网站首页  词典首页


请输入您要查询的字词:

 

字词 单相正弦交流电路
类别 中英文字词句释义及详细解析
释义

单相正弦交流电路


1.纯电阻电路

图2-40为纯电阻电路及其相量图。

图2—40 纯电阻电路及其相量图

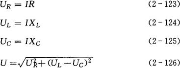
(1)电流与电压的关系

瞬时值表达式为:

最大值表达式为:

式中 URm——负载两端电压的最大值(V);

Im——电路中电流的最大值(A)。

有效值表达式为:

式中 UR——负载两端电压的有效值(V);

I——电路中电流的有效值(A)。

相量表达式为:

式中 ——负载两端电压的复量(V);

——电路中电流的复量(A)。

上述各式表明、电流与电压的频率相同;电流与电压的相位相同,如图2-40(b)所示;电流与电压的数量关系仍符合欧姆定律。

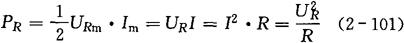
(2)电功率及电能的计算

瞬时功率:

pR=uR·i=URI-UIcos2ωt (2-100)

有功功率:

电能:

式中 pR——瞬时功率(W),瞬时功率是恒定分量URI和交变分量之和;

PR——有功功率(W),有功功率等于最大瞬时功率的一半;

W——电能(J)。

[例2-30] 已知一白炽灯工作时的电阻为484Ω,其两端加有的正弦电压为u=311sin314t(V),试求:①电流有效值,并写出电流瞬时值解析式;②白炽灯的有功功率。

[解] ①由u=311sin314t(V)可知,正弦电压的有效值为

则正弦电流的有效值为

又因白炽灯可视为纯电阻,电流与电压同相,所以正弦电流瞬时值的解析式为

②由有功率公式可求白炽灯的有功功率为

2.纯电感电路

图2-41为纯电感电路及其相量图。

图2-41 纯电感电路及相量图

(1)电流与电压的关系

瞬时值表达式为:

最大值表达式为:

式中 XL——感抗,XL=ωL=2πfL(Ω)。

有效值表达式为:

相量表达式为:

纯电感电路中,电流与电压频率相同;相位上,电压超前电流90°,自感电动势滞后电流90°,如图2-41(b)所示;电流与电压的有效值或最大值之间的数量关系符合欧姆定律。由于电流与电压的相位不同,所以电流与电压的瞬时值之间的数量关系不符合欧姆定律,即感抗XL只代表电流与电压的有效值或最大值的比值,而不代表电流与电压的瞬时值的比值。

对直流电来说,由于f=0,则XL=0,即电感L对直流电没有阻碍作用。

(2)电功率及磁场能的计算

瞬时功率:

PL=UL·Isin2ωt (2-109)

有功功率:

PL=0 (2-110)

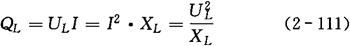
无功功率

磁场能

式中 Q——无功功率(W),必须指出,“无功”的含义是“交换”而不是“消耗”,它是相对“有功”而言的,决不能理解“无用”。具有电感性质的变压器,电动机等设备都是靠电磁转换工作的,因此,若无功率,这些设备就无法工作;

WL——磁场能(J)。

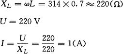
[例2-31] 设有一电阻可以忽略的线圈接在正弦交流电源上,已知,线圈的电感量L=0.7H。

求:①写出流过线圈的电流的瞬时值表达式;②电路的无功功率;③作电流和电压的相量图。

[解] ①流过线圈的电流的瞬时值表达式为:

φu=30°,又电流滞后电压90°,所以

②无功功率

QL=U·I=220×1

=220(W)

③电流和电压的相量图如图2-42所示。

图2-42

3.纯电容电路

图2-43为纯电容电路及相量图。

图2-43 纯电容电路及相量图

(1)电流与电压的关系

瞬时值表达式为:

最大值表达式为:

式中 XC——容抗,

有效值表达式为:

相量表达式为:

纯电容电路中,电流与电压频率相同,相位上,电压滞后电流90°,如图2-43(b)所示;电流与电压的有效值或最大值之间的数量关系符合欧姆定律。由于电流与电压的相位不同,所以电流与电压的瞬时值之间的数量关系不符合欧姆定律,即容抗XC只代表电流与电压的有效值或最大值的比值,而不代表电流与电压的瞬时值的比值。

对直流电来说,由于f=0,则XC=∞,即电容C具有隔直流的作用。

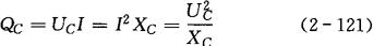
(2)电功率和电场能的计算

瞬时功率:

pC=UCIsin2ωt (2-119)

