网站首页  词典首页


请输入您要查询的字词:

 

字词 卷烟烟气分析
类别 中英文字词句释义及详细解析
释义

卷烟烟气分析


(一)用常规分析吸烟机测定卷烟烟气中总粒相物和焦油

1.原理

抽取卷烟试样,调节。在自动吸烟机上抽吸卷烟,通过玻璃纤维滤片烟气捕集器收集主流烟气中的总粒相物(TPM),称取总粒相物的质量。萃取总粒相物,气相色法测定烟碱和含水率含量。

2.仪器

常规分析用卷烟吸烟机:吸烟机每口标准抽吸持续期应为2s。吸烟机每口抽吸标准容量应为35mL。吸烟机标准抽吸频率应为每60s一次。常规分析用的卷烟吸烟机的辅助设备:

烟嘴(卷烟夹持器):标准烟嘴应从卷烟烟支末端包复烟支9mm,对烟气成分及空气均不应漏气。

捕集器(滤片夹持器):用不透气的惰性化学材料制成,最好是透明的。

滤片:用玻璃纤维原料制成,厚度1~2mm,直径最小44mm。滤片粗糙的面应朝向进入的烟气。滤片应具有以下特性:滤片对邻苯二甲酸二辛酯的气溶胶,在空气的线速度为140mm/s时,应能截留直径大于或等于0.3μm的粒子99.9%以上。

皂膜流量计,35mL附近最小刻度0.1mL。

调节罩。

分析天平:感量0.1mg。

密封件,由与捕集器相同材料制成的捕集器端帽。

质量分选仪。

吸阻仪。

手套,棉制手套或无滑石粉所手术手套。

测定卷烟烟气中总粒相物的环境条件:环境条件为温度22℃±2℃,相对湿度60%±5%。周围空气流通情况应能使烟支在抽吸的时间间隔期产生的支流烟气能有效地排除,而又不使烟支的自由燃烧速率有所变化。

3.试样的制备

(1)将卷烟试样包装拆开,散开放置于相对湿度为60%±2%,温度为22℃±1℃的调节罩中调节含水率48h以上,最多10d,若因故要将试样放置10d以上,则应将其存于原包装中或大小刚好能放入试样的密闭容器中。

(2)将平衡好含水率的试样取100支称量,求出烟支平均质量。用质量分选仪选取平均支质量±0.02g范围以内的烟支为质量合格烟支。

(3)将质量合格烟支距卷烟嘴端9mm处划第一条线,准确至0.5mm,作为插入卷烟夹持器中的长度,距卷烟嘴端标准烟蒂长度处划第二条线,准确至0.5mm,作为留烟蒂长度。标准烟蒂长度应为下述三种长度中的最大者:

——23mm;

——滤嘴长+8mm;

——外包纸长+3mm。

(4)取100支卷烟测定吸阻,求出平均吸阻。把上述质量合格烟支置于气流速度为17.5mL/s的装置中,测定每支卷烟的吸阻(Pa),选取平均吸阻±49Pa范围内的烟支为抽吸卷烟,总数不得少于100支。将抽吸卷烟分为等同的两组,一组放入调节罩中用作测定,另一组包回原包装,贮存于冰箱中,作为备用样品。若卷烟的变异性大,质量和吸阻挑选后合格的烟支数达不到100支,则应适当扩大质量和吸阻范围。

(5)对于常规测定,每牌号抽吸40支卷烟。

4.方法

(1)烟气捕集器的准备:将已在测试大气中调节至少12h的滤片放入夹持器中,滤片的粗糙面应面对烟气进入的方向,合上滤片夹持器。检查滤片夹持器应装配妥当不漏气。若烟气捕集器的设计中包含有孔垫片,则将其放入,然后装好密封件;若卷烟夹持器的设计中包含有孔垫片,则先将其放入,然后装上迷宫环密封圈。若抽吸滤嘴卷烟,应采用迷宫环式卷烟夹持器;若抽吸无嘴卷烟,应采用真空式卷烟夹持器。

称取烟气捕集器质量,精确至0.1mg。

由于烟气捕集器和溶剂吸收含水率,应测定含水率空白值。每个试样应按上述方法准备两个烟气捕集器,用于含水率空白实验。

(2)吸烟机的准备:打开电源,置于自动抽吸循环至少预热20min。检查抽吸持续时间和持续频率应符合标准条件。检查风速应符合标准条件。检查每一通道的抽吸容量。皂膜流量计皂膜的位移可测量出抽吸容量。皂膜流量计应通过一个压降为1000Pa的流量限制器连接到抽吸孔道上。测量前,先用皂液将内壁润湿至35mL处两次,然后等待30~45s,使内壁所挂皂液流下。将皂膜流量计连接到抽吸孔道上,手动抽吸一口,稍候待皂膜稳定后,读取抽吸容量,应为35mL±0.30mL,否则应予调整。重复操作,逐一测量所有通道的抽吸容量。取下保护烟气捕集器,装上已称量的烟气捕集器。

(3)抽吸卷烟:将制备好的抽吸卷烟插入卷烟夹持器标准深度,要避免漏气或使烟支变形,任何有明显缺陷或插入时损伤的卷烟均应弃去。

应使卷烟位置正确。卷烟纵轴与水平面之间形成的角度应尽可能小,若烟蒂末端中心低于另一端中心,则不应超过10°,若烟蒂末端中心高于另一端中心,则不应超过5°。卷烟纵轴应与孔道轴线一致。

调整卷烟使燃烧锥到达烟蒂标记处时启动终止装置。如果用烧断纯棉线(4.44tex)的方法终止抽吸,则棉线应在标记处刚好接触到烟支而不改变其位置。

将抽吸口数计数器清零。点燃烟支,应使卷烟一次点燃。若需重新点燃,则须用手持电热点火器。燃至每一烟蒂标记处时,将燃烧锥取下。一次抽吸过程结束后,等待30s,使烟气捕集器中残留的烟气沉积。

马上插入新的卷烟,取下一个烟蒂插入一支新的卷烟。质量复抽吸过程,直至将预定数量的卷烟抽吸至烟气捕集器中。

(4)用吸耳球将烟气捕集器上的烟灰吹去。取下烟气捕集器。用密封件盖上烟气捕集器的前后孔。立即称取烟气捕集器的质量,精确至0.1mg。

5.计算

每通道每支卷烟总粒相物的质量T,以mg/支表示,按下式计算:

式中 m0——抽吸前烟气捕集器的质量,mg;

m1——抽吸后烟气捕集器的质量,mg;

q——吸入捕集器的卷烟支数。

每支卷烟的焦油量,以mg/支表示,按下式计算:

Tar=T-Nic-W

式中 Tar——卷烟的焦油量,mg/支;

T——一次抽吸实验总粒相物的平均值,mg/支;

Nic——总粒相物中烟碱含量,mg/支;

W——总粒相物中含水率含量,mg/支。

(二)卷烟滤嘴中烟气冷凝物截留指数的测定——分光光度法

1.原理

根据卷烟烟气中总粒相物的测定方法抽吸滤嘴烟,并从留下的烟蒂上将滤嘴头移下,分别将玻璃纤维滤片和滤嘴头溶解于甲醇中,在450nm处用分光光度法测定两个甲醇溶液的吸光度,由吸光度的比值计算烟气冷凝物的截留指数。

2.试剂和材料

甲醇。

3.仪器

常规分析用卷烟吸烟机;

常规分析用的卷烟吸烟机的辅助设备;

密闭调节器;

