。

14.4-甲基吡啶(4-Methyl pyridine)

分子式:C6H7N 相对分子质量:93.13

结构式:

(1)天然存在:存在于烟草,是烟碱的降解产物。

(2)感官特征:刺鼻的白肋烟特征头香。

(3)应用:增强混合型卷烟的浓郁烟香,提调白肋烟的典型风味。

(4)安全管理:NI。

15.3-乙基吡啶(3-Ethyl pyridine)

其他名称:β-乙基吡啶(β-Ethyl pyrodine)

分子式:C7H9N 相对分子质量:107.15

结构式:

(1)理化性质:无色至浅棕色液体。

b.p. 162~165℃ 0.940

RI 1.5021

(2)天然存在:存在于咖啡和烟草的香味成分中。

(3)感官特征:有烟草香气。

(4)应用:增强烟草自身香味,圆润自然风味。

(5)安全管理:NI,FEMA3394。

16.2-乙基吡啶(2-Ethyl pyridine)

其他名称:α-乙基吡啶(α-Ethyl pyrodine),α-Lutidine。

分子式:C7H9N 相对分子质量:107.15

结构式:

(1)天然存在:存在于烟草的挥发性香味成分中。

(2)感官特征:特殊的烟草香气。

(3)应用:能增强白肋烟的香气特征。

(4)安全管理:NI。

17.4-乙基吡啶(4-Ethyl pyridine)

其他名称:γ-乙基吡啶(γ-Ethyl pyrodine),γ-Lutidine。

分子式:C7H9N 相对分子质量:107.15

结构式:

(1)天然存在:存在于烟草的挥发性香味成分中。

(2)感官特征:有烟草香气。

(3)应用:能提高卷烟的抽吸风味。

(4)安全管理:NI。

18.2-乙酰基吡啶(2-Acetyl Pyridine)

分子式:C7H7ON 相对分子质量:121.14

结构式:

(1)理化性质:无色液体,在空气中逐渐变为黄色。

b.p. 192℃,78℃/1600Pa RI 1.5203

(2)感官特征:具有烟草的特征香气。

(3)应用:可用于增补烟草制品的香气。

(4)安全管理:NI,COE2315,FEMA3251。

19.3-乙酰基吡啶(3-Acetyl Pyridine)

其他名称:甲基3-吡啶基酮(Methyl 3-pyridyl ketone)

分子式:C7H7ON 相对分子质量:121.14

结构式:

(1)理化性质:无色液体,在空气中逐渐变为黄色。

b.p. 220℃,106℃/1600Pa

(2)天然存在:存在于炒榛子的香味成分中。

(3)感官特征:烘烤的烟草香气。

(4)应用:增补烟草制品的烘烤风味。

(5)安全管理:NI,COE2316,FEMA3424。

20.2,6-二甲基吡啶(2,6-Dimethyl pyridine)

分子式:C7H9N 相对分子质量:107.15

结构式:

(1)天然存在:存在于烟叶中,是烟碱的降解转化物。

(2)感官特征:烟叶的香气。

(3)应用:烟丝增加独特的烟草香味,抽吸时有白肋烟香气特征。

(4)安全管理:NI。

21.3,4-二二甲基吡啶(3,4-Dimethyl pyridine)

分子式:C7H9N 相对分子质量:107.15

结构式:

(1)天然存在:存在于烟叶中,是烟碱的降解转化物。

(2)感官特征:烟叶香气。

(3)应用:增加卷烟柔和丰满的香味,并能赋予白肋烟香气特征。

(4)安全管理:NI,FEMA3540。

22.3,5-二甲基吡啶(3,5-Dimethyl pyridine)

分子式:C7H9N 相对分子质量:107.15

结构式:

(1)天然存在:存在于烟叶中,是烟碱的降解转化物。

(2)感官特征:具有烟草样的芳香。

(3)应用:可用于修饰烟草制品的香味,增强优质烤烟的特征。

(4)安全管理:NI。

23.吲哚(Ind0l)