有功功率:

PC=0 (2-120)

无功功率:

电场能:

式中 WC——电场能(J)。

[例2-32] 已知某电容电路两端所加的正弦交流电压为,电容量C=20μF,求:①写出流过电容的电流的瞬时值表达式;②电路的无功功率;③作电流和电压的相量图。

[解] ①流过电容的电流的瞬时值表达式为:

φu=30°,又电流超前电压90°,所以

②无功功率

QC=UI=220×1.375≈303(W)

③电流和电压的相量图如图2-44所示。

图2-44

4.电阻、电感、电容串联的正弦交流电路

图2-45是R、L、C串联的正弦交流电路。

图2-45 R、L、C串联的正弦交流电路

(1)电流与电压的关系

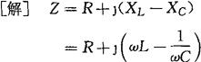
(2)复数阻抗的计算

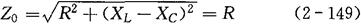
Z=R+j(XL-XC) (2-129)

模:

阻抗角(电压与电流的相位差):

φ角的大小与正负取决于XL、XC与R的数值。下面分三种情况说明:

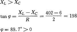
①当XL>XC时,tanφ>0,φ>0,总电压U超前电流I,电路呈感性。

②当XL<XC时,tanφ<0,φ<0,总电压U滞后电流I,电路呈容性。

③当XL=XC时,tanφ=0,φ=0,总电压U与电流I同相,电路呈阻性。

(3)电功率的计算

瞬时功率:

p=UICosφ-UIcos(2ωt+φ) (2-132)

有功功率:

P=UIcosφ=UR·I=I2·R (2-133)

无功功率:

Q=UIsinφ=I(UL-UC)=I2(XL-XC) (2-134)

视在功率:

式中 S——视在功率(W)。

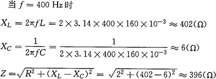
[例2-33] 在图2-45中,已知R=2Ω,L=160mH,C=66μF,加在电路两端的交流电压的有效值U=220V,频率f=400Hz。求①电路的阻抗;②电路的电流;③各元件两端的电压;④电路的P、Q、S;⑤电路的性质。

[解] ①电路的阻抗

②电路的电流

③电阻R、电感L及电容C上的电压

UR=I·R=0.56×2=1.12(V)

UL=IXL=0.56×402=225.12(V)

UC=I·XC=0.56×6=3.36(V)

④电路的有功功率P、无功功率Q及视在功率S

P=UR·I=1.12×0.56≈0.63(W)

Q=(UL-UC)·I=(225.12-3.36)×0.56

≈124.19(W)

S=UI=220×0.56=123.2(W)

⑤电路的性质

因为:

所以电路呈感性。

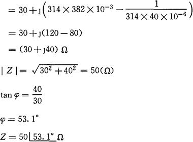
[例2-34] 已知电阻R=30Ω,电感L=382mH,电容C=40μF组成的串联电路,接于电源电压V的电源两端。用相量法求,并画相量图。

相量图如图2-46所示。

图2-46 例2-34的相量图

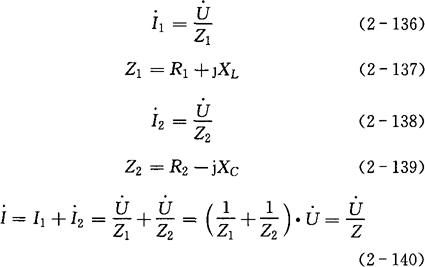
5.电阻、电感、电容并联的正弦交流电路

图2-47是R、L、C并联的正弦交流电路。

图2-47 R、L、C并联的正弦交流电路

(1)电流和电压的计算

式中 Z——并联电路的等效复阻抗。

Z与Z1、Z2的关系为:

对于有n条支路并联的电路,其等效复阻抗Z与各支路复阻抗的关系为:

(2)复导纳的计算

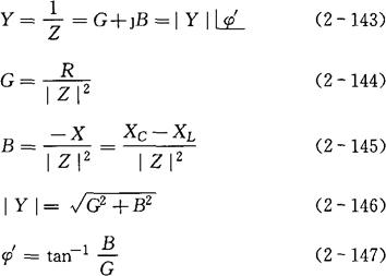
复数阻抗的倒数叫复导纳,用符号Y表示,其数学表达式为:

式中 Y——复导纳(西门子,用符号S表示);

R——电阻(Ω);

Z——复阻抗(Ω);

|Z|——复阻抗的模(Ω);

G——电导,即复导纳Y的实部(S);

B——电纳,即复导纳Y的虚部(S);

X——电抗(Ω);