分光光度计,可在波长450nm处测定。匹配的石英比色皿,光径长度10cm;

容量瓶,100mL,125mL,具磨口玻璃塞;

移液管,5mL,10mL;

离心机。

4.方法

(1)根据测定卷烟烟气中总粒相物的方法抽吸烟支,并从熄灭的烟蒂上去除末端的滤嘴,确保滤嘴不粘带烟丝。

(2)将滤嘴合并在一起放入内有100mL甲醇的容量瓶中,摇动,置于暗处约24h,得滤嘴烟气冷凝物甲醇溶液。

(3)将截留有烟气冷凝物的玻璃纤维滤片从捕集器上取下,合并在一起放入内有100mL甲醇的容量瓶中,摇动,置于暗处约24h,得玻璃纤维滤片烟气冷凝物甲醇溶液。

(4)用移液管分别吸取滤嘴烟气冷凝物甲醇溶液和玻璃纤维滤片烟气冷凝物甲醇溶液各5~10mL于离心机中,离心分离1min以除去悬浮物。

(5)用分光光度计测定上述离心机分离后上清液在450nm处的吸光度。

5.计算

卷烟滤嘴烟气冷凝物截留指数,以质量分数表示,按下式计算:

式中 Rc——卷烟滤嘴烟气冷凝物截留指数,%;

mc——主流烟气冷凝物量,mg;

——被滤嘴截留的烟气冷凝物量,mg;

Af——滤嘴烟气冷凝物甲醇溶液用L1毫米光径的比色皿测得的吸光度;

Ah——玻璃纤维滤片烟气冷凝物用甲醇溶液L2毫米光径的比色皿测得的吸光度。

(三)卷烟烟气总粒相物中含水率的测定——气相色谱法

1.原理

使用常规分析用卷烟吸烟机燃吸烟支,通过捕集器收集主流烟气中总粒相物(TPM)于玻璃纤维滤片上,用配制好的萃取溶剂充分溶解后,定量注入气相色谱仪中,馏出的组分由热导池检测器检测,并在记录器上记录色谱图。根据所测含水率与内标物质的峰高比(或面积比)扣除空白含水率含量后计算出含水率含量。

2.仪器

常规分析用卷烟吸烟机。

常规分析用的卷烟吸烟机的辅助设备。

气相色谱仪,配有热导池检测器及数据处理装置。

分析天平:感量为10-4g。

振荡器。

注射器:5μL,50μL,5mL。

色谱柱:内径在2~4mm之间,长度在1.5~2m之间,可选用玻璃柱、不锈钢柱或镍柱。

磨口具塞三角瓶:50mL。

色谱瓶:2mL。

载气:氦气或氢气,高纯。

标准筛:80~100目/25.4mm2

异丙醇。

无水乙醇(色谱醇,内标物质)。

萃取溶剂:每升异丙醇含0.5mL内标物质。

固定相:乙基乙烯基苯和二乙烯基苯交联的多孔聚合物,GDX-102或Chomosorb102,80~100目/25.4mm2

标准溶液:准备一系列(至少4个)标准溶液,即加水到一定体积的萃取溶剂中,逐渐增加其中的含水率含量使其在可能出现的检测范围内,同时制备一个空白溶液,上述溶液充分振荡后保存于干燥器中。

3.方法

色谱工作条件。

柱温:170℃。

进样口温度:250℃。

载气:氢气(流量15mL/min)。

进样量:2μL。

(1)固定相的处理:担体放入烘箱中在120℃烘4h,冷却,放在硅胶干燥器中备用。

(2)色谱柱的填充与老化:将色谱柱一端用多孔金属网或少许玻璃棉塞住,接在真空泵上。另一端接一个漏斗,把制备好的填料通过漏斗装进色谱柱内。装柱时边抽气边敲打或振动柱子,以保证填充均匀。当柱子填充好后,停泵取下色谱柱,倒出上口端少量固定相,然后用玻璃棉把端口塞住。

将色谱柱安装在色谱仪上,经试漏检查后,打开接检测器的一端。在高于使用温度20~30℃的条件下,通以少量载气老化,直至基线稳定为止。

(3)色谱柱性能检查:在规定的试验条件下,色谱柱应能将空气峰、水峰、乙醇峰和溶剂峰完全分开。

(4)标准曲线的制作:将一定质量范围的蒸馏水注入一系列20mL的萃取溶剂中,至少制备5个标准溶液。将制备的标准溶液分别进样于气相色谱仪,记录含水率和内标峰(或峰面积)。至少重复进样两次。计算每个标准溶液的含水率和内标物质的峰高比(或峰面积比),根据这些数据画出一条峰高比(或峰面积比)与含水率质量关系的曲线图,或者由这些比值按回归曲线公式计算,画出回归线。

标准曲线应在当日完成以后实验时,每基线20个样品的测试后,应进行一次标准曲线校正,取其中间含量的一个标准溶液进行测定,若测定值与实际值相对偏差超出3%,标准曲线应重新制定。

由于空白溶液中含有含水率,所以标准工作曲线一般不经过原点。空白中含水率含量太大会影响测试准确度,应保证其含量不超过1mg/mL。

(5)空白溶液的测试:由于玻璃纤维滤片和萃取溶液在使用过程中不可避免吸收一部分含水率,所以在进行试样测试同时应进行空白溶液的测试。在吸烟时可将空白滤片放在与吸烟同样的环境中,溶液的萃取过程也应相同。

(6)按卷烟烟气中总粒相物的测定方法收集卷烟烟气总粒相物。

(7)同一试样取两个总粒相物接近平均值的玻璃纤维滤片分别溶于萃取溶剂中,取在同样环境条件中存放的一个空白玻璃纤维滤片溶于萃取溶剂中,把试样和空白溶液充分振荡,静置后取上清液在色谱仪上测试。

(8)平行试样分别进样,计算含水率和内标物质的峰高比(或峰面积比),每一试样平行测试值相对偏差应在3%以内。同样方法进行空白溶液的测试。

4.计算

由工作曲线(或回归曲线)计算试样溶液和空白溶液中含水率,然后计算出试样溶液实际含水率含量。取两个平行试样的算术平均值作为试样的测试结果。含水率含量以每支卷烟中含含水率毫克数来表示。

计算结果精确至0.01mg。

(四)卷烟烟气总粒相物pH值的测定

1.原理

将含有总粒相物的玻璃纤维滤片悬浮在蒸馏水中,用pH计读取溶液的pH。

2.试剂和材料

所有试剂均需为分析纯,水为蒸馏水或同等纯度的水。

(1)蒸馏水。

(2)缓冲溶液。

3.仪器

常规分析用卷烟吸烟机。

常规分析用的卷烟吸烟机的辅助设备。

pH计。

500mL锥形烧瓶。

滤纸。

电磁搅拌器。

4.方法

(1)按卷烟烟气中总粒相物的测定方法收集卷烟烟气总粒相物。

(2)校准pH计。

(3)将含有总粒相物的玻璃纤维滤片放入500mL烧瓶中,加入50mL蒸馏水,盖上瓶塞。用电磁搅拌器搅拌15min。用无灰滤纸过滤。测量所得滤液的pH,精确至0.01pH单位。

(五)卷烟烟气总粒相物中总植物碱的测定

1.光度法

(1)原理:分两步水蒸气蒸馏卷烟烟气总粒相物萃取液。用无机酸酸化溶液,蒸馏除去中性与酸性蒸气挥发物,接着将溶液呈强碱性,蒸馏出植物碱,光度法测定馏出液的吸光度,计算出总植物碱的含量,以烟碱表示。

