网站首页  词典首页


请输入您要查询的字词:

 

字词 叶酸的测定方法
类别 中英文字词句释义及详细解析
释义

叶酸的测定方法


化学名:N-〔4-[(2-氨基-1,4-二氢-4-氧代-6-蝶啶)甲氨基]苯甲酰基〕-L-谷氨酸(N〔4-[(2-Amino-1,4-dihydro-4-oxo-6-pteridinyl)methyl amino]benzoyl-L-glutamic Acid

结构式:

分子式:C19H19N7O6

相对分子质量:441.40

一、叶酸的鉴别

1.试剂和溶液

0.1mol/LNaOH溶液。

2.仪器

紫外分光光度计,附1cm比色池。

3.操作步骤

取样品,加氢氧化钠溶液制成10μg/mL的样品溶液,用紫外分光光度计测定,在波长(256±2)nm,(283±2)nm,(365±4)nm处有最大吸收峰,吸光度256nm与吸光度365nm的比值应为2.8~3.0。

二、叶酸含量测定

(一)比色分光法

1.试剂和溶液

1.1 0.1mol/L NaOH溶液。

1.2 2mol/L HCl溶液。

1.3 锌粉(无砷锌)。

1.4 亚硝酸钠 0.1%溶液。

1.5 氨基磺酸铵 0.5%溶液。

1.6 二盐酸萘基乙二胺 0.1%溶液。

1.7 对照品溶液的制备 称取叶酸对照品(同时测定水分)0.08g(准确至0.0002g),置100mL量瓶中,加氢氧化钠溶液使溶解,并稀释至刻度,摇匀(溶液A)。精密吸取溶液A2mL,置另一100mL量瓶中,加盐酸溶液20mL,用水稀释至刻度,摇匀,即得。含叶酸对照品约16μg/mL(溶液B)。

1.8 样品溶液的制备 称取叶酸样品,按对照品溶液的制备法制备,即得。

2.仪器

分光光度计,附1cm比色池。

3.测定方法

精密量取对照样品B与样品溶液B各60mL,分别置250mL具塞锥形瓶中,各加锌粉0.5g(可稍过量),连续振摇20min,用干燥滤纸过滤,弃去初滤液,各精密吸取滤液2mL,分别置10mL量瓶中,依次加水3mL,盐酸溶液1mL与亚硝酸钠1mL,混匀,放置2min,各加氨基磺酸铵溶液1mL,混匀,放置10min,各加二盐酸萘基乙二胺溶液1mL,混匀,放置10min,用水稀释至刻度,摇匀。

另精密吸取对照溶液A与样品溶液A各20mL,分别置100mL量瓶中,各加盐酸溶液20mL,用水稀释至刻度,摇匀。各精密吸取2mL,分别置于10mL量瓶中,以下按上述自“依次加水3mL……”起依法操作。

另取水2mL置10mL量瓶中,以下按上述自“依次加水3mL……”起依法操作,作为空白,用分光光度计测定,以1cm比色池在波长(550±1)nm处测定上述二组溶液的吸光度。

4.操作步骤

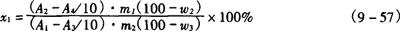
叶酸含量(以质量分数表示)按式(9-57)计算:

式中 A1——用锌粉还原的对照品溶液吸收度

A2——用锌粉还原的样品溶液吸收度

A3——未用锌粉还原的对照品溶液吸收度

A4——未用锌粉还原的样品溶液吸收度

m1——对照品质量,g

m2——样品质量,g

w2——对照品水分含量,%

w3——样品水分含量,%

5.允许差

两次平行试验的相对偏差应小于2%。

(二)高效液相色谱法

1.试剂和溶液

1.1 磷酸二氢钾。

1.2 0.1mol/LKOH溶液。

1.3 甲醇(HPLC色谱级)。

1.4 烟酰胺(药用级)。

1.5 氨水0.5%溶液。

1.6 叶酸对照品(中国卫生部生物制品鉴定所)。

2.仪器

高效液相色谱仪,附十八烷基硅烷键合硅胶色谱柱。

3.系统适用性试验

以磷酸二氢钾6.8g与0.1mol/LKOH溶液70mL,加水稀释成约850mL,并调节pH至6.3±0.1,加甲醇80mL,用水稀释成1000mL的溶液为流动相;检测波长为254nm,叶酸峰和内标物质峰的分离度应大于1.5。

分离度(R)按式(9-58)计算:

式中 tR2——叶酸峰的保留时间

tR1——烟酰胺峰的保留时间

w1——叶酸峰的宽度

w2——烟酰胺峰的宽度

4.校正因子测定

取烟酰胺适量,加水溶解并稀释至1mL中含1.0mg的溶液作为内标溶液;另称取叶酸对照品5mg(精确至0.00002g)置25mL量瓶中,加0.5%氨溶液约15mL溶解,精密加入内标溶液5mL,用同一溶剂稀释至刻度,摇匀,取10μL注入液相色谱仪,计算校正因子。

校正因子(F1)按式(9-59)计算:

式中 A5——烟酰胺的峰面积

A6——叶酸对照品的峰面积

m3——烟酰胺的质量,g

m4——叶酸对照品的质量,g

5.供试品溶液的制备与测定

取本品约5mg(精确至0.00002g),按式(9-60)校正因子测定项下的叶酸对照品溶液的制备和测定。

6.分析结果的表述

叶酸含量x4(以质量百分数表示)按式(9-60)计算:

式中 F1——校正因子

A7——叶酸峰面积

A8——烟酰胺峰面积

m5——样品的质量,g

m6——烟酰胺质量,g

7.允许差

两次平行试验的相对偏差应小于2%。

三、食品中叶酸的测定

(一)高效液相色谱法(本法适于强化叶酸的婴幼儿奶粉)

1.原理

叶酸经超声抽提后调pH至4.5沉淀蛋白质,用高速离心除去脂肪和蛋白质,清液经CGS树脂柱,除去大部分杂质,随后用pH8的磷酸盐缓冲液洗脱,调pH至7后,定容,以0.22μm滤膜过滤,进HPLC,用ODSC18反相柱,紫外检测器,波长285nm,流动相0.05mol/L磷酸氢二钾+甲醇为91∶9。

2.试剂和溶液

2.1 0.05mol/LK2HPO4溶液,pH7。

2.2 叶酸标准母液 精确称取叶酸5mg,溶于0.05mol/LK2HP04溶液(pH7)中,加25mg维生素C,定容于25mL棕色容量瓶中。

2.3 叶酸标准工作液 精确吸取0.05mL叶酸标准母液至10mL容量瓶,并加入1.118g氯化钾及10mg维生素C,以pH7.00.05mol/LK2HPO4溶液溶解,调至pH7定容。

2.4 0.0lmol/LK2HPO4溶液,pH4.0。

2.5 O.05mol/LK2HPO4溶液,pH4.5。

2.6 甲醇 过0.5μm膜。

2.7 CGS树脂 100~120目。

2.8 1.5mol/LKCl—0.05mol/L K2HPO4pH8洗脱液 称224g氯化钾及22.82g磷酸氢二钾,以去离子水溶解,定容至2L,调节pH至8.0。

3.仪器

3.1 超声处理机。

3.2 超速离心机 15000r/min。

3.3 高效液相色谱仪。

4.测定方法

叶酸对热、光不稳定,操作时应避光。

4.1 抽提 称取3g强化奶粉,加50mg维生素C,以0.05mol/L K2HP04溶液(pH7)调节匀,超声处理10min,调节pH至4.5移入50mL容量瓶,定容,于5℃,15000r/mim离心20min,取清液10.00mL,调节pH至4.0。

4.2 离子交换层析 用250mm×5mm玻璃层析柱,填装CGS树脂8cm,以40mL沸腾去离子水洗柱,并用pH4.0,0.01mol/L K2HPO4缓冲液过柱后,将pH4,10mL样液进柱,速度为1mL/min,随后用3×0.5mLpH4的缓冲液洗柱,前后用40℃pH81.5mol/LKCl0.05mol/LK2HPO4缓冲液洗脱,收集洗脱液约9.8mL,收集液用氢氧化钾调节pH至7,定容至10mL,用0.22μm滤膜针筒过滤器过滤。

4.3 HPLC测定。

4.3.1 色谱条件如下:

色谱柱:300mm×3.9mm,反相ODS C18;10μm预柱50mm

流动相:pH7.0,0.05mol/L K2HPO4+甲醇=91+9

检测器:紫外,波长285nm

灵敏度:0.005

流量:1mL/min

柱温:30℃

压力:9.8MPa

4.3.2 测定:取处理好的样液,进样100μL,采用外标法峰高测定,各作3次取平均值。

5.分析结果的表述

式中 h——样品中叶酸平均峰高

h0——外标叶酸平均峰高

ρ0——外标叶酸进样液浓度,μg/mL

V0——外标叶酸进样量,mL

m——样品质量,g

V——样品进样量,mL

(二)微生物法

1.原理

样品溶于水,加稀氨液在121℃、15min除去溶于水的固形物,调pH,利用粪链球菌对叶酸的专一性,在一定条件下,经过培养后测透光度,与标准工作液对照,计算含量。本法适用于含游离态叶酸的含量。

