网站首页  词典首页


请输入您要查询的字词:

 

字词 原料加氨量的确定
类别 中英文字词句释义及详细解析
释义

原料加氨量的确定


本项测定可为腐殖酸原料加工的工艺过程提供合理的加氨量(即活化剂用量)。

(一)试剂配制

1.0.1N氢氧化钠标准液。

2.0.5N醋酸钙液 称88.1g醋酸钙〔(CH3COO)2Ca〕溶于1L水中。

3.1%酚酞指示剂。

(二)测定步骤 称取腐殖酸原料(草炭、褐煤或风化煤等)样品1.000g(通过0.25mm筛)于125ml三角瓶中,加50.00ml0.5N醋酸钙。另取一三角瓶,同样加50.00ml醋酸钙,作空白标定。各盖以小漏斗,置石棉网上加热至沸,微沸15min左右,趁热过滤于250ml容量瓶中,用热水洗涤残渣至中性,定容。移取100.0ml于300ml三角瓶中,加4滴酚酞指示剂,用0.1N氢氧化钠标准液滴定至微红色,记录其用量(ml)。

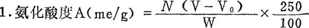
(三)结果计算

2.加氨量(G)

(1)以氨水需用量计:

(2)以碳酸氢铵需用量计:

式中:V——对样品待测液的氢氧化钠滴定量(ml);

V0——空白标定的氢氧化钠滴定量(ml);

NH3%——指所用氨水的含NH3百分数。如氨水含NH3%为17%,此公式简化为G=A×10

0.017——氨的毫当量(g);

0.079——碳酸氢铵的毫当量(g)。

(四)注释 本实验氨化酸度是在加温下进行的,而制造腐殖酸类肥料时是在常温下进行的。因此实际加氨量计算时所用氨化酸度A,最好在0.8A-A之间。

随便看

 

离鸟网收录3541549条中英文词条,其功能与新华字典、现代汉语词典、牛津高阶英汉词典等各类中英文词典类似,基本涵盖了全部常用中英文字词句的读音、释义及用法,是语言学习和写作的有利工具。

 

Copyright © 2004-2024 vtrois.com All Rights Reserved
更新时间:2026/4/20 21:39:53