XL——感抗(Ω);

XC——容抗(Ω);

|Y|——复导纳的模(S);

φ′——导纳角,即复导纳Y的辐角。

将复导纳与复阻抗对比

复导纳的模等于对应复阻抗模的倒数,即:

导纳角等于对应阻抗角的负值,即:

φ′=-φ

(3)电功率的计算

同R、L、C串联正弦交流电路电功率的计算。

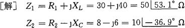
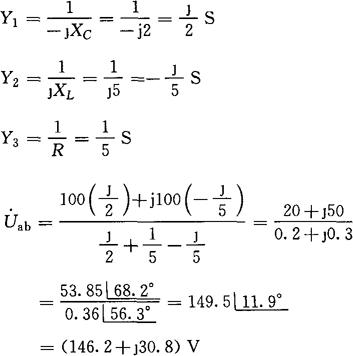
[例2-35] 在图2-47中,已知R1=30Ω,R2=8Ω,XL=40Ω,XC=6Ω,电源电压,求该电路的分支电流I1、I2和总电流I,并作相量图。

相量图如图2-48所示。

图2-48

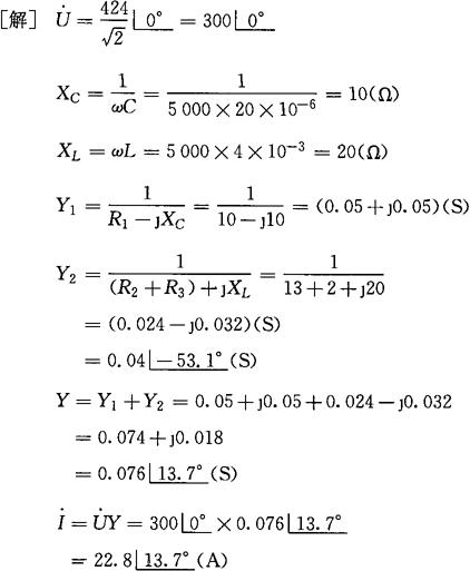
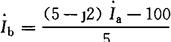
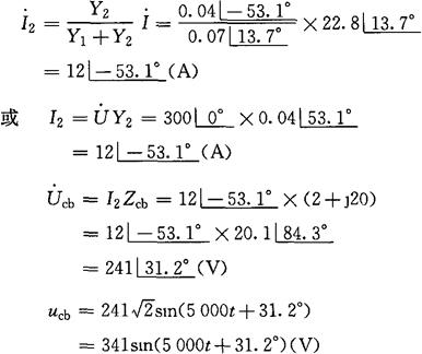
[例2-36] 在图2-49中,已知u=424sin5000tV,R1= 10Ω,R2=13Ω,R3=2Ω,C=20μF,L=4mH,求总电流i及电压ucb

图2-49

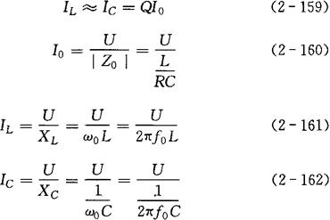
超前说明整个电路呈容性。

6.谐振电路

在具有电感和电容的电路中,如果电流和电压达到同相位,则电路会产生谐振现象,处于谐振状态的电路称为谐振电路。

(1)串联谐振

在R、L、C串联电路中,当XL=XC时,电流与电压同相位,这种现象称为串联谐振。

①谐振条件。

式中 f——电源频率(Hz);

f0——谐振频率,又称电路的固有频率(Hz)。谐振频率取决于电路参数L与C的数值,若L与C为定值时,调节电源频率使它与电路的固有频率相等,电路就发生谐振。反之若电源频率一定时,调节L和C的大小,使电路的固有频率等于电源频率时,电路也能发生谐振。收音机的输入调谐电路,就是通过改变C的大小,来选不同频率的广播电台的串联谐振电路。

②串联谐振电路具有的特点。

a.串联谐振时,电路的阻抗最小,且呈阻性。此时电路中的电流为最大。

串联谐振阻抗为:

串联谐振时的电流为:

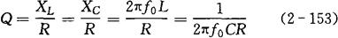
b.串联谐振时,电感两端电压UL与电容两端电压UC数值相等,且数值可以比总电压大许多倍。

式中,XL/R、XC/R分别为UL、UC与U的比值,这个比值称为谐振电路的品质因数,用符号Q表示,即:

因此

UL=UC=QU (2-154)

即串联谐振时,电感、电容两端的电压为总电压的Q倍。一般串联谐振电路中的R很小,所以Q值总大于1。由于串联谐振会在电感、电容上产生高电压,所以串联谐振又称为电压谐振。