(2)试剂和材料:所有试剂均需为分析纯,水为蒸馏水或同等纯度的水。

①氢氧化钠,片状。

②氯化钠。

③烟碱,最低纯度98%。

④甲醇。

⑤1mol/L硫酸溶液。

⑥0.025mol/L硫酸溶液。

(3)仪器:

水蒸气蒸馏装置。

分光光度计应包括230~290nm波长范围。

匹配的石英比色皿,光径长度为1cm。

常规分析用卷烟吸烟机。

常规分析用的卷烟吸烟机的辅助设备。

容量瓶:50mL、250mL。

单刻度移液管,5mL、10mL、25mL。

三角瓶,250mL。

玻璃漏斗,直径55mm。

快速定性滤纸。

(4)试样的制备:按照测试烟气总粒相物规定的条件,在常规分析用的吸烟机上收集卷烟烟气总粒相物,每个捕集器中玻璃纤维滤片收集5支卷烟主流烟气粒相物。

(5)方法:

①总粒相物的萃取:将烟气捕集器随机分为两组,取下烟气捕集器密封件,打开烟气捕集器,用镊子取出滤片,总粒相物向里拆两次,要小心镊子和手指只接触滤片边缘,将拆好的滤片放入蒸馏瓶中,用两片四分之一滤片(或脱脂棉)擦拭烟气捕集器前盖内壁,放入蒸馏瓶中。重复操作将两组烟气捕集器的总粒相物全部分别放入两个蒸馏瓶中。加入50mL(也可用乙醇或异丙醇),盖上瓶塞,置于暗处放置4h以上(或在电磁振荡器上振荡20min)。

②蒸馏:向蒸馏瓶中加入10mL1mol/L硫酸溶液,将蒸馏瓶连接水蒸气蒸馏装置,开始蒸馏,用250mL三角瓶作接收器。当馏出液达150mL时,停止蒸馏,取下三角瓶,弃去馏出液,将冷凝管末端插入内含10mL1mol/L硫酸溶液的250mL容量瓶中,冷凝管末端应浸入酸液中,向蒸馏瓶中浸入20g氯化钠和2g氢氧化钠,立即连接好蒸馏装置,继续蒸馏,应保持蒸馏瓶中液体体积恒定为30mL,必要时可适当加热,收集220~230mL馏出液,取出容量瓶,同时用水冲洗冷凝管末端,停止蒸馏。确认容量瓶处于室温,用水定容至刻度,摇匀。若溶液不澄清,则将其过滤。

③蒸馏液中植物碱的测定:移取一定体积(通常为10mL)的馏出液于50mL容量瓶中,用0.025mol/L的硫酸溶液定容至刻度,摇匀。以0.025mol/L的硫酸溶液为参比,用紫外分光光度计纯度溶液在236nm、259nm和282nm波长处的吸光度。如259nm处吸光度大于0.7,应取较小体积的馏出液重新稀释纯度。

(6)计算:每支卷烟总粒相物中的总植物碱含量Hnic,以mg/支表示,按下式计算:

其中:

式中 A——校正后在259nm处的吸光度;

1.059——校正因子;

A236,A259,A282——在236nm、259nm和282nm处测得的吸光度;

F——稀释倍数;

n——吸入每组烟气捕集器的卷烟支数。

以两组测定的平均值作为测定结果,精确至0.01mg。同一条件下测定的两组相对平均偏差不应大于3%。

2.气相色谱法

(1)原理:使用常规分析用卷烟吸烟机燃吸烟支,通过捕集器收集主流烟气中总粒相物(TPM)于玻璃纤维滤片上,用配制好的萃取溶剂充分溶解后,定量注入气相色谱仪中,馏出的组分由热导池检测器检测,并在记录器上记录色谱图。根据所测组分于内标物质的峰高比(或面积比)计算烟碱含量。

(2)仪器:

常规分析用卷烟吸烟机。

常规分析用的卷烟吸烟机的辅助设备。

气相色谱仪,配有氢火焰离子化检测器及数据处理装置。

分析天平:感量0.1mg。

注射器:5μL,50μL,5mL。

振荡器。

注射器。

磨口具塞三角瓶:50mL。

色谱瓶:2mL。

色谱柱:内径在2~4mm之间,长度在1.5~2m之间,可选用玻璃柱、不锈钢柱或镍柱。

载气:氮气(纯度99.99%)。

辅助气体:空气,氢气,用于氢火焰离子化检测器。

标准筛:80~100目/25.4mm2

异丙醇。

内标物质:茴香脑或十七碳烷,纯度不低于99%。

萃取溶剂:每1L异丙醇含0.5mL内标物质。

标准物质:烟碱,纯度在98%以上,贮藏在0~±4℃,避光的环境中。

固定相:经酸洗的硅烷化担体加10%的聚乙二醇20mol/L和2%KOH,可用国产405担体(Chomosorb W)80~100目/25.4mm2

标准溶液:将一定质量范围的烟碱注入一系列20mL的萃取溶剂中,至少制备5个标准溶液。而后把标准溶液保存在0~±4℃,避光的环境中。

(3)方法:色谱工作条件:

柱温:170℃。

进样口温度:250℃。

检测器温度:250℃。

载气:氮气或氦气(流量50mL/min)。

辅助气体:空气0.5kg/cm,氢气0.5kg/cm。

进样量:2μL。

①固定相的配制:采用聚乙二醇20mol/L固定液和405担体(80~100目/25.4mm2)。

填料处理:10%聚乙二醇20mol/L+2%KOH+405担体。

②色谱柱的填充与老化:将色谱柱一端用多孔金属网或少许玻璃棉塞住,接在真空泵上。另一端接一个漏斗,把制备好的填料通过漏斗装进色谱柱内。装柱时边抽气边敲打或振动柱子,以保证填充均匀。当柱子填充好后,停泵取下色谱柱,倒出上口端少量固定相,然后用玻璃棉把端口塞住。

将色谱柱安装在色谱仪上,经试漏检查后,打开接检测器的一端。在高于使用温度20~30℃的条件下,通以少量载气老化,直至基线稳定为止。

③色谱柱性能检查:在规定的试验条件下,色谱柱应能将溶剂峰,烟碱峰和内标峰完全分开。

④标准溶液的准备:将一定质量范围内的烟碱(通常在2.5~20mg之间)注入一系列20mL的萃取溶剂中,至少制备5个标准溶液,然后把标准溶液保存在0~4℃的温度下,避光的环境中。

⑤标准曲线的制作:将制备的标准溶液分别进样于气相色谱仪,记录所得烟碱和内标峰高(或峰面积比)。画出峰高比(或峰面积比)与烟碱质量关系的曲线图,或者由这些比值按回归曲线公式计算,画出回归线图(烟碱含量与比值的关系图),这条曲线应呈线性,回归后应通过零点,并利用这条回归曲线的斜率对检测样品进行计算。

⑥按卷烟烟气中总粒相物的测定方法收集卷烟烟气总粒相物。

⑦同一试样取两个总粒相物接近平均值的玻璃纤维滤片分别溶于20mL萃取溶剂中充分振荡。

⑧平行样品分别进样,计算烟碱和内标物质的峰高比(或峰面积比),每一份溶液的测定值相对误差应在3%以内。

⑨取平行测定两次结果的算术平均值作为样品的测定结果。

(4)计算:由工作曲线(或回归曲线)计算烟碱的含量,表示为每支卷烟中含烟碱的毫克数(精确至0.01mg)。同一样品平行测定结果的相对偏差不应超过3%。

(六)卷烟滤嘴中植物碱截留量的测定

1.直接法

(1)原理:根据卷烟烟气中总粒相物的测定方法抽吸滤嘴烟,并从留下的烟蒂上将滤嘴头移下,加入甲醇后,将滤嘴头放入蒸馏瓶中。然后,在酸性溶液中进行水蒸气蒸馏,除去中性和酸性的蒸汽挥发物,弃去馏出液。