2.试剂和溶液

2.1 天冬氨酸溶液 8gL-天冬氨酸水合物加800mL水溶解,加1滴甲苯保存。

2.2 腺嘌呤、鸟嘌呤、尿嘧啶溶液 各取0.5g硫酸腺嘌呤、盐酸鸟嘌呤和尿嘧啶,加25mL(1→2)盐酸溶液,在水浴中加热溶解,冷后加水成500mL,加1滴甲苯,置冷处保存。

2.3 尿嘧啶、盐酸鸟嘌呤、硫酸腺嘌呤、黄嘌呤 均为特级。

2.4 氯化钠、硫酸亚铁、硫酸镁、硫酸锰、磷酸二氢钾、磷酸氢二钾 均为特级。

2.5 25%~28%氨水 特级。

2.6 95%乙醇、甲苯 特级。

2.7 盐酸硫胺、盐酸吡哆醇、烟酸、泛酸钙 特级。

2.8 盐类溶液A 称取25g磷酸二氢钾和25g磷酸氢二钾,加水溶解成500mL,加5滴盐酸和1滴甲苯后保存。

2.9 盐类溶液B 取20g磷酸镁、1g氯化钠和1g硫酸亚铁及1g硫酸锰,加水溶解成1000mL,再加10滴盐酸及2滴甲苯保存。

2.10 琼脂粉末。

2.11 黄嘌呤溶液 0.4g黄嘌呤加水约80mL混合,在70~80℃水浴中加热并不断振摇混合。加12mL(2→5)氨水,振摇溶解,冷却后加水成400mL,加1滴甲苯放冷处保存。

2.12 菌种保存培养基和保存方法 取15g胨化乳、10g酵母浸膏、10g葡萄糖、2g磷酸二氢钾,加水600mL溶解,然后加100mL番茄汁滤液,用1mol/LNaOH溶液调节pH6.5~6.8,然后加10mL polysorket-80乙醇溶液,加水成1000mL。向此液中加10~15g琼脂粉末,加温溶解,温时分装在预先经干热灭菌并具有棉塞的试管中各10mL,在121℃高压灭菌20min,灭菌后立即冷却凝固。从Lactobacillus Casei ATCC 7469的纯培养基中移殖于菌株保存培养基中。移殖的菌株保存培养基37℃培养16~24h。放冷处保存。

2.13 谷胱甘肽(还原型)溶液 0.125g谷胱甘肽加100mL水溶解。冷冻保存。

2.14 酵母浸膏市售品。

2.15 L-半胱氨酸盐酸盐水合物 特级。

2.16 增菌用培养基 与菌株保存培养基同一组成,不加琼脂,分装在预先塞好棉塞而经干热灭菌(170℃,2h)的试管中各10mL,在121℃高压灭菌10min,灭菌后立即冷却,冷处保存。

2.17 色氨酸溶液 取2gL-色氨酸加700~800mL水成悬浊液,加热70~80℃,边振摇边滴加盐酸,至L-色氨酸结晶溶解,冷却后加水成1000mL,加1滴甲苯,常温下保存。

2.18 对氨基苯甲酸 特级。

2.19 维生素溶液 取20mg对氨基苯甲酸、40mg盐酸吡哆醇、4mg盐酸硫胺、8mg泛酸钙、8mg烟酸及20mL(1→100000)D-生物素,溶于约300mL水中。另取10mg核黄素溶于200mL(3→2500)乙醇溶液,加入上述溶液中,再加1.9g无水硫酸钠及1.6mL乙酸,加水成40mL的溶液,最后加水成2000mL,加1滴甲苯避光冷处保存。

2.20 D-生物素 维生素H。

2.21 Casamino酸 不含维生素的酪蛋白氨基酸。

2.22 葡萄糖。

2.23 胨化乳 市售品。

2.24 聚山梨酸酯-80乙醇溶液 20g聚山梨酸酯-80加乙醇溶液成100mL。

2.25 无水乙酸钠 特级。

2.26 灭菌生理盐水 9g氯化钠溶于1000mL水中,分装于预先塞好棉塞并经干热灭菌的试管中,每管10mL。在121℃高压灭菌20min。

2.27 核黄酸 优级纯。

3.仪器

3.1 实验室常规用具。

3.2 分光光度计。

4.测定

4.1 样品溶液的制备 一般准确称取相当叶酸约1μg的样品10g以下,加100mL水,2mL(2→5)氨水,充分搅拌混合,盖好棉塞,在121℃高压灭菌器中灭菌15min,冷却,用过滤和离心分离方法获得澄清的提取液。再用70~80mL水定量收集分离液或滤液,用0.1~1mol/LNaOH溶液调节pH6.8,然后加水准确成200mL,取此液20mL,加水准确成100mL,作为样品溶液。

