网站首页  词典首页


请输入您要查询的字词:

 

字词 卡拉胶
类别 中英文字词句释义及详细解析
释义

卡拉胶


别名 鹿角藻菜、角叉胶

编码 GB 20.007;INS 407

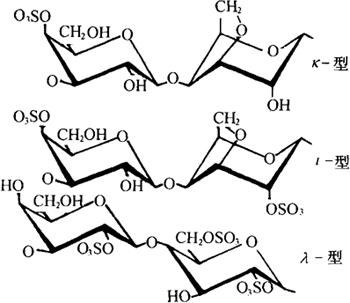
化学结构 本品为硫酸化的线性半乳聚糖。其硫酸酯基存在于某些或所有的半乳糖单元中,且依其半乳糖残基上硫酸酯基团等的不同可有不同类型,主要有κ-型、ι-型和λ-型三类。

性状 白色或浅黄色粉末,无臭,无味,有的产品稍带海藻味。在热水或热牛奶中所有类型的卡拉胶都能溶解。在冷水中,λ-型卡拉胶溶解,κ-型和ι-型卡拉胶的钠盐也能溶解,但κ-型卡拉胶的钾盐或钙盐只能吸水膨胀,而不能溶解。卡拉胶不溶解于甲醇、乙醇、丙醇、异丙醇和丙酮等有机溶剂。其水溶液具凝固性,所形成的凝胶是热可逆的。

制法 海藻洗净(漂白)、晒干,放入提取锅中,加30~50倍水(或适量碱液),蒸汽加热(100℃左右)40~60min,然后按下述两种方法提取:

(1)向提取液中加入助滤剂后过滤,经干燥粉碎即得。

(2)边搅拌,边向过滤出的提取液中加入醇类溶剂,离心取沉淀,经干燥、粉碎即得。

质量标准

*FCC(Ⅳ)无卡拉胶标准。

* *因卡拉胶的结构类型不同而不同。

鉴别方法

(1)取本品4g,加入蒸馏水200mL,加热至80℃不断搅拌直至本品溶解。用蒸馏水补充蒸发损失的水分,使溶液冷至室温,变成半透明粘稠液体,并能产生凝胶状物。

(2)取上述溶液50mL,加入2.5%氯化钾溶液200mL,重新加热并充分混匀,冷却,用玻璃棒测试,当出现脆性的胶体时,说明是以κ-型为主的卡拉胶;当出现柔软性(弹性)胶体时,说明是以ι-型为主的卡拉胶;如果溶液不是胶体,那就是以λ-型为主的卡拉胶。

(3)取(1)溶液5mL,加入亚甲基蓝溶液(1十100)一滴,产生纤维状沉淀。

毒理学依据

1.LD50 大鼠口服约5.1~6.2g/kg(bw)(在其钠盐和钙盐中混入25%玉米油乳浊液)。

2.GRAS FDA-21CFR 182.7255;172.626;172.620;172.623。

3.ADI 无需规定(FAD/WHO,1994)。

使用 增稠剂、乳化剂、调合剂、胶凝剂、稳定剂。

1.使用注意事项

(1)卡拉胶的凝固点、熔点、泌水性的高低或大小与海藻的种类、制造方法和测定时的条件有关。测定粘度时,温度必须控制在其凝固点以上。

(2)用乙醇、甘油、砂糖糖浆湿润,或与3倍以上的砂糖混合,可得高溶解性。

(3)λ-型卡拉胶大部分能溶解于冷牛奶中,并增加其粘度,但κ-型和ι-卡拉胶在冷牛奶中难溶解或不溶。

(4)干的粉末状卡拉胶很稳定,它在中性和碱性溶液中很稳定,但在酸性溶液中,尤其是pH小于4时较易水解,造成凝胶强度和粘度的下降。生产中为了减轻含有卡拉胶的酸性食品在消毒加热时可能发生的水解,常采用高温、短时消毒方法。

(5)只有κ-型和ι-型卡拉胶的水溶液能形成凝胶,其凝固性受某些阳离子的影响很大。全部成钠盐的卡拉胶在纯水中不凝固,加入钾、铷、铯、铵或钙等阳离子能大大提高其凝固性。在一定的范围内,凝固性能随这些阳离子浓度的增加而增强。如以氯化钾为例,其凝胶强度的变化情况如下:

(6)卡拉胶可与多种胶复配。有些多糖对卡拉胶的凝固性也有影响。如添加黄原胶可使卡拉胶凝胶更柔软、更粘稠和更具弹性;黄原胶与ι-型卡拉胶复配可降低食品脱水收缩;κ-型卡拉胶与魔芋胶相互作用形成一种具弹性的热可逆凝胶;加入槐豆胶可显着提高κ-型卡拉胶的凝胶强度和弹性;玉米和小麦淀粉对它的凝胶强度也有所提高;羟甲基纤维素降低其凝胶强度;土豆淀粉和木薯淀粉对它无作用。

2.使用范围及使用量

(1)我国《食品添加剂使用卫生标准》(GB 2760-1996)规定:可按生产需要适量用于各类食品。

(2)FAO/WHO(1984)规定:卡拉胶使用量为,青刀豆、黄荚刀豆、甜玉米、蘑菇、芦笋、青豆,10g/kg(单用或与其它增稠剂合用,产品含奶油或其它油脂);加工干酪,8g/kg(单用或与其它增稠剂等合用);配制婴儿食品、以牛奶和大豆为基料的产品,300mg/kg;以水解蛋白质和氨基酸为基料的产品,1g/kg;火腿、猪脊肉,按GMP;沙丁鱼及其制品、鲭、鲹罐头,20g/kg(仅在汤汁中,单用或与其它增稠剂、胶凝剂合用);酸黄瓜,500mg/kg(单用或与其它助溶分散剂合用);胡萝卜罐头,10g/kg(单用或与其它增稠剂合用);肉汤、羹,5g/kg(单用或与红藻胶合用):低倍浓缩牛奶,150mg/kg;稀奶油,5g/kg(单用或与其它增稠、改性剂合用,仅用于巴氏杀菌或用于超高温杀菌掼打稀奶油和消毒稀奶油);发酵后经热处理的增香酸奶及其制品,5g/kg(单用或与其它稳定剂合用);冷饮(最终产品),10g/kg(单用或与其它乳化剂、稳定剂和增稠剂合用);面包面团、果酱、果冻、巧克力牛奶、饮料、冰淇淋、牛奶布丁、香肠等食品,添加量为0.03%~0.05%。

(3)实际使用参考:

①用于乳制品,能防止牛奶凝沉。不同类型的卡拉胶其稳定性能不同。对α-、δ-酪蛋白的稳定效能为:λ-型,40%~50%,ι-型,92%~100%,k-型,90%~100%。对巧克力牛奶可悬浮可可粉颗粒。用于冰淇淋,有控制溶化的作用。用于液体食物和早点快餐,有增稠和悬浮固体的作用;用于浓缩牛奶,在经高温短时消毒工艺后,可防止脂肪分离;用于加工奶酪,可防止脱液收缩;用于婴儿牛奶,可防止脂肪和乳浆分离。具体使用量详见附表1。

②用于代乳制品,对冷冻发泡食品,有稳定泡沫,防止产生脂肪分离和脱液收缩现象的作用。对婴儿配方植物蛋白食品,可防止脂肪和乳浆分离。

③用于水凝胶,在甜果冻(罐装、冷浆或粉剂)中作胶凝剂。

④用于其它食品,在调味品中作赋形剂,使产品具有光泽;在血凝胶中作胶凝剂;在番茄调味剂中作赋形剂;在罐装风味小食品中,起胶凝和稳定脂肪作用;在肉制品中,作粘结剂,具有防止脱液收缩的作用。

附表1 卡拉胶在乳制品中的应用

随便看

 

离鸟网收录3541549条中英文词条,其功能与新华字典、现代汉语词典、牛津高阶英汉词典等各类中英文词典类似,基本涵盖了全部常用中英文字词句的读音、释义及用法,是语言学习和写作的有利工具。

 

Copyright © 2004-2024 vtrois.com All Rights Reserved
更新时间:2026/4/21 11:57:45