蒸馏烧瓶中的残留物加强碱后成碱性,再进行水蒸气蒸馏,以蒸出植物碱。用分光光度法测定馏出液的吸光度,并将植物碱含量做烟碱计算。

滤嘴卷烟主流烟气中冷凝物的收集,冷凝物甲醇溶液的制备以及用蒸馏法测定植物碱的含量均按卷烟烟气冷凝物中植物碱的测定——紫外分光光度法进行。

(2)试剂和材料:所有试剂均需为分析纯,水为蒸馏水或同等纯度的水。

①甲醇。

②8mol/L氢氧化钠溶液。

③1mol/L硫酸溶液。

④0.025mol/L硫酸溶液。

⑤氯化钠。

(3)仪器:

常规分析用卷烟吸烟机。

常规分析用的卷烟吸烟机的辅助设备。

密闭调器。

水蒸气蒸馏设备。

分光光度计,波长范围230~290nm。匹配的石英比色皿,光径长度1cm,测定前后比色皿的吸光度均应相等,否则应做适当校正。

容量瓶,50mL,100mL,250mL。

移液管,5mL,10mL,25mL。

玻璃漏斗,直径约55mm。

快速定性滤纸。

(4)方法:

①根据测定卷烟烟气中总粒相物的方法抽吸烟支,并从熄灭的烟蒂上去除末端的滤嘴,确保滤嘴不粘带烟丝。将滤嘴切开,分两组投入相应的蒸馏瓶中,蒸馏瓶中加入30mL甲醇,1mol/L的硫酸溶液7mL,每20支滤嘴头为一组。

②卷烟滤嘴中植物碱截留量的测定(Fnic)。将蒸馏瓶中的滤嘴和甲醇的混合物放置暗处4~5h,然后,将蒸馏瓶装入蒸馏装置中,向蒸馏瓶中通入水蒸气进行蒸汽蒸馏,调节蒸馏速度,使每分钟至少蒸出10mL。当馏出液约100mL时,停止蒸馏,弃去馏出液。待蒸馏瓶冷至近室温时,向蒸馏瓶中加8mol/L的氢氧化钠溶液15mL和氯化钠10g,继续通入水蒸气进行蒸馏,保持蒸馏瓶中溶液体积恒定,必要时可在蒸馏瓶下辅助加热。同时用1mol/L硫酸溶液10mL作吸收液,收集馏出液约220~230mL时停止蒸馏,用蒸馏水定容至250mL,必要时可进行过滤,用分光光度法测定该溶液中植物碱量。

③主流烟气冷凝物中植物碱的测定(Hnic)。按照卷烟烟气冷凝物中植物碱的测定——分光光度法测定主流烟气冷凝物中植物碱的量。

(5)计算:滤嘴平均截留植物碱指数,以质量分数表示,按下式计算:

式中 Rnic——滤嘴平均截留植物碱指数,%;

Hnic——主流烟气冷凝物中植物碱含量,mg;

Fnic——被滤嘴截留的每组烟气冷凝物中植物碱含量,mg。

2.间接法

(1)原理:根据卷烟烟气中总粒相物的测定方法抽吸滤嘴烟(A),主流烟气冷凝物的收集及其甲醇溶液的制备,植物碱含量的测定均按卷烟烟气冷凝物中植物碱的测定——紫外分光光度法进行。

从同质滤嘴烟的第二组试样中取出烟支滤材(A)抽吸遗下的烟支(B),烟气冷凝物的收集,冷凝物甲醇溶液的制备及用蒸馏法测定植物碱均按卷烟烟气冷凝物中植物碱的测定——紫外分光光度法进行。

(2)试剂和材料:所有试剂均需为分析纯,水为蒸馏水或同等纯度的水。

①甲醇。

②8mol/L氢氧化钠溶液。

③1mol/L硫酸溶液。

④0.025mol/L硫酸溶液。

⑤氯化钠。

(3)仪器:

常规分析用卷烟吸烟机。

常规分析用的卷烟吸烟机的辅助设备。

密闭调节器。

水蒸气蒸馏设备。

分光光度计,波长范围230~290nm。匹配的石英比色皿,光径长度1cm,测定前后比色皿的吸光度均应相等,否则应做适当校正。

容量瓶,50mL,100mL,250mL。

移液管,5mL,10mL,25mL。

玻璃漏斗,直径约55mm。

快速定性滤纸。

(4)方法:

①从分试样B中除去滤材,使末端的套筒仍留在烟支上,如果必须除去原套筒,则将一个新的和原来长度相同的套筒装上。

②分样A滤嘴卷烟主流烟气冷凝物中植物碱(Hnic)的测定,按卷烟烟气总粒相物中植物碱的测定进行。

③不带滤材的分样B主流烟气冷凝物中植物碱的测定(Sni。):

用测试分样A的方法抽吸分样B,确保从吸烟机烟嘴突出的烟支长度在两组分样中是相同的,而且两组分样抽吸的烟支长度也是相同的。

④收集主流烟气冷凝物,测定烟气冷凝物中的植物碱。

(5)计算:滤嘴平均截留植物碱指数,以质量分数表示,按下式计算:

式中 Rnic——滤嘴平均截留植物碱指数,%;

Hnic——主流烟气冷凝物中植物碱含量,mg;

Snic——不带滤材的分样B主流烟气冷凝物中植物碱含量,mg。

(七)卷烟烟气中一氧化碳的测定——非散射红外法

1.原理

按照测定总粒相物的方法抽吸卷烟,收集卷烟烟气气相,用校准过的非散射红外分析仪测定一氧化碳,计算出每支卷烟的一氧化碳量。

2.仪器

常规分析用卷烟吸烟机。

常规分析用的卷烟吸烟机的辅助设备。

气相收集系统,应满足以下要求:

(1)不能干扰吸烟机的正常操作和总粒相物、烟气烟碱的测定。

(2)其设计应能达到当充入CO浓度为6%(体积分数)的卷烟烟气气相时,2h内CO的浓度变化不大于0.2%(体积分数)(绝对量)。

(3)对其应进行选择使其体积至少应等于卷烟烟气气相与清除抽吸体积之和,最大不超过卷烟烟气气相与清除抽吸体积之和的2倍。

非散射红处分析仪,应满足以下要求:

(1)测量范围:0~10%(体积分数)一氧化碳。

(2)精度:满度误差小于1%。

线性度:小于满度1%。

重现性:恒定温度和压力下,满度误差小于0.2%。

(3)对10%(体积分数)CO2响应为CO的值不应超过0.05%(体积分数),对2%(体积分数)水蒸气响应为CO的值不应超过0.05%(体积分数)。

温度计,精确至0.2℃。

气压计,精确至0.1kPa。

标准气体:是CO与氮气的混合气体。应至少有三种浓度,浓度范围应覆盖预期检测到的CO浓度,以免外推曲线。一般来讲,2%(体积分数)、4%(体积分数)和6%(体积分数)三种一氧化碳浓度就足够了。一氧化碳的浓度应予检定(检定相对误差小于2%)。除氮气外,不能使用其他气体,如氦气,否则,检测器的响应回发生变化。

