别名 吡噻旺锌
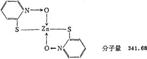
化学名 双(2-硫代-1-氧化吡啶)锌
结构式

性能 吡啶硫酮锌是一种螯合物,不溶于水,可分散于乳化体中。
毒性:
a.急性口服 LD50331mg/kg(雄性小鼠)
LD50292mg/kg(雌性小鼠)
b.初次皮肤刺激 含50%本品的凡士林软膏涂于老鼠和家兔的背部和腹部,未见任何变化。
c.眼刺激 双吡啶硫酮锌溶液溅入眼内,有剧烈刺激性(入眼10s内就冲洗,否则有刺激感)。
本品对各种细菌、真菌、病毒有较强的杀灭作用,能抗皮脂溢出。常规量使用对人体无毒无害。
质量规格(参考)
粉末:

乳剂

用途 用于化妆品中的头屑剂和杀菌剂,广泛用做配制去头屑香波,一般用量<2%。
包装贮运 粉末15kg/铁桶;乳剂250×250×400,25kg/塑料桶。
本品应使用避光、密封的容器包装。应于干燥、不高于10℃的环境下贮运,暴露于光线下会慢慢分解。
国内生产厂 中外合资浙江大华药品工业有限公司。