其他名称:1-氮茚(1-Benzazole),2,3-苯并吡咯(2,3-Benzopyrrole)

分子式:C8H7N 相对分子质量:117.14

结构式:

(1)理化性质:白色低熔点结晶固体。

b.p. 253~254℃,123℃/667Pa m.p. 52℃

(2)溶解度:易溶于很多有机溶剂,1g吲哚溶于2mL70%乙醇中。

(3)天然存在:它以一种复合物的形式存在于几种天然产物中,如茉莉、橙花、苦橙等的精油中。

(4)感官特征:高纯度时有接近花香香气,不纯时有臭气,受光照后不稳定变成红色。

(5)应用:是烟草的香味成分之一,白肋烟叶中吲哚的含量比其他类型烟草的含量都高。可以圆润烟草的自然香气。

(6)安全管理:NI,FEMA2593,FDA121.1164,COE560,国食I1411,标P.207。

24.2-甲基吡嗪(2-Methyl pyrazine)

其他名称:2-甲基-1,4-二嗪(2-Methyl-1,4-diazine),甲基吡嗪(Methylpyraziine)。

分子式:C5H6N2 相对分子质量:94.12

结构式:

(1)理化性质:无色至浅黄色液体。

b.p. 136~137℃ 1.0290

RI 1.5067

(2)溶解度:以任意比例溶于水、乙醇和乙醚及丙二醇中。

(3)天然存在:存在于面包房制品、炒大麦、可可制品、咖啡、乳制品、花生、榛子、炒玉米花,朗姆酒等。

(4)感官特征:有坚果和可可的香味。

(5)应用:在烟草中可增强可可,坚果,烘烤等香韵,提高卷烟香味的品质。

(6)安全管理:NI,FEMA3309,COE2270,国食I1414。

25.2-乙基吡嗪(2-Ethyl pyrazine)

其他名称:2-乙基-1,4二嗪(2-Ethyl-1,4-diazine),乙基吡嗪(Ethylpyrazine)。

分子式:C6H8N2 相对分子质量:108.14

结构式:

(1)理化性质:

b.p. 155℃,122~124℃/1.2×104Pa

(2)天然存在:存在于烘烤制品、可可制品、咖啡、肉、花生、榛子、马铃薯制品中。

(3)感官特征:榛子和可可的香味。

(4)应用:增强烟草制品的烘烤香韵。

(5)安全管理:NI,FEMA3281,COE2213。

26.2,3-二甲基吡嗪(2,3-Dimethyl pyrazine)

其他名称:2,3二甲基-1,4-二嗪(2,3-Dimethyl-1,4-diazine)

分子式:C6H8N2 相对分子质量:108.14

结构式:

(1)理化性质:

b.p. 156℃ 1.0218

(2)溶解度:溶于水、乙醇和乙醚。

(3)天然存在:存在于烘烤制品、可可制品、炒大麦、咖啡、乳制品、肉、花生等制品中。

(4)感官特征:烘烤香。

(5)应用:它是烟草制品本身的香味,能够增强烟香,使香气圆润有自然风味。

(6)安全管理:NI,FEMA3271,国食I1415T。

27.2,5-二甲基吡嗪(2,5-Dimethyl pyrazine)

其他名称:2,5-二甲基-1,4-二嗪(2,3-Dimethyl-1,4-diazine)

分子式:C6H8N2 相对分子质量:108.14

结构式:

(1)理化性质:无色液体。

b.p. 155℃ 0.9887

m.p. 15℃ RI 1.4980

(2)溶解度:以任意比例溶于水、乙醇和乙醚,也溶于丙酮。

(3)天然存在:存在于焙烤食品、可可、咖啡、坚果、乳品、酒类等众多食品中。

(4)感官特征:马铃薯片的特殊香气。

(5)应用:在烟草中用于修饰、圆和烟香风味。

(6)安全管理:NI,FEMA3272,COE2210,国食I1416。

28.2,6-二甲基吡嗪(2,6-Dimethyl pyrazine)