3.方法

(1)分析仪器的校准:分析仪至少预热1h,用环境空气清洗测量槽,并调整分析仪零点。

将浓度为4%(体积分数)的一氧化碳标准气体灌入预先被抽空的气相集气袋,再抽空并用这种气体再充满。确保集气袋中的气体处于环境温度和压力下。引导气体进入测量槽,待读数稳定后记录仪器示值。

将仪器示值调整至标准气体的实际浓度。

用另外两种标准气体重复上述操作。若仪器示值与实际浓度相差超过0.2%(体积分数)(绝对量),则应检查仪器的线性度。

非散射红外分析仪每周应至少校准一次,线性度应小于满度1%,否则表明仪器出现故障。

测定之前,应用4%(体积分数)的一氧化碳标准气体检查校准曲线,若仪器示值与实际浓度相差超过0.2%(体积分数),则应重复整个校准过程。

(2)吸烟和气相收集:按照测定总粒相物的方法吸烟,注意不同的点火方法可以出现CO量略有差异,在吸烟中让烟灰自然地从烟支上落下。

当燃烧已到达烟蒂标记处时,必须将燃烧的炭从烟支上除去,在去掉烟蒂前必须做一次清除抽吸并把另一支烟插进同一个烟支夹持器。一个吸烟过程完成以后,必须做一口清除抽吸,把吸烟机中剩余气相部分的95%转移到收集装置中。对302型吸烟机,最后做2次清除抽吸。

记录每个烟道上的总口数,即抽吸口数加清除口数。同时也记录室温和气压。

(3)测量气相物中CO含量:重新检查仪器校准曲线,将收集到的卷烟烟气导入仪器,待读数稳定后读取仪器示值。

每天实验结束之后,应将集气袋排空,并用环境烟气清洗。

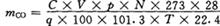
4.计算

每支卷烟的烟气mco,以mg/支表示,按下式计算:

式中 C——一氧化碳的示值,%(体积分数);

V——抽吸容量,mL;

N——总抽吸口数;

p——大气压力,kPa;

q——每通道抽吸的卷烟支数;

T——环境绝对温度,K。

一氧化碳量应精确至0.1mg。结果取各通道的平均值。

(八)卷烟滤嘴中薄荷醇截留量的测定

1.比色法

(1)原理:根据卷烟烟气中总粒相物的测定方法抽吸滤嘴烟,取下滤嘴,用比色法测定滤嘴中薄荷醇的截留量。

(2)试剂和材料:所有试剂均需为分析纯,水为蒸馏水或同等纯度的水。

①乙醇。

②硫酸溶液(1.6mL浓硫酸+1mL水)。

③薄荷醇标准溶液:准确称取100mg薄荷醇置于100mL的容量瓶中,用乙醇溶解并定容至100mL。

④DMAB显色剂:将0.5g邻二甲基氨基苯甲醛溶于硫酸溶液(1.6mL浓硫酸+1ml水)中。

(3)仪器:

常规分析用卷烟吸烟机。

常规分析用的卷烟吸烟机的辅助设备。

密闭调节器。

蒸馏装置。

分光光度计,可在波长550nm处测定吸光度。匹配的石英比色皿,光径长度1cm,测定前后比色皿的吸光度均应相等。否则应做适当校正。

容量瓶,50mL。

移液管,1mL,5mL,10mL,25mL。

(4)方法:

①用移液管移取内含0mg、3mg、4mg、6mg、8mg和10mg薄荷醇的标准溶液分别置于6个100mL的容量瓶中,用乙醇(1+1)稀释并定容至100mL。混匀后各取1mL分别置于10mL的试管内,加入5mLDMAB显色剂,混合均匀,在沸水浴上准确蒸煮2min。用水冷却,在15min内,于波长550nm处,以0标准溶液作参比,测定吸光度A,绘制吸光度A与薄荷醇标准溶液浓度(mg/100mL)的标准曲线。

②按卷烟烟气中总粒相物的测定方法吸烟。

③准确称取2.00~2.15g去掉烟蒂的滤嘴置于蒸馏瓶中,加入80mL水和几粒沸石,通过管B将蒸馏瓶接到冷凝器上,把接管C安装到冷凝器的出口上,并插入100容量瓶(作为接收瓶D)内的20mL乙醇中。

④慢慢加热蒸馏瓶直到开始蒸馏,然后提高加热温度并降低接收瓶D使接管C的细嘴离开液面。继续蒸馏直到收集到20mL馏出物为止。

⑤从B管拆下冷凝器,用乙醇冲洗冷凝器内管壁,移开接收瓶D,用乙醇把馏出液稀释到约70mL,然后加入水近满,混合,冷却至室温,用乙醇定容,再次混合均匀。

⑥移取1mL馏出液置于10mL的试管内,加入5mLDMAB显色剂,混合均匀,在沸水浴上准确蒸煮2min。用水冷却,在15min内,于波长550nm处,测定吸光度A。同时做空白试验。从标准曲线上求出薄荷醇的毫克数。

(5)计算:根据试样的质量或滤嘴头的支数可换算出相应的含量。

2.气相色谱法

(1)原理:根据卷烟烟气中总粒相物的测定方法抽吸滤嘴烟,取下滤嘴,用气相色谱法测定滤嘴中薄荷醇的截留量。

(2)仪器:

常规分析用卷烟吸烟机。

常规分析用的卷烟吸烟机的辅助设备。

气相色谱仪,配有氢火焰离子化检测器及数据处理装置。

分析天平:感量0.1mg。

振荡器。

注射器。

色谱柱:外径为3.75mm,长度为1.5m,不锈钢柱。

载气:氮气。

辅助气体:空气,氢气,用于氢火焰离子化检测器。

标准筛:60~80目/25.4mm2

薄荷醇。

内标物质:薄荷醇-茴香脑标准溶液(每1mL含0.250mg薄荷醇和0.50mg茴香脑),准确称取0.5000g茴香脑,用200mL乙醇将其洗入1mL的容量瓶中,加入0.2500g薄荷醇,用乙醇定容,贮存于暗色玻璃瓶内,若超过6周则需重新配制溶液。

萃取溶剂:每1mL乙醇含0.5mg茴香脑;

固定相:10%(质量分数)硅油DC-550涂渍的ChomosorbW,80~100目/25.4mm2

(3)方法:色谱工作条件:

柱温:150℃。

进样口温度:175℃。

检测器温度:150℃。

载气:氮气或氦气(流量35mL/min)。

辅助气体:空气0.5kg/cm,氢气0.5kg/cm。

进样量:2μL。

①标准曲线的制作:称取约3g不含薄荷醇的卷烟滤嘴置于125mL有橡皮塞的烧瓶,加入薄荷醇-茴香脑标准溶液50.0mL。塞好瓶口,在振荡器上振荡1h。静置15min,取上部清液2μL进样于色谱色谱仪,记录薄荷醇和茴香脑的峰高(或峰面积)。用薄荷醇与茴香脑的峰高比(或峰面积)计算标准溶液的峰高比(或峰面积比)。

②按卷烟烟气中总粒相物的测定方法吸烟。

③准确称取8.0~8.5g去掉烟蒂的滤嘴置于125mL有橡皮塞的烧瓶内,加入100mL萃取溶液,塞好瓶口,在振荡器上振荡2h。静置15min,取上部清液2μL进样于色谱色谱仪,记录薄荷醇和茴香脑的峰高(或峰面积)。

