网站首页  词典首页


请输入您要查询的字词:

 

字词 卷接过程中的技术检验
类别 中英文字词句释义及详细解析
释义

卷接过程中的技术检验


(一)钢印检验

随机抽取20支试样,检验钢印颜色(套色)是否正确,图案是否清晰,并用钢尺量钢印在烟支上的位置是否一致。

(二)搭口检验

随机抽取20支试样,目测搭口的牢度;再任取3支试样,用两手捏住烟支两头扭转90°,检验其是否有1/4长度爆开,若爆开则重新取样复测。若复测仍爆开,即确定为爆口烟。

(三)切口检验

随机抽取20支试样,目测切口的平整度,若歪斜则用钢尺量其高低值。

(四)表面检验

随机抽取20支试样,目测表面的整洁度(油渍、黄斑、污点、皱纹、刺破),然后用钢尺测量烟支上不整洁缺陷的大小。

(五)长度检验

随机抽取20支试样,放在量烟盘内,目测其长短,然后用钢尺测量过长或过短烟支的长度。若测量精度要求较高,可用烟草投影仪测量。

(六)圆周检验

随机抽取20支试样,放在量烟盘内,转动检验烟支是否粗细一致。若发现有粗细不匀的情况,可任取10支,用刀片沿搭口处切开,用钢尺量其纸宽,计算算术平均值。若测量精度要求较高,可用烟支圆周测定仪逐支测量。

(七)质量检验

(1)随机抽取20支试样,放在卷烟秤上称量(使用1%g天平),检验20支卷烟质量。

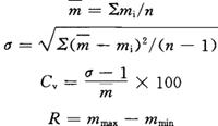
(2)随机抽取100支试样,放在10-3g分析天平上或烟支单支质量测定仪上逐支称取单支质量,并按下式计算烟支平均质量,烟支标准偏差,变异系数及烟支质量极差:

式中 m——烟支平均质量,g;

mi——所测烟支质量,g;

n——所测烟支数量;

σ——烟支质量标准偏差;

Cv——变异系数,%;

R——烟支质量极差,g;

mmax——所测烟支中最重的烟支质量,g;

mmin——所测烟支中最轻的烟支质量,g。

(八)空松检验

随机抽取20支试样,凭手感测定烟支的饱满程度及是否有竹节现象,目测烟支截面空松程度,然后用圆柱形毫米尺量其烟丝下陷的程度。从一批卷烟内随机抽样200支检验并计算卷烟空头率。

(九)接装质量检验

随机抽取20支试样,目测接装质量,包括接装是否漏气、有皱纹、搭口翘边和长短错位、滤嘴切口歪斜、有毛渣;用钢尺测量接装纸长短。如对烟支长度有疑问,应剥开接装纸测量滤嘴的长度。

随便看

 

离鸟网收录3541549条中英文词条,其功能与新华字典、现代汉语词典、牛津高阶英汉词典等各类中英文词典类似,基本涵盖了全部常用中英文字词句的读音、释义及用法,是语言学习和写作的有利工具。

 

Copyright © 2004-2024 vtrois.com All Rights Reserved
更新时间:2026/4/19 21:49:50