网站首页  词典首页


请输入您要查询的字词:

 

字词 发生面积统计
类别 中英文字词句释义及详细解析
释义

发生面积统计


一、发生面积的定义

发生面积是指通过各类有代表性田块的抽样调查,有害生物发生程度达到防治指标的面积。达不到防治指标的田块不统计发生面积,尚未确定防治指标的,按应治面积统计发生面积。对发生多代(次)有害生物的发生面积要按代次分别统计,如危害玉米的玉米螟在北方一、二、三代次发生明显,要分代次分别统计;一种有害生物危害多种作物(如粘虫分别为害玉米、谷子、高粱等)或一种作物同时发生多种有害生物时,要按作物和有害生物种类分别统计。

检疫对象的发生面积与一般有害生物的含义不同,是指经调查有检疫对象发生的实际面积。应按以下标准统计,其中病害发生面积按病株率计算,0.1%以下为零星发生,0.1%-1%为轻发生,1%以上为重发生。虫害以田间被害株率计算,标准同病害。

农田杂草,不分种类,按作物统计,其发生面积系指达到2级以上的面积。

农田害鼠,不分作物,不分种类,按行政区划统计达到防治指标的面积即为发生面积。

二、防治指标

(一)什么是防治指标 是研究有害生物防治的一个参数,即有害生物种群数量(或被害株率,病情指数)增长到造成经济损害引起的损失相当于实际防治费用,而需采取防治措施时的临界值。也叫经济阈值。即当人们预测到一场生物灾害的发生水平将要超过经济损害水平时,应该在防治适期内找到某一时期,有害生物的发生达到了某一种临界值,对此必须采取某种控制措施,以防止有害生物种群密度增加而达到经济损害水平,它是控制开始时的种群密度,是防治行动的指标。不同的防治适期其防治指标也不同。

(二)防治指标的确定 拟定防治指标,应在确定防治适期的前提下,根据有害生物发生危害规律,以及经济允许损失的要求来确定。可以考虑为(1)确定经济允许水平;(2)确定防治适期;(3)掌握有害生物发生消长规律,特别是发生期的长短和天敌主要作用于寄主的发育阶段等等,综合的统计分析,确定防治指标。

(三)各种有害生物的防治指标 各种有害生物的防治指标不同,即使是同一种有害生物,在不同的防治适期及农作物不同产量水平情况下,其防治指标也不一样。例如山东省小麦蚜虫穗期防治指标百穗蚜量为500头,即为防治指标。一代粘虫一类田防治指标为25头/m2,二类田为15头/m2。二代粘虫防治指标麦田30头/m2,玉米田10头/百株。

三、病虫发生面积统计方法

(一)单项病虫发生面积的统计方法 根据抽样调查结果,首先计算各类型田块达到防治指标的地块数及占各类型调查地块的百分比,然后以各类型代表面积及达到防治指标地块所占比例,采用加权平均法求得某一单项病虫发生面积的比例,并以此百分比乘以受害作物种植面积即为该单项病虫发生面积。

例如:临沂市种植小麦90万亩,3月22日-25日在有代表性的5个乡镇抽样调查麦蜘蛛发生情况,结果整理如表7-1所示。

表7-1 麦蜘蛛抽样调查整理表

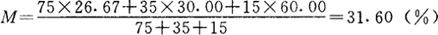
采用加权平均法计算发生面积所占百分比:

Ai表示各调查类型田的代表面积,Ci表示达到防治指标地块占调查地块的百分比。

麦蜘蛛发生=90×31.60%=28.44(万亩)

(二)以作物为单位对多种病虫害发生面积的统计 以作物为单位的多种病虫害发生面积的统计方法,即是该作物逐个单项病虫发生面积的累加数字。

随便看

 

离鸟网收录3541549条中英文词条,其功能与新华字典、现代汉语词典、牛津高阶英汉词典等各类中英文词典类似,基本涵盖了全部常用中英文字词句的读音、释义及用法,是语言学习和写作的有利工具。

 

Copyright © 2004-2024 vtrois.com All Rights Reserved
更新时间:2026/4/20 16:48:21