④平行试样分别进样,计算薄荷醇与茴香脑的峰高比(或峰面积比),每一试样平行测试值相对偏差应在3%以内。

⑤取平行测定两次结果的算术平均值作为试样的测试结果。

(4)计算:按下式计算卷烟滤嘴中薄荷醇的含量w薄荷醇,以%表示:

式中 X——待测试样中薄荷醇的峰高(或峰面积);

A——茴香脑(0.50mg/mL)的峰高(或峰面积);

S——标准溶液的峰高比(或峰面积比);

m——试样质量,g。

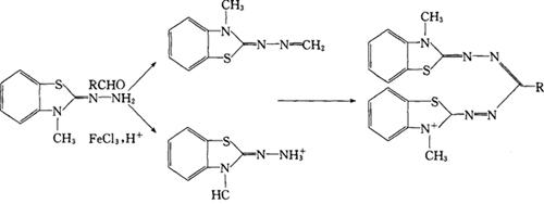
(九)卷烟烟气中总挥发性脂肪醛的测定

1.原理

将总烟气或蒸汽相捕集在甲醇中,溶液中的总挥发性脂肪醛与3-甲基-2-苯并噻唑酮腙盐酸盐缩合生成丫嗪,氯化铁将3-甲基-2-苯并噻唑酮腙盐酸盐氧化成Ⅰ,Ⅰ与丫嗪缩合生成带色阳离子Ⅱ(共振结构之一),与标准物进行比对。

2.试剂和材料

所有试剂均应为分析纯,水应为蒸馏水或同等纯度的水。

(1)0.4%(质量分数)3-甲基-2-苯并噻唑酮腙盐酸盐溶液。

(2)0.4%(质量分数)氯化铁六水合物水溶液。

(3)甲醇。

(4)乙醛。

(5)丙酮。

3.仪器

常规分析用卷烟吸烟机。

常规分析用的卷烟吸烟机的辅助设备。

千分之一分析天平。

吸烟冷阱。

杜瓦瓶。

电烘箱。

可见分光光度计。

4.方法

(1)准确称量一装有约40mL甲醇的50mL具塞容量瓶,加入2.5~3.0g乙醛并重新称量。用甲醇稀释到50mL。

(2)取2mL上述溶液,用甲醇稀释到100mL,然后再从此溶液中取出2.0mL,用甲醇稀释到50mL。

(3)计算最后一个乙醛溶液的乙醛含量(20~24mg/mL)。

(4)取5个100mL容量瓶,分别吸取0(试剂空白)、0.5mL、1.0mL、1.5mL、2.0mL的乙醛溶液(20~24mg/mL)置于5个100mL容量瓶中,用移液管加入甲醇,使每个体积调整到2.0mL。除了加入试剂以外,该容量瓶要注意盖好。5个容量瓶中分别加入5mL0.4%(质量分数)3-甲基-2-苯并噻唑酮腙盐酸盐溶液。加入空白和0.5mL容量瓶时要连续加入,加入其他瓶时应间隔2min,摇匀,然后使容量瓶在0℃时放置30min。

(5)分别吸取25mL0.4%(质量分数)氯化铁六水合物水溶液加入各容量瓶中,每个应相隔2min后再加入,摇匀,室温下静置10min,然后用丙酮稀释到100mL,摇匀。

(6)于10mm光程池中在600nm测量各溶液对空白的光密度,每个之间维持2min的间隔。

(7)绘制乙醛浓度对光密度的曲线,应得到一条通过原点,顶点光密度为0.8~0.9的线性校正曲线。

(8)启动吸烟机,保持自动循环,预热20min以上,预热时为每个通道准备一对吸烟冷阱,两个冷阱中分别加入50mL甲醇,将冷阱串联并浸入装有干冰丙酮混合溶液的杜瓦瓶中。对于蒸汽相的分析,在卷烟和冷阱之间插入一个玻璃纤维滤片。按卷烟烟气中总粒相物的测定方法抽吸卷烟。

(9)核对最终吸烟体积后,将每对冷阱中的溶液合并,倒入250mL的容量瓶中,并用甲醇冲洗冷阱,冲洗液也倒入容量瓶中,混匀,降至0℃并用甲醇稀释到250mL。

(10)将该溶液调整到室温,吸取1mL置于100mL容量瓶中,加入1mL甲醇,按上述方法进行显色。

(11)从校正曲线上读出相当于每个吸烟溶液光密度值的乙醛质量。

5.计算

按下式计算每对冷阱中总挥发性脂肪醛(以乙醛计)的含量:

式中 A——每对冷阱中总挥发性脂肪醛的含量,mg/支;

m——相当于乙醛的量,μg;

n——吸入每对冷阱中卷烟数量。

(+)卷烟烟气中丙烯醛的测定

1.原理

用气相色谱法分析烟气蒸汽相试样,并将该结果与标准试样对比,可分析整支烟,也可分析抽吸一口烟产生的蒸汽相。

2.试剂和材料

所有试剂均应为分析纯,水应为蒸馏水或同等纯度的水。

(1)丙烯醛。

(2)乙醚。

(3)Chomosorb 102:用前在填充柱中通入载气加热到230℃老化1h。

(4)氦气或氮气。

(5)多层复合塑料薄膜。

3.仪器

常规分析用卷烟吸烟机。

常规分析用的卷烟吸烟机的辅助设备。

万分之一分析天平。

取样袋。

加热-封口烙铁。

气相色谱仪。

注射器。

色谱柱:内径在3mm,长度在3.7m,不锈钢柱。

固定相:Chomosorb 102。

4.方法

色谱工作条件:

柱温:125℃。

载气:氮气或氦气(流量20mL/min)。

(1)配制0.05%(体积分数)丙烯醛溶液,通过进样垫分别注入2μL、4μL、6μL、8μL、10μL于气相色谱仪,绘制峰面积对注入丙烯醛质量关系的曲线,所用丙烯醛为0.84g/mL。

(2)制作一个长200mm、底200mm的三角形塑料袋,在顶角上封有一个金属管,此袋排在1L布氏烧瓶上使用。

(3)启动吸烟机,保持自动循环,预热20min以上,预热时用一小段螺旋夹的短橡胶管将捕集器连接在取样袋的进出口管上,将不是布氏烧瓶的另一口用耐压胶管连接到吸烟机的一个通道上。按卷烟烟气中总粒相物的测定方法抽吸卷烟。

(4)吸完最后一口烟后,拆下捕集器,将夹紧的袋子连接到气体取样阀上,阀上有一个顶体积环,该环所取之试样将给出一个在校正曲线上可查到含量的丙烯醛峰。先用蒸汽相冲洗取样环,然后在与制作校正曲线时相同的条件下注入试样。每次测定使用一个新袋。

(5)从校正曲线上读出所注入的蒸汽相试样中丙烯醛的质量。

5.计算

按下式计算每支卷烟中丙烯醛的含量:

式中 A——每支卷烟中丙烯醛的含量,μg/支;

m——试样中的丙烯醛,μg;

n——卷烟抽吸口数;