其他名称:2,6-二甲基-1,4-二嗪(2,6-Dimethyl-1,4-diazine)

分子式:C6H8N2 相对分子质量:108.14

结构式:

(1)理化性质:白色结晶

b.p. 155.6℃ 0.9647

m.p. 47~48℃

(2)溶解度:溶于水,乙醇、乙醚和精油。

(3)天然存在:存在于烘烤制品、可可、咖啡、乳制品、马铃薯及烟草制品的香味成分中。

(4)感官特征:有芳香的炒花生、可可和咖啡样的香气。

(5)应用:在烟草中用于提高香气浓度和修饰风格。

(6)安全管理:NI,FEMA3273,COE2211。

29.2-乙基-5-甲基吡嗪(2-Ethyl-5-methylpyrazine)

其他名称:2-甲基-5-乙基吡嗪(2-Methy1-5-ethy1pyrazine)

分子式:C7H10N2 相对分子质量:122.17

结构式:

(1)理化性质:

b.p. 79~80℃/6666Pa 1.4925

(2)天然存在:是咖啡的芳香组分之一,还存在于炒大麦、可可、肉类、乳制品、花生、榛子、爆玉米花、马铃薯等中。

(3)感官特征:具有可可、咖啡、烤香、坚果香气。

(4)应用:在烟草中能增强可可,咖啡、烘烤香韵,提高卷烟香味浓度。

(5)安全管理:NI,FEMA3154,COE724。

30.2-乙基-6-甲基吡嗪(2-Ethyl-6-methylpyrazine)

其他名称:2-甲基-6-乙基吡嗪(2-Methy1-6-ethy1pyrazine)

分子式:C7H10N2 相对分子质量:122.17

结构式:

(1)天然存在:存在于焙烤食品、乳制品和烟草的挥发性香味成分中。

(2)感官特征:有可可、坚果和炸马铃薯的香味。

(3)应用:能增强烟草制品的浓郁烟香。

(4)安全管理:NI。

31.3-乙基-2,6-甲基吡嗪(3-Ethyl-2,6-dimethylpyrazine)

分子式:C8H12N2 相对分子质量:136.20

结构式:

(1)天然存在:存在于焙烤制品、郎姆酒主馏分和烟草中。

(2)感官特征:有焦的麦芽、可可、咖啡、榛子、炒花生和炸马铃薯香气。

(3)应用:在烟草中可增加可可、焙烤、坚果等烘烤香的风味。

(4)安全管理:NI,FEMA3150,COE2246。

32.6-乙基-2,3-二甲基吡嗪(6-Ethyl-2,3-dimethylpyrazine)

分子式:C8H12N2 相对分子质量:136.20

结构式:

(1)天然存在:存在于可可制品和烟草的香味成分中。

(2)感官特征:具有明显的可可香味。

(3)应用:在烟草中可增加可可的香气风味。

(4)安全管理:NI。

33.2,3-二乙基吡嗪(2,3-Diethylpyrazine)

分子式:C8H12N2 相对分子质量:136.20

结构式:

(1)天然存在:存在于坚果,茶叶等香味成分中。

(2)感官特征:有坚果香,茶叶和巧克力的香气。

(3)应用:能赋于烟草巧克力香气,并可改善烟草的天然香味。

(4)安全管理:NI,FEMA3136,COE534。

34.2,3,5-三甲基吡嗪(2,3,5-Trimethylpyrazine)

其他名称:三甲基吡嗪(Trimethylpyrazine)

分子式:C7H10N2 相对分子质量:122.17

结构式:

(1)理化性质:无色至微黄色的液体。

b.p. 171~172℃,73~74℃/4000Pa RI 1.503~1.506

d 0.960~0.973

(2)天然存在:存在于烘烤食品、乳品、酒类、坚果和烟草中。

(3)应用:在烟草制品中可增补可可、咖啡、坚果和烤香风味。

(4)安全管理:NI,FEMA3244,COE735,国食I1427。

35.2,3,5,6-四甲基吡嗪(2,3,5,6-Tetramethylpyrazine)

其他名称:四甲基吡嗪(Tetramethylpyrazine)。

分子式:C8H12N2 相对分子质量:136.20

结构式:

(1)天然存在:存在于焙烤食品,乳品、酒类和烟草等。

(2)感官特征:有可可、咖啡、乳糖、洋酒、格蓬香气。

(3)应用:有烟用香精中用于修饰可可、咖啡、坚果和烤香香韵。

(4)安全管理:NI,FEMA3237。

36.2-甲基-3-甲氧基吡嗪(2-Methyl-3-methoxypyrazine)

分子式:C6H8N2O 相对分子质量:124.14

结构式:

(1)理化性质:无色液体。

d 1.060~1.090 b.p. 48~50℃/2000Pa

(2)感官特征:有榛子、杏仁和花生样的香味。

(3)应用:在烟草中增强坚果香的香韵,提高和改善制品的烟香风味。

(4)安全管理:NI,FEMA3183,国食A3063。

37.2-异丁基-3-甲氧基吡嗪(2-lsobutyl-3-methoxypyrazine)

其他名称:2-甲氧基-3-(2-甲基丙基)吡嗪[2-Methoxy-3-(2-methylpropyl)pyrazine]。

分子式:C9H14N2O 相对分子质量:166.22

结构式:

(1)感官特征:强烈的青气,新鲜清香,透发扩散力强。

(2)应用:是烟草香味的增效剂。能增进烟草清香和自然的烟香风味。

(3)安全管理:FEMA3433,国食I1426T。

38.2-甲氧基-3-(1-甲基丙基)吡嗪[2-Methoxy-3-(1-methylpropyl)pyrazine]

其他名称:2-甲氧基-3-仲丁基吡嗪(2-Methoxy-3-sec-butylpyrazine)

分子式:C9H14N2O 相对分子质量:166.22

结构式:

(1)感官特征:强烈的青气,新鲜清香,透发扩散力强。

(2)应用:是烟草香味的增效剂。能增进烟草清香和自然的烟香风味。

(3)安全管理:FEMA3433,国食I1426T。

39.2-乙酰基吡嗪(2,3,5,6-Acetylpyrazine)

其他名称:乙酰基吡嗪(Acetylpyrazine),甲基吡嗪基酮(Methyl pyraziinyl ketone)。

分子式:C6H6N2O 相对分子质量:122.13

结构式:

(1)理化性质:白色到淡黄色晶体。

m.p. 79~80℃

(2)天然存在:存在于花生、榛子、爆玉米花及芝麻油中。

(3)感官特征:近似于爆玉米花的香气、有甜香底韵。

(4)应用:增加烟草的烘烤香、甜香。

(5)安全管理:NI,FEMA3126,COE2286,国食I1420。

40.2-乙酰基-5-甲基吡嗪(2-Acetyl-5-methyIpyrazine)

分子式:C7H8N2O 相对分子质量:136.16

结构式:

(1)天然存在:存在于烟草、爆玉米花和食品的香气成分。

(2)感官特征:具有烟草和坚果香气。

(3)应用:能增强烟草制品的香气和风味。

(4)安全管理:NI。

41.异丙烯基吡嗪(lsopropenylpyrazine)

其他名称:2-异丙烯基-1,4-二嗪(2-lsopropenyl-1,4-diazine)

分子式:C7H8N2 相对分子质量:120.16

结构式:

(1)天然存在:存在于花生的香气成分中。

(2)感官特征:有可可、咖啡和炒花生香味。

(3)应用:用以修饰烟草制品的香气和风味。

(4)安全管理:NI,FEMA3296。

42.2-甲基-3-乙酰基吡嗪(2-Methyl-3-acetylpyrazine)

