网站首页  词典首页


请输入您要查询的字词:

 

字词 卤井自喷的条件
类别 中英文字词句释义及详细解析
释义

卤井自喷的条件


(一)只依靠静水压头能量举卤时的自喷条件

当井中为单相液体流动时,这些液体将单纯依靠静水压头(位能)自喷。因此自喷条件为:

式中 H——井深(m)

γ——液体相对密度

P——井底压力(MPa)

当卤井自喷稳定时,井底流动压力(P)和井口油管压力(P)之差,就是用来克服井中液柱压力和流动时的摩擦阻力。其流动规律,根据水力学可列出下式:

式中 P——井底压力(MPa)

P——油管压力(MPa)

H——井深(m)

λ——水力阻力系数,无因次,与雷诺数有关

D——油管直径(m)

V——流体在油管中的流速(m/s)

Q——产液量(m3/s)

ρ——液体密度(kg/m3)

μ——液体粘度(MPa·s)

g——重力加速度

若用压头梯度(即水力坡度)表示,则可写为:

(二)有气体膨胀能量参与举卤时的自喷条件

当井内卤水有气体分出或混有自由气,即井底压力(P)<饱和压力(P)时,此时充满油管的不是纯液柱而是混气液柱。井底压力能克服混气液柱的压力与沿程摩擦阻力之和,即可自喷。其自喷条件是:

式中 ——油管中混气液体的平均相对密度

在稳定自喷时:

式中 H——从井底到井口由于摩擦而损失的压头(以纯液柱高度表示)

油管平均单位长度上的总压头损失(即平均压头梯度)为:

式中 h——沿油管平均的单位长度上的摩擦阻力所消耗的压头(以纯液柱高度表示)

——沿油管平均的单位长度上混气液柱的压头(以纯液柱高度表示)

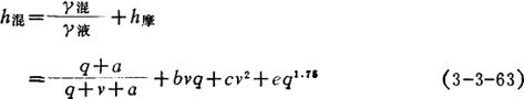
(三)单元管内,混气液体运动的经验方程式

式中 h——沿油管单位长度上的总压头损失(以纯液柱高度表示)

单位长度油管中混气液柱的压头,其影响因素与气液性质、流量、管径等14个物理参数有关(以纯液柱高度表示)

h——单位长度油管中的摩擦损失(以液柱高度表示)

vq——为气体和液体的体积流量(m3)

α=0.785d2

随便看

 

离鸟网收录3541549条中英文词条,其功能与新华字典、现代汉语词典、牛津高阶英汉词典等各类中英文词典类似,基本涵盖了全部常用中英文字词句的读音、释义及用法,是语言学习和写作的有利工具。

 

Copyright © 2004-2024 vtrois.com All Rights Reserved
更新时间:2026/4/20 16:48:41