V——试样体积,mL。

(十一)卷烟烟气冷凝物中挥发酸的测定

1.原理

卷烟抽吸后冷凝物收集在吸烟冷阱中,然后用乙醚和碳酸氢钠水溶液提取冷阱。酸化后,水溶液进行蒸馏,馏出物中蒸汽-挥发酸用氢氧化钠标准溶液进行滴定。

2.试剂和材料

所有试剂均应为分析纯,水应为蒸馏水或同等纯度的水。

(1)乙醚。

(2)0.02mol/L碳酸氢钠。

(3)0.01mol/L氢氧化钠。

(4)2.5mol/L硫酸。

(5)无水乙醇。

(6)氮气。

(7)指示剂:甲酚红(0.15g)和亚甲蓝(0.025g),溶于100mL乙醇中。

3.仪器

常规分析用卷烟吸烟机。

常规分析用的卷烟吸烟机的辅助设备。

吸烟冷阱。

杜瓦瓶。

蒸汽浴。

蒸汽发生器。

蒸馏釜。

水冷冷凝器。

4.方法

(1)启动吸烟机,保持自动循环,预热20min以上,预热时准备冷阱,在冷阱较宽一臂底部放入一螺旋玻璃,然后填入玻璃填料,填至接口下10mm。插入直角弯管。用一小段耐压胶管将冷阱较窄一臂连接到吸烟机上,并将冷阱完全浸入装有干冰丙酮混合溶液的杜瓦瓶中。按卷烟烟气中总粒相物的测定方法抽吸卷烟。

(2)当釜冷却后,用5mL0.02mol/L碳酸氢钠和30mL乙醚混合物提取冷阱5次,将提取物合并于250mL分液漏斗中,将水层转移到100mL烧杯中,用0.02mol/L碳酸氢钠(2×10mL)洗涤醚层,并将洗涤液倒入烧杯中,弃去醚层。烧杯上覆盖一表面皿,于蒸汽浴上加热10~15min,除去水层中溶解的醚。冷却后,将碳酸氢钠溶液转移到50mL量瓶中,用水冲洗烧杯和表面皿,并用水稀释至刻度。

(3)吸取100mL上述溶液置于蒸馏釜中,加入2mL2.5mol/L硫酸,轻轻地混合。用5mL将蒸馏釜内壁清洗一下。

(4)蒸汽蒸馏20min,用微型本生灯(煤气灯)加热,维持釜内体积小于20mL,直至收集到约150mL馏出物时为止。

(5)用10mL0.02mol/L碳酸氢钠按(2)、(3)操作进行一次空白蒸馏。

(6)用氮气流鼓泡缓慢通入馏出物15min除去二氧化碳,加5滴指示剂并用一可读到0.01mL、装有0.01mol/L氢氧化钠溶液的滴定管滴定试样和空白。滴定时馏出物应通入氮气保护。溶液颜色由绿变紫即为终点。

5.计算

按下式计算每个冷阱中蒸汽-挥发酸(以乙酸计)的含量:

式中 A——每个冷阱中蒸汽-挥发酸的含量,mg/支;

X——烟气馏出物的滴定度;

b——空白馏出物的滴定度;

n——引入冷阱中卷烟数目。

(十二)卷烟烟气中氰化氢的测定

1.原理

将总烟气或蒸汽相捕集在甲醇中,溶液中的氰化氢与氯胺-T作用转化成氯化氢,氯化氢与吡啶作用得到戊烯二醛,戊烯二醛与二乙基丙酮二羧酸盐形成带色络合物,与标准物对照比色。

2.试剂和材料

所有试剂均应为分析纯,水应为蒸馏水或同等纯度的水。

(1)0.2%(质量分数)氯胺-T水溶液。

(2)二乙基丙酮二羧酸盐。

(3)甲醇。

(4)氰化钾。

(5)吡啶。

(6)吡啶-酯指示剂:将1mL二乙基丙酮二羧酸盐加入由100mL吡啶和500mL水配成的溶液中,用力振荡。

3.仪器

常规分析用卷烟吸烟机。

常规分析用的卷烟吸烟机的辅助设备。

万分之一分析天平。

吸烟冷阱。

杜瓦瓶。

电烘箱。

可见分光光度计。

4.方法

(1)将0.3g氰化钾在105℃干燥3h,准确称量干燥氰化钾240mg,溶解在蒸馏水中,并用水稀释至1L。再将该溶液25mL用蒸馏水稀释至250mL,此溶液约含氰化氢10mg/L。

(2)分别吸取10mL、15mL、20mL、25mL、30mL上述溶液,加入5个50mL容量瓶中,用蒸馏水稀释至刻度。从这5个溶液中各取5mL试样分别加入5个50mL容量瓶中,再取5mL水作为试剂空白加入到6个50mL容量瓶中。这些容量瓶中约分别含10μg、15μg、20μg、25μg、30μg和0μg氰化氢。每一容量瓶中加入5mL0.2%(质量分数)氯胺-T水溶液,混匀并立即用吡啶-酯指示剂稀释至50mL,摇匀,8~10min后用5mm光程吸收池中在518nm测量各溶液对试剂空白的光密度。

(3)绘制氰化氢浓度对光密度值的校正曲线,应得到一条通过原点,顶点光密度为0.8~0.9的线性校正曲线。

(4)启动吸烟机,保持自动循环,预热20min以上,预热时准备几对吸烟冷阱,每个冷阱中分别加入50mL甲醇,用耐压胶管将各对冷阱连接到吸烟机上。将每对冷阱浸入装有干冰丙酮混合溶液的杜瓦瓶中。安排好冷阱的位置,使卷烟烟支分开,避免互相加热。按卷烟烟气中总粒相物的测定方法吸烟。

(5)用甲醇将各对冷阱中的捕集物冲洗出,混匀后,吸取5mL溶液置于50mL容量瓶中,每一容量瓶中加入5mL0.2%(质量分数)氯胺-T水溶液,混匀并立即用吡啶-酯指示剂稀释至50mL,摇匀,8~10min后用5mm光程吸收池中在518nm测量各溶液对试剂空白的光密度。

(6)从校正曲线上读出每5mL烟气溶液中氰化氢质量。

5.计算

按下式计算每个冷阱中氰化氢的含量:

式中 A——每个冷阱中氰化氢的含量,mg/支;

R——5mL烟气溶液中氰化氢量,μg。

(十三)卷烟烟气中乙氰的测定

1.原理

将总烟气捕集在甲醇中,用配备有选择性氮检测器的气相色谱仪测定溶液中的乙氰。烟气中较少量的丙烯氰和丙氰也会从气相色谱中洗提出来,可通过本方法来测定。

2.试剂和材料

所有试剂均应为分析纯,水应为蒸馏水或同等纯度的水。

(1)甲醇。

(2)乙氰。

(3)氦气。

(4)氢气。

3.仪器

常规分析用卷烟吸烟机。

常规分析用的卷烟吸烟机的辅助设备。

万分之一分析天平。

吸烟冷阱。

保护冷阱。

电烘箱。

气相色谱仪。

微量注射器。

色谱柱:内径6mm,长度在1.5m,玻璃填充柱。

固定相:Porapak Q,80~100目/25.4mm2

4.方法

色谱工作条件:

柱温:170℃。

载气:氦气(流量45mL/min)。

(1)准确称量装有约40mL甲醇的50mL具塞容量瓶,加入1mL乙氰并称量。用甲醇稀释到50mL,混匀。由该溶液中取出5mL,用甲醇稀释到50mL,混匀,得一贮存溶液。

(2)分别吸取1.0mL、3.0mL、6.0mL、10.0mL乙氰贮存溶液,置于4个250mL容量瓶中,用甲醇稀释到刻度,混匀。依次将每种溶液5μL注入气相色谱仪。总流出时间约为10min。必须等待丙氰流出,否则它将干扰下一次测定。

(3)绘制峰高对乙氰浓度(μL/10mL注入溶液)的校正曲线。可从该曲线直接查出抽吸5支卷烟得到的烟气溶液中每支烟的乙氰含量(μg)。

(4)启动吸烟机,保持自动循环,预热20min以上,预热时,准备几对吸烟冷阱,每个吸烟冷阱中分别加入50mL甲醇。用一对冷阱,经保护冷阱串联在每个通道中。按卷烟烟气中总粒相物的测定方法抽吸卷烟。

