网站首页  词典首页


请输入您要查询的字词:

 

字词 厂内银行的资金管理
类别 中英文字词句释义及详细解析
释义

厂内银行的资金管理


一、厂内银行资金的定额管理

厂内银行对资金进行管理的落脚点在于明确资金的使用责任,以便考核资金使用单位的业绩,资金使用单位运用资金越少,所取得的成果越大,则其业绩越好,该单位的收益也就应该越多。反之则相反。在对各内部核算单位进行资金考核的时候,主要方法是将其内部核算单位的资金实际占用数与其应该占用数相对比,以发现该单位有无多占用资金,还是少占用了资金。所以,首先应该确定各内部核算单位的应占用资金量,也就是要制定各内部核算单位的资金定额。下面按各类内部核算单位分述资金定额管理的一般方法。

(一)生产车间的资金定额管理

生产车间是工业企业的基本单位,其所占用的资金类别比较复杂,故资金定额的核定也比较繁琐。工业企业生产车间所占用的资金一般有固定资产,材料储备资金,在产品资金,产品积压资金,以及其它用于日常开支占用的资金。这里所指的固定资金是指用于机器设备上的资金。材料储备资金指车间从领用到实际使用材料这一段时间里所占用的材料资金,因为车间领用材料后,一般有一个储备期。在产品资金则是指尚未完工产品所占用的资金。包括半成品所占用的资金。产品资金则是指车间完工产品在完工到送交仓库这一段时间内所占用的资金,因为车间一般要等到完工产品数量达到一定程度时才将其送往仓库。其它占用资金则是指车间管理部门的管理费用,如管理用水电费、办公费等费用型资金。

1.建立材料储备资金定额

核定材料储备资金定额,可使用以下公式:

其中每日耗用材料定额可据日产量和单位产量中内含的材料成本计算。例如某车间每日生产能力为某产品100件,每件产品材料耗用为10元,则每天耗用的材料定额为1000元。当然这里有一个期初,期末在产品问题,但是若期初、期末在产品数量大致平衡,则此因素可略去不计。这里的材料储备定额日数主要是材料的平均领用间隔期。生产车间到仓库领料,一般要领用足够数天乃至半月用的数量。以减少领用材料手续,这对离企业仓库较远的生产车间来说更是如此。材料领用间隔日数就是为了保证生产不间断进行而必须建立的经常储备的天数,领料间隔日数的计算公式如下:

领料间隔日数=每次领料数量÷材料日耗量

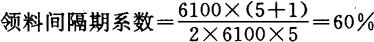
但是,在整个领料间隔日期内,刚刚领用材料时,车间的材料储备资金达到最高潮,在间隔日期内,随着材料的投入生产,材料储备逐渐减少,材料储备资金量也逐渐降低。这样,实际上生产车间材料储备资金大可不必按间隔期内最高储备额计算,而是可以打一个折扣,这一折扣就叫领料间隔系数,领料间隔期系数的计算公式是:

必须指出,对领料间隔期打折扣的必要条件是,生产车间必须领用多种材料,只有在多种材料交叉领用,交叉投入生产的情况下才可计算领料间隔期系数。如果生产车间只领用一种材料,则不管领料间隔期内各自的材料储备相差多么悬殊,也不能打折扣,否则会使车间材料储备资金不足。

兹设一例,说明生产车间储备资金的核定:

〔例〕A生产车间日生产B产品的能力是10台,每台材料成本1000元,车间第5天领料一次,其中C材料日耗100元,D材料日耗3000元,F材料日耗2000元,E材料日耗3000元。试计算A生产车间的材料储备资金定额。

四种材料平均日耗=100+1000+2000+3000=6100

A车间材料储备资金=6100×5×60%=18300(元)

如果生产车间离企业仓库的距离甚远,则还要在计算材料储备定额日数时考虑生产车间的保险日数以及材料在途日数。对此不做赘述。

2.制定在产品资金定额

制定生产车间的在产品资金定额,可使用下述公式:

生产车间在产品资金定额=日产量×单位成本×生产周期×在产品成本系数

其中日产量与单位成本之积是每日发生的成本数,单位成本既包括材料成本,也包括人工成本和其它成本。生产周期是指投产起到产品完工时为止的全部时间,生产周期越长,在产品资金占用的也就越多。在产品成本系数是指单位在产品平均成本与单位在产品成本的比值。因为在生产过程中,生产费用是陆续发生的,生产一开始投入一定量的费用,以后不断增加,直到产品完工,投入全部成本。所以计算在产品成本资金就没有必要按产品的全部成本系数,而是可以打一个折扣,即对全部成本乘上在产品成本系数。折扣的大小,或者说系数的大小,取决于生产费用的增加状况。生产开始阶段投入费用越多,说明生产资金占用时间长,数量大,折扣就越小,即系数大。在产品成本系数的计算公式如下:

其中累计生产费用可按以下公式计算:

累计生产费用=生产周期天数(1+生产周期天数)÷2×生产费用每日递增额

举例说明车间生产资金定额的制定方法。

〔例〕A车间生产B产品日产量10台,单位成本1000元,生产周期10天,每日费用递增1000元。

累计生产费用=10×(10+1)÷2×1000=55000(元)

在产品成本系数=550000÷[1000×(10+1)]=5.5

从而可得到A车间生产资金定额是:

10×1000×10×5.5=550000(元)

3.制定成品资金定额

制定车间的成品资金定额可使用下述公式:

成本资金定额=日产量×单位成本×成品储存定额日数

其中成品储存定额日数是指车间产品完工到送入仓库为止的时间天数。有的车间往往是要到完工产品达到一定数量才送往仓库结算。从而可能使车间储存成品的时间达数天以上。同样由于在成品储存天数内,成品资金是逐渐增加的,也应打一个折扣,方法如同材料储备资金。有的车间,尤其是生产大件产品的车间,则是完工一件立即送至仓库,则无需核定成品资金定额。

4.制定其它资金的定额

这里的其它资金主要是指生产车间的管理费。办公费的资金定额可以按每人每月的开支情况制定,车间管理人员工资及附加费则可按有关规定制定。

(二)制定其它内部核算单位的资金定额

1.供销部门所占用的主要是材料储备资金,产成品储存资金以及供销部门的其它资金。储备资金定额,产品资金定额和费用资金定额的制定可参考生产车间资金定额的制定方法。

2.制定财务部门或厂内银行本身的资金定额

财务部门或厂内银行占用的主要是结算资金,也包括一些办公费用等,结算资金定额的制定主要是制定应收帐款的资金定额,也包括备用金的定额。方法可参见财务管理教科书。

3.制定其它部门的资金定额

其它部门,如人事部门资金定额的制定,主要是管理费用资金定额的制定。

(三)内部核算单位占用资产的价值确定

资金核定以后,厂内银行就要对各内部核算单位目前所占用的资产作一次全面估计,把定额与其所占用资金相对比,多占用的资金上交厂内银行,占用不够的由厂内银行补足,这就涉及到厂内银行对各内部核算单位现占资产价值的确定问题,价值确定方法大致有以下几种:

1.原价法

原价法就是按某资产购入或生产时所记载的价格来估计。如车间占用的材料,低值易耗品等。原价法适用于价格变化不大的材料等物资。

2.净价法

净价法就是按资产的原价扣减资产的已耗损部分来估计,如固定资产原价扣减折旧,材料原价减去已变质部分,化学物品原价考虑蒸发因素。

3.重置成本法

重置成本法就是按某资产的现行购买市价来估计,这种方法多用来价格变化较大,原价不能真实反映资产价值的情形。

4.市价法

市价法就是按某资产的现行出售市价减出售费用来估计,多用于资产价格变动较大而不可重置的资产估价。

二、厂内银行资金的控制

(一)资金来源的控制

企业实行厂内银行,其中心环节是由厂内银行对内部各核算单位实行资金统一管理。内部各核算单位占用厂内银行对之核定的资金量,将暂时闲置多余的资金存入厂内银行,在资金不足时也可向厂内银行告贷。对于各内部核算单位来说,由于它们不是独立的核算单位,不具法人资格,所以也就不能象企业那样,或者不能象厂内银行那样代表企业向外筹款。内部核算单位资金来源的唯一渠道是企业厂内银行。至于各内部核算单位间私下的资金调剂,不管是有偿的还是无偿的,不管是合理的不合理的,原则上都不应允许。因为内部核算单位间的私下资金往来信用不通过厂内银行,就使厂内银行无法监督各内部核算单位的活动,就使厂内银行失去了作用,那么企业的厂内银行也就没有意义了。

那么,内部核算单位占用厂内银行的资金应该采取什么方式呢?是有偿呢?还是无偿呢?无偿的方式显然不利于资金的节约使用,不利于资金管理的加强,故是不可取的,而且无偿的方式还极容易引起内部核算单位争资金占用等诸多弊端。而有偿形式则能促成内部核算单位提高资金使用效率,避免无偿方式情形下所可能引起的弊端。但是由于企业内部各核算单位的性质不同,工作任务不同,资金使用量不同,如果对资金的使用实行全部有偿,则会造成苦乐不均的现象。生产车间的资金占用量与供应部门的资金占用量不同,甚至两个生产车间的资金占用量也是不等的,有偿方式就使用因客观原因需多占资金的单位多付利息,增加财务负担。当然,这一苦乐不均现象可以通过联系其它指标的考核予以消除,但如果这样,有偿占用资金形式就没有必要了。