4.2 标准液的制备 准确称取10mg叶酸,放入500mL容量瓶中,加入约30mL(0.01mol/L)NaOH溶液溶解,加水约300mL,再加(1→120)盐酸溶液调节pH至7~8,加水定容至500mL,为标准原液,含叶酸20μg/mL。加1滴甲苯,置冷暗处保存。

取5mL标准原液加水成1000mL,再取此液10mL加水成1000mL,作为标准液,含叶酸1ng/mL。

4.3 定量用培养基的制备 取2.5g不含维生素的Casamino酸,15mL天冬氨酸溶液,12.5mL色氨酸溶液,2.5mL腺嘌呤、鸟嘌呤、尿嘧啶溶液,50mL维生素溶液,5mL盐类溶液B,0.125gL-半胱氨酸盐酸盐水合物,10g葡萄糖,10g无水乙酸钠,5mL黄嘌呤溶液,放入300mL三角烧瓶中,充分混匀溶解,用0.1~1mol/LHCl溶液或0.1~1mol/LNaOH溶液调节pH为6.8。然后加0.25mL聚山梨醇酯-80乙醇溶液,在沸水浴中加热5min后,于冷水中冷却,加1mL谷胱甘肽溶液,充分混合后过滤,滤液加水成250mL,作为定容用培养基。

4.4 接种菌液的制备 用Lactobacillus Casei ATCC 7469作为使用菌株。将菌株保存培养基保存的菌株移殖到增菌培养基中,在37℃培养16~24h。取5mL培养液在无菌条件下用离心方法分离增殖的菌体,用灭菌生理盐水洗3次。其浓度用分光光度计以灭菌生理盐水为参比,在波长550nm处测定透光率。菌液用灭菌生理盐水稀释至透光率为75%~85%作为接种菌液。

4.5 测定方法。

4.5.1 接种和培养:准确吸取标准液0.0,0.5mL,1.0mL,1.5mL,2.0mL,2.5mL,3.0mL,4.0mL,5.0mL各两份,分别放入两系列试管SA(0~5)、SB(0~5)中。另取样品溶液1.5mL、2mL、2.5mL、3mL、4mL各两份,分别放入另外两系列试管TA(1.5~4)、TB(1.5~4)中。向所有试管中加水准确成5mL,另取二支试管,加5mL水作为对照管。向各管中准确加入5mL培养基,盖好铭制帽,120℃高压灭菌5min。冷后,除对照管外,无菌地各接种1滴接种菌液,把全部试管(包括对照管)于(37±0.5)℃培养16~24h。培养后立即放入高压灭菌器中,115℃高压灭菌5min,作为培养液。

4.5.2 测定:用分光光度计,以1cm比色杯,在波长550nm下,以对照液为参比,测定各试管中培养液的透光率。

4.5.3 定量:求出相对应的标准液透光率Sa00和Sb00,Sa01和Sb05……Sa5和Sb5的各平均值,绘制标准曲线。再求出相对应的样品溶液的透光率Ta和Tb的各对平均值,分别在标准曲线中求出各管中叶酸含量(ng/mL),再计算出1mL样品溶液的含量。这些数值的平均值为ρ(ng/mL),根据式(9-54)计算出样品中的叶酸含量(μg/100g)。如果标准液或样品溶液中某个管的吸光度值在系列浓度中偏差超过±10%时,此数值应舍去。如果在10支样品溶液管中有6支以上的透光率被弃去,则应重做。

5.分析结果的表述

式中 m——取样量,g

ρ——样品溶液中的平均叶酸浓度,ng/mL

随便看

 

离鸟网收录3541549条中英文词条,其功能与新华字典、现代汉语词典、牛津高阶英汉词典等各类中英文词典类似,基本涵盖了全部常用中英文字词句的读音、释义及用法,是语言学习和写作的有利工具。

 

Copyright © 2004-2024 vtrois.com All Rights Reserved
更新时间:2026/4/20 10:08:16