(5)核对最终吸烟体积后,依次将每个吸烟冷阱中的5μL溶液注入气相色谱仪。从校正曲线上读出每个通道的乙氰含量(μg/支),将每对冷阱的结果加在一起。

(十四)卷烟总粒相物中挥发酚类的测定

1.原理

酸化的总粒相物经蒸汽蒸馏提取出酚类,馏出物与4-氨基非那宗和铁氰化钾反应得到带色络合物,用氯仿提取,并与标准物对照经比色测定,以苯酚计。

2.试剂和材料

所有试剂均应为分析纯,水应为蒸馏水或同等纯度的水。

(1)3mol/L硫酸。

(2)硼酸。

(3)氢氧化钠。

(4)4-氨基非那宗。

(5)铁氰化钾。

(6)苯酚。

(7)氯仿。

(8)无水硫酸钠。

(9)溶液A:将40g硼酸和11.5g氢氧化钠溶于约700mL蒸馏水中,加入0.11g4-氨基非那宗,用蒸馏水溶解并稀释至1L。

(10)溶液B:将40g硼酸和11.5g氢氧化钠溶于约700mL蒸馏水中,加入4g铁氰化钾,用蒸馏水溶解并稀释至1L。

3.仪器

常规分析用卷烟吸烟机。

常规分析用的卷烟吸烟机的辅助设备。

万分之一分析天平。

吸烟冷阱。

可见分光光度计。

水浴。

蒸汽发生器。

蒸馏釜。

水冷冷凝器。

4.方法

(1)在具塞称量瓶中准确称取0.12g苯酚,然后用蒸馏水溶解并稀释至1L。

(2)分别吸取1.0mL、1.5mL、4.0mL、6.0mL、8.0mL、10.0mL上述溶液,分别用蒸馏水稀释至250mL。再从这些溶液中各取15mL和作为试剂空白的蒸馏水15mL分别加入100mL分液漏斗中,各加入15mL的溶液A,10mL的溶液B,混合后静置30min,用氯仿(1×10mL,1×5mL)提取各溶液,合并两次氯仿提取液,用约1g无水硫酸钠干燥。

(3)每个干燥过的氯仿溶液,通过一石英棉塞倒入25mL容量瓶中,将小块硫酸钠弄碎,并反复用1~2mL的氯仿冲洗它和硅棉,直到颜色不再减褪时为止。用氯仿溶液将各溶液稀释到25mL。

(4)用10mm光程吸收池和460nm波长,以试剂空白的氯仿提取物为空白测定这些试样光密度并绘制苯酚浓度对光密度值的校正曲线。根据所用的量,可得到一条通过原点,顶点光密度为0.5~0.6的线性校正曲线。

(5)启动吸烟机,保持自动循环,预热20min以上,预热时按一准备总粒相物和吸烟冷阱。按卷烟烟气中总粒相物的测定方法吸烟。

(6)从捕集器中取出玻璃纤维滤片转移到蒸馏釜中,用另一小块玻璃纤维滤片沾上甲醇擦拭捕集器内侧也置于蒸馏釜中,再加入15mL蒸馏水,接好釜头和冷凝器,将蒸馏釜放到沸水浴上,冷凝器的导出管刚好插入到250mL容量瓶中的一薄层蒸馏水表面下。

(7)通过10/19接口加入6mL3mol/L硫酸,此时注意瓶塞周围始终保持液封。连接蒸汽发生器,进行蒸汽蒸馏,直至250mL容量瓶中收集到约200mL馏出物时为止。

(8)使馏出物温度降至室温,用蒸馏水稀释到250mL,混匀。

(9)取出2份15mL的上述溶液,分别加入到100mL分液漏斗中作为重复检验用,按本节4之(2)~(4)操作,完成显色。

(10)从校正曲线上读出15mL馏出物溶液中酚类的含量(以苯酚计)。如发现光密度值在校正曲线的范围以上,可少取一些试样重新提取和显色。

5.计算

按下式计算每个冷阱中蒸汽-挥发酚(以苯酚计)的含量:

式中 A——每个冷阱中蒸汽-挥发酚的含量,mg/支;

B——15mL馏出物溶液(两次平行样平均值)中酚的含量,μg;

N——当抽吸5支卷烟时为5,抽吸3支雪茄烟时为3。

(十五)卷烟烟气中氮氧化物的测定

1.原理

使用仪器分析一口接一口地抽吸卷烟所产生的新鲜烟气的蒸汽相,该仪器能测量氮氧化物与臭氧反应产生的化学发光。由于氮氧化物与其他蒸汽相组分的反应,需要一口接一口地抽吸卷烟进行分析。

2.试剂和材料

校正气体混合物:已知浓度的氮氧化物在氮气与中配制的标准气体混合物。待测的氮氧化物浓度必须在该已知浓度的范围内。

3.仪器

常规分析用卷烟吸烟机。

常规分析用的卷烟吸烟机的辅助设备。

化学发光分析器。

三通玻璃活塞。

注射器。

4.方法

(1)由三通玻璃活塞A将一适当浓度的校正气体抽入注射器,调整活塞A、B和C,使气体抽入仪器并记录读数。如读数不正确,可用校正控制钮调到正确的读数值。

(2)已调整好的有关浓度范围的读数值,至少用一个其他的标准气体混合物加以检查。

(3)启动吸烟机,保持自动循环,预热20min以上,预热时按一准备总粒相物。按卷烟烟气中总粒相物的测定方法吸烟。

(4)点燃卷烟前,用活塞A将校正气体入口隔开(使注射器仍连接到吸烟机上),用活塞B将吸烟机隔开,打开活塞C使分析器吸入空气。点燃卷烟,在第一口吸烟后,经适当调整活塞B将八个通道的蒸汽相合并通入注射器。

(5)烟气试样转移到大注射器之后,立即转动活塞B和C,使试样抽入分析器,注意分析器上的最大读数。该测量必须在吸烟间歇期间完成。每口吸烟均需重复此步骤,包括清除抽吸。当大多数卷烟达到烟蒂标记时,熄灭燃烧的烟蒂,记录吸烟口数。注意:所有的吸烟口必须取相同的总吸烟口数,吸烟时不要试图熄灭个别的卷烟,进行一口或多口清除抽吸并记录总吸烟口数。所需清除抽吸口数与死体积有关,并需在分析试样前确定。

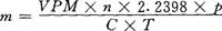
5.计算

分析器标尺上的读数以VPM(10-6mg/kg)计,氮氧化物的结果以μg/支表示,由每口吸烟产生的氮氧化物总量计算得到。

按下式计算每口吸烟(即将所有通道的蒸汽相合并到一起)的氮氧化物含量:

式中 m——35mL吸烟的氮氧化物的含量,μg;

T——热力学温度,K;

p——压力,Pa;

C——所抽吸卷烟的数目;

n——所用的通道数目。

将μg/(每口吸烟)的单独结果(包括清除抽吸)相加得出μg/支。

随便看

 

离鸟网收录3541549条中英文词条,其功能与新华字典、现代汉语词典、牛津高阶英汉词典等各类中英文词典类似,基本涵盖了全部常用中英文字词句的读音、释义及用法,是语言学习和写作的有利工具。

 

Copyright © 2004-2024 vtrois.com All Rights Reserved
更新时间:2026/4/21 11:28:36