网站首页  词典首页


请输入您要查询的字词:

 

字词 司盘-80
类别 中英文字词句释义及详细解析
释义

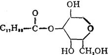
司盘-80


化学名 失水山梨醇单油酸酯

结构式

性能 琥珀色粘性油状物,无毒,无臭。不溶于水,溶于一般热油及有机溶剂。HLB值为4.3。具有乳化力和分散力等。

质量规格(旅顺化工厂)

皂化值,mgKOH/g140~160 羟值,mgKOH/g190~220

酸值,mgKOH/g≤10 水含量,%≤1.5

用途 本品为W/O型乳化剂、增稠剂、分散剂和防锈剂。用于乳化炸药、纺织油剂、油漆分散剂、石油产品的防锈剂和助剂、钛白粉生产的稳定剂、原油开采的压裂剂,并广泛用于医药、食品、化妆品等工业。

国内生产厂 辽宁旅顺化工厂、上海助剂厂、天津助剂厂。

国外生产公司 美国ICI公司、Ashland Chem、Witco、Rhone-Poulenc、Lonza等。

国外质量规格参考(美国ICI公司)

外观 黄色固体物 倾点,℃53

HLB值 4.7 活性物含量,%100

随便看

 

离鸟网收录3541549条中英文词条,其功能与新华字典、现代汉语词典、牛津高阶英汉词典等各类中英文词典类似,基本涵盖了全部常用中英文字词句的读音、释义及用法,是语言学习和写作的有利工具。

 

Copyright © 2004-2024 vtrois.com All Rights Reserved
更新时间:2026/4/20 19:36:06