串联谐振用于微弱信号的放大,但电力工程由于电源电压本身很高,所以应避免产生电压谐振。

③谐振时,电功率的计算。

无功功率:

QL=QC,Q=0 (2-155)

有功功率:

P=I2R (2-156)

视在功率:

S=P (2-157)

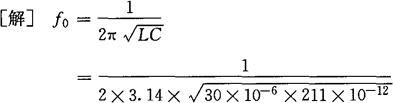
[例2-37] 已知R、L、C串联电路中的L=30μH,C=211pF,R=9.4Ω,电源电压U=100μV。若电路产生串联谐振,求谐振频率f0,品质因数Q及电容两端的电压UC

(2)并联谐振

L与C并联时,若ILY=IC,(ILY为IL在Y方向的分量),则总电流与电压同相,这种现象称为并联谐振。

①谐振条件。一般电感线圈的电阻通常很小,可以忽略,这时并联谐振的条件是:

XL=XC

谐振频率为:

②并联谐振电路具有的特点。

a.并联谐振时,因总电流最小,所以电路的阻抗为最大,且呈阻性。即

I0=QXL=QXC

式中——电路的品质因数。

上式表明,并联谐振时,电路的阻抗为感抗或容抗的Q倍。

b.并联谐振时,电感支路和电容支路的电流大小近似相等,方向近似相反,且为总电流的Q倍。即

③谐振时电功率的计算。与串联谐振电路相同。

并联谐振电路主要用于振荡器和选频器,收音机、电视机的“中周”就是并联谐振电路。

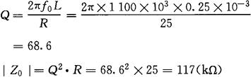
[例2-38] 电阻R与电感L串联后再与电容C并联的电路中,已知R=25Ω,L=0.25mH,C=85pF。求电路的谐振频率f0,品质因数Q和谐振时电路的阻抗模|Z0|。

7.复杂正弦交流电路的计算

复杂正弦交流电路的计算和直流电路所用的定理、定律及计算电路的方法一样,所不同的是电压和电流以相量表示,电阻、电感、电容及其组成的电路以复数阻抗或复数导纳来表示。

(1)网孔电流表

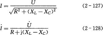
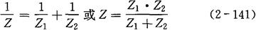
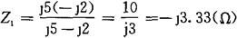
[例2-39] 图2-50所示电路中,已知,R=5Ω,XL=5Ω,XC=2Ω,求各支路电流。

图2-50 正弦交流电路的网孔电流法

[解] 选定支路电流和网孔电流的参考方向如图所示。

选绕行方向与网孔电流参考方向一致,列出网孔方程 (1) (2)

由式(1)得

代入(2)式得

各支路电流

所以

I1=27.8A,I2=32.3A,I3=29.9A

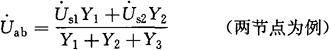
(2)节点电压法 (2-165)

[例2-40] 图2-50所示电路中,已知数据同例2-39,试用节点法求各支路电流。

[解] 设支路电流的参考方向如图所示,并以b点为参考点。

各支路电流

所以

I1=27.8A,I2=32.3A,I3=29.9A

(3)戴维南定理求解

对于图2-50所示电路,用戴维南定理求R支路的电流,方法如下:

将电路进行整理,整理后的电路可看作由虚线框内含原二端网络和R支路所组成,如图2-51(a)所示。

图2-51 对图2-50电路的整理

先求开路电压,即将R支路断开后a、b两点间的电压。即:

再求入端阻抗(见图2-51(b)),即:

虚框内含源二端网络的等效电路如图2-51(c)所示,这样R中的电流为:

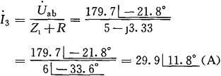
[例2-41] 试用戴维南定理求图2-51(a)电路中R支路的电流。已知条件同例2-39。

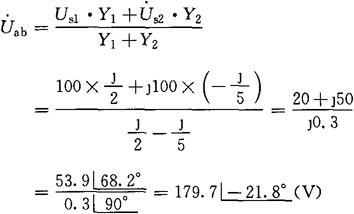
[解] 选定支路电流的参考方向同前。先求开路电压,即:

再求入端阻抗,即:

R中的电流为:

所以

I3=29.9(A)

随便看

 

离鸟网收录3541549条中英文词条,其功能与新华字典、现代汉语词典、牛津高阶英汉词典等各类中英文词典类似,基本涵盖了全部常用中英文字词句的读音、释义及用法,是语言学习和写作的有利工具。

 

Copyright © 2004-2024 vtrois.com All Rights Reserved
更新时间:2026/4/19 21:58:20