网站首页  词典首页


请输入您要查询的字词:

 

字词 双因子方差分析
类别 中英文字词句释义及详细解析
释义

双因子方差分析


对于在因子A的r1个水平Ak,k=1—r1和因子B的r2个水平Bt,t=1—r2全面搭配(组合)AkBt条件下产生的r1r2个相互独立的正态总体Xkt,,双因子方差分析要解决的问题是以总体方差为前提,对于因子A在因子B各水平均衡的条件下,以及因子B在因子A各水平均衡的条件下,推断μk·μkt,k=1—r1是否全相等(1)·2是否全相等,并研究A与B的交互影响A×B(2)

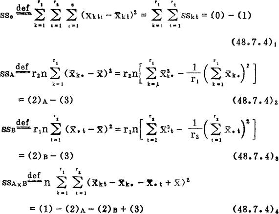
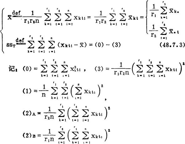
对于—组r1r2个样本观测值xkti,i=1—n,定义:

对r1r2n个数据,定义总的平均数X与差异平方和SST

下面研究SST的分解以及分解的各差异平方和的计算公式:

上式可以改写为

其中:

需要定义下列方差和F:

(48.7.6)式的计算步骤如表48—6(二)所示;表中(一)计算X2的公式是

上式括号外的系数是(表48—6附文后)。

表48—6 (一)计算X2;(二)计算FA×R、FA、FB

如果FA×Bα(fA×B,fe),则对F值大于相应Fα的因子进行单因子多重比较;如果FA×B>Fα(fA×B,fe),则把A与B的r1r2个水平搭配作为“单因子”的r1r2个水平,不论FA与FB是否大于相应Fα都需要这样。

需要指出,在样本容量n=1情形的双因子方差分析与正交设计的方差分析中,交互影响平方和常常被误认为是随机平方和,并且被称为误差平方和。对于多因子试验,首先是各因子的水平搭配设计:全面搭配或者正交搭配(两两全面搭配)。每一个水平搭配(以及单因子试验的每一个水平)称为一个“处理”;然后是“处理”的实施设计(例如,拉丁方设计)。以上所述是多因子实验设计的前后两个步骤。

(编者:刘长安 审者:孙尽善)

随便看

 

离鸟网收录3541549条中英文词条,其功能与新华字典、现代汉语词典、牛津高阶英汉词典等各类中英文词典类似,基本涵盖了全部常用中英文字词句的读音、释义及用法,是语言学习和写作的有利工具。

 

Copyright © 2004-2024 vtrois.com All Rights Reserved
更新时间:2026/4/21 10:46:52