所以,内部核算单位占用厂内银行的资金以部分有偿最为合适,即对资金定额占用部分实行无偿,对超定额占用部分实行有偿,或对定额占用部分实行低息,对超定额占用部分实行高息。这种资金占用方式消除了有偿和无偿情形下的不良后果。从而既能促进内部核算单位节约使用资金,又能使各内部核算单位在同样的条件下经营,实行公平竞争。但是,在部分有偿占用资金的条件下,非常重要的一条就是厂内银行应该科学合理地核定各内部核算单位的资金定额。

在这种形式下,内部核算单位按核定的资金定额无偿占用资金,对于超定额的资金占用所需资金可向厂内银行告贷。厂内银行受理贷款申请后,应查明和分清告贷者超定额占用的资金,对于不合理的甚至是违纪违法原因所造成资金不足应拒绝贷给,并及时协助处理之。而对于合理的超定额占用,则应批准贷款(如供销部门因集中到货所需资金,生产车间增加产量所需资金等),在一定情形下,厂内银行还可灵活地应用利率杠杆来鼓励和限制贷款。

内部核算单位向厂内银行贷款应注意以下几点。第一,厂内银行贷款是临时性的,不能长期占用。厂内银行如发现有长期占用贷款现象,应考虑资金定额是否合理;第二,内部核算单位向厂内银行借款必须有物资担保,否则的话,就可能导致将贷款用于请客送礼,用于职工福利等现象;第三,厂内银行贷款都是有偿的,只是利率高低不同而已。

厂内银行向企业内部核算单位提供资金,则其本身就需要筹集一定量的资金。厂内银行作为企业专门资金的一个部门是代表企业向外筹资的。由于厂内银行代表企业,而企业又是一个独立的法人,故其筹资的渠道就比较多,既可以向银行贷款,也可以发行债券,甚至在一定条件下还可以向其它企业借款。由于厂内银行本身资金来源的管理原则和方法与企业财务部门筹资方法基本相同,在此不介绍。

(二)资金运用的控制

厂内银行对资金运用的控制应该遵守集中控制和分口分级控制相结合的原则。

1.集中控制

企业厂内银行作为整个企业的资金管理中心,必须对企业资金运用进行统一的控制。如以企业供产销为依据,并考虑各内部核算单位的任务,认真执行资金定额和资金存放计划,统筹安排,并不断通过对各内部核算单位资金的调剂,解决资金供需矛盾,节约使用资金,厂内银行应办好内部核算单位间的资金结算,并办好与企业外部单位的结算往来和借款业务。加速资金流通和活跃物资流动。厂内银行应经常地统一组织,监督和检查各内部核算单位的资金使用情况,督促内部核算单位合理合法地使用资金,努力提高资金使用效果。厂内银行还应定期或不定期地对全企业的资金使用情况和各内部核算单位的资金使用情况进行分析,评价和考核,认真总结经验,纠正偏差,堵塞浪费漏洞,促进全面提高资金管理水平。

2.分口分级控制

厂内银行的集中控制必须和分口分级控制相结合,才能发挥资金管理的积极作用。厂内银行是建立在内部核算单位基础上的,故资金的分口分级管理就是将资金使用的具体控制下放到各内部核算单位,厂内银行按定额拨给或贷给内部核算单位资金,对超额部分以放款的形式补充,同时给内部核算单位以一定的资金使用权,使资金管用结合,权责结合,促进合理使用。由于资金分布在企业的各阶段和各部门,各核算单位对其本身的资金周转情况和运动规律比较熟悉,并且资金使用的好坏,合理合法与否与他们的利益密切相关,故资金的分口分级控制是资金控制质量提高的重要关键。厂内银行资金分口分级管理的另一方面是,内部核算单位对其所除的班组直至个人作更进一步的资金分口分级管理,使资金使用的责任制层层落实,一直落实到个人,使资金的使用情况和职工个人利益挂勾,这样才能调动他们管理资金的积极性,发挥他们应有的作用。

总之,厂内银行本身以及内部核算单位对资金使用的控制涉及许多方法。对生产车间这样一个核算单位说来,应努力缩短周期,降低生产消耗,不能积压半成品,以减少在产品资金的占用,又如对供应部门这样一个内部核算单位说来,其资金控制必须做到有计划采购材料,通过制定采购限额来防止盲目地采购,还应做到材料采购比质、比价、比供货和运输条件,努力降低采购费用。

随便看

 

离鸟网收录3541549条中英文词条,其功能与新华字典、现代汉语词典、牛津高阶英汉词典等各类中英文词典类似,基本涵盖了全部常用中英文字词句的读音、释义及用法,是语言学习和写作的有利工具。

 

Copyright © 2004-2024 vtrois.com All Rights Reserved
更新时间:2026/4/21 5:01:39