分子式:C7H8N2O 相对分子质量:136.16

结构式:

(1)天然存在:存在于焙烤食品和烟草的香味成分中。

(2)感官特征:具有马铃薯特征的香气。

(3)应用:在烟草中能与烟香谐调,修饰烟味。

(4)安全管理:NI。

43.2-甲基-3-(5或6)-糠硫基吡嗪[2-Methyl-3-(5 or 6)-furfurylthio-pyrazine]

分子式:C10H10N2OS 相对分子质量:206.27

结构式:

(1)理化性质:黄色透明液体。

(2)感官特征:烤焙咖啡样的香味。

(3)应用:在烟草中增加烘烤特征香。

(4)安全管理:FEMA3189,COE2287,国食A3065。

44.2-甲基-3-甲硫基吡嗪(2-Methyl-3-methylthiopyrazine)

分子式:C6H8N2S 相对分子质量:140.21

结构式:

(1)理化性质:

d 1.142~1.145 b.p. 86~88℃/1333Pa

(2)感官特征:有炒杏仁和炒榛子的香味,并有较强的洋葱气息。

(3)应用:在烟草中增强烘烤香和咖啡的风味。

(4)安全管理:FEMA3208,COE2290,国食I1417T。

45.2-异丁基噻唑(2-lsobutyl thiazole)

分子式:C7H11NS 相对分子质量:141.23

结构式:

(1)理化性质:

b.p. 172~180℃ 0.9953

RI 1.4939

(2)天然存在:存在于番茄的香味成分中。

(3)感官特征:有土豆和葡萄样香味。

(4)应用:用于烟草中可增进鲜果清香风味。

(5)安全管理:NI,FEMA3134,COE4143,国食I1442。

46.4,5-二甲基噻唑(4,5-Dimethyl thiazole)

分子式:C5H7NS 相对分子质量:113.78

结构式:

(1)理化性质:

b.p. 158℃,81~83℃/7866Pa m.p. 83~84℃

(2)溶解度:溶于乙醇和乙醚。

(3)感官特征:有烤香、坚果香和青香。

(4)应用:调整烟草制品的香韵和风味。

(5)安全管理:FEMA3274,国食A3073T。

47.2,4-二甲基-5-乙酰基噻唑(2,4-Dimethyl-5-acetylthiazole)

分子式:C7H9NOS 相对分子质量:155.22

结构式:

(1)感官特征:有烤香、坚果香和肉香香味。

(2)应用:用于修饰和补充烟草制品的香韵,改善烟香韵和吸味。

(3)安全管理:FEMA3267,COE2366,国食A3072T。

48.2,4,5-三甲基噻唑(2,4,5-Trimethyl thiazole)

分子式:C6H9NS 相对分子质量:127.21

结构式:

(1)理化性质:b.p. 167℃,65~67℃/266.6Pa

(2)天然存在:存在于烘烤可可、坚果、乳品和烟叶等的香味成分中。

(3)感官特征:有可可和坚果香气。

(4)应用:用于加强烟草制品的可可、坚果风味。

(5)安全管理:NI,FEMA3325,国食I1438。

49.2-乙氧基噻唑(2-Ethoxythiazole)

其他名称:乙基2-噻唑基醚(Ethyl 2-thiazosyl ether)

分子式:C5H7NOS 相对分子质量:129.18

结构式:

(1)感官特征:有酚香、焦香和坚果香香味。

(2)应用:改善和提高烟草制品的自然风味。

(3)安全管理:NI,FEMA3340,国食A3071T。

50.2-乙基-4-甲基噻唑(2-Ethyl-4-methylthiazole)

分子式:C6H9NS 相对分子质量:127.20

结构式:

(1)理化性质:无色或淡黄色液体。

b.p. 160~162℃

(2)天然存在:存在于烤咖啡的香味成分中。

(3)感官特征:明显的烤咖啡的香味。

(4)应用:增强烟草的咖啡风味。

(5)安全管理:NI,FEMA3680,国食I1439。

51.2-异丙基-4-甲基噻唑(2-lsopropyl-4-methylthiazole)

分子式:C7H11NS 相对分子质量:141.23

结构式:

(1)天然存在:存在于可可和奶油的香味组分中。

(2)感官特征:有可可的脂香。

(3)应用:增强烟草的可可香。

(4)安全管理:NI,FEMA3555,国食I1444。

52.5,7-二氢-2-甲基噻嗯并(3,4d)嘧啶[5,7-Dihydro-2-methylthieno(3,4d)pyrimidine]

分子式:C7H8N2S 相对分子质量:152.21

结构式:

(1)理化性质:白色结晶体。

m.p. 62~63.5℃ f.p. 201℃

(2)溶解度:溶于乙醇、丙二醇。

(3)感官特征:有甜的爆玉米花和炒杏仁样的浓香味。

(4)应用:用于烟草制品加强可可、咖啡、坚果、仁香、奶香和烤香香韵。

(5)安全管理:FEMA3388,COE720。

(十二)其他类

1.焦糖和焦糖香膏(Caramel and Caramel flavor)

(1)理化性质:棕褐色粘稠液或半流动膏体。

d4 1.35

(2)溶解度:溶于水及稀乙醇。

(3)感官特征:焦糖具有烧焦的糖的香气和令人愉快的苦味。焦糖香膏是利用糖蜜采取特殊工艺加工制成的,有愉快的浆果糖浆和蜂蜜样甜香,略有酒香、膏香和焦糖香。味甜微酸。

(4)应用:用于卷烟加料能改进香味品质,柔和烟香。

(5)安全管理:NI,FEMA2235,FDA182.1235。

2.精制杂醇油(Fusel oil refined)

精制杂醇油是淀粉和糖类发酵蒸酒时的副产品,经精制而得,主要为大量戊醇、异戊醇和旋光性戊醇以及酸类、醛类和酯类的混合体。

(1)理化性质:为精馏制品的数据。

沸点:其沸程范围为:

b.p. 低于110℃馏分:无

110~120℃馏分:>15%

120~130℃馏分:>60%

超过135℃馏分:无

f.p. 50℃ 0.811~0.815

(2)溶解度:溶于水、乙醇、乙醚。

(3)感官特征:有令人不愉快的气味,极微量时能产生特殊风味。

(4)应用:在烟草中能增强烟香。具有酒香风味。

(5)安全管理:FEMA2494,FDA172.515,COE576,国食I1028。

3.木醋酸浸剂(Pyroligneous acid extract)

其他名称:“液体烟”(Liquid smoke),焦木醋(Pyroligneous vinegar),木醋(Wood vinegar)。

木醋酸是木材干馏物的混合物,主要成分是水,大约含有10%的酸(甲酸、乙酸和丙酸)。其浸剂不含水、酸和焦油。

(1)理化性质:黄色至红色液体。

d4 1.018~1.030

(2)溶解度:能与水、乙醇、丙二醇混溶,但与油类不能混溶。木醋酸浸剂在贮存过程中能分离出焦油状的一相,该相不溶于乙醇和水。

(3)感官特征:烟熏气味。

(4)应用:用于调制香料烟风格的香精,增加卷烟的烟香气。

(5)安全管理:FEMA2968,FDA121.1164,COE4033。

随便看

 

离鸟网收录3541549条中英文词条,其功能与新华字典、现代汉语词典、牛津高阶英汉词典等各类中英文词典类似,基本涵盖了全部常用中英文字词句的读音、释义及用法,是语言学习和写作的有利工具。

 

Copyright © 2004-2024 vtrois.com All Rights Reserved
更新时间:2026/4/20 3:57:05