正态总体期望μ的区间估计
总体X~N(μ,σ2),简单随机样本为X1,X2,…,Xn,Xi~N(μ,σ2),

1.σ2已知
解题步骤为:
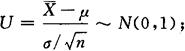
(1)构造统计量

(2)给出置信度1-α,对U应有

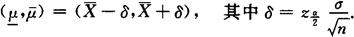
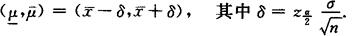
(3)代入U,经换算,对μ得到

记

从而得出μ的置信度为(1-α)的置信区间为

对一次抽样的样本值,得出确定的置信区间为

2.σ2未知(与σ2已知类似)
用S代替σ
(1)构造统计量

(2)给出1-α,对T有

(3)代入T,经换算,对μ得

得出μ的置信度为(1-α)的置信区间为

正态总体方差σ2的区间估计
1.μ已知
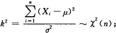
(1)构造统计量

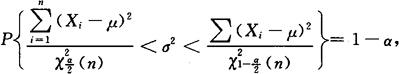
(2)给出置信度1-α,对k2有

(3)代入k2,经换算,对σ2得

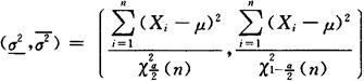
从而得出σ2的置信度为(1-α)的置信区间为

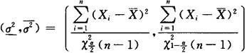
2.μ未知,与μ已知类似(步骤省略)得出

两正态总体期望差(μ1-μ2)的区间估计(只给出结果)
1.
,
均已知

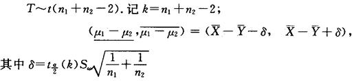
2.
,
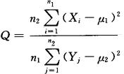
均未知,但
.
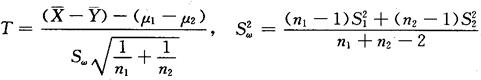
统计量


,

分别为X,Y的样本方差.

3.
,
均未知,但n1,n2很大(一般说大于50),这时用
,
代替
,
,和
,
已知的情况一样处理,μ1-μ2的置信区间

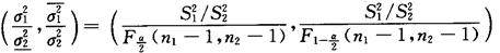
两正态总体方差比
的区间估计
1.μ1,μ2均已知

其中

2.μ1,μ2均未知

(0-1)分布参数p的区间估计
在n很大(n≥50)的情况下,p的(1